Abstract
Heat exchangers with annular finned-tube type and partially wetted condition are utilized widely in engineering systems, such as air-conditioning systems and refrigeration systems. In addition, the physical properties of fin materials should be considered as functions of temperature in reality and thus become a non-linear problem. Based on the above two conditions, an optimal partially wet annular fin design problem, with temperature-dependent thermal properties of the fin, to yield optimal fin efficiency was investigated in the present work, which has not been examined previously and it is the novelty of this study. An iterative regularization algorithm using the conjugate gradient method (CGM) is considered as the optimization tool based on the desired fin efficiency under a fixed fin volume constraint. The partially wet annular fin condition can result if the relative humidity of surrounding air is between 80 and 90%. Finally, the optimal fin shape, with the highest computed efficiency among examined fins under identical operational conditions, can be obtained. It is found that when the Biot numbers for ambient air (Bia) and relative humidity (φ) increased, the optimum computed fin efficiency and interfacial radius between wet and dry fin domains (rwd) will be increased, and the estimated optimum fin shape also changed. However, the shape of optimal fin remained approximately unchanged when the Biot numbers for the inner tube (Bii), the thermal conductivities of the tube (kw) and fin (kf) varied. It reveals that Bii, kw and kf have an insignificant influence on the optimal shape of the annular fin in a partially wet condition.
1. Introduction
Depending on the dew point of the surrounding air, fin base temperature, and boundary temperature, the fin surface conditions can be classified as dry, partially wet, or fully wet. For the case of condensers, the fin surface temperature is generally below the dew point temperature; as a result, heat and mass transfer occur simultaneously, and the fin surface is partially wetted. In addition, the physical properties of fin and tube materials are considered functions of temperature, in reality, thus, the investigation of non-linear design problem becomes important. Therefore an optimal partially wet annular fin design problem with temperature-dependent physical properties of fin materials is investigated in this study and the fin efficiency can thus be improved.
Many researchers have investigated the heat and mass transfer behaviors of fin-and-tube heat exchangers under dehumidifying conditions and have determined the temperature distribution and efficiency of fins. For instance, Charters and Theerakulpisut [1] examined the efficiency equations for constant-thickness annular fins. They have derived a simplified relationship to compute the fin efficiency of a specified annular fin. Mokheime [2] studied the performance of different annular fins with a locally variable heat transfer coefficient, the results were presented in a series of fin-efficiency curves for different annular fin shapes with a wide range of radius ratios. Iborra and Campo [3] investigated the temperature variation and efficiency for annular fins with a constant fin thickness. The fin efficiency of a one-dimensional fully wet rectangular longitudinal fin was determined by McQuiston [4]. Toner et al. [5] utilized a quasi-linear model to analyze one-dimensional fully wet rectangular and triangular fins. A criterion for optimum shape was proposed by Schmidt [6] using the principle of constant heat flux. Kern and Kraus [7] reported the investigation of the optimum design of wetted fin surfaces.
Recently, Jang et al. [8] investigated experimentally the enhancement of the heat transfer rate of steam condensation on the external surfaces of a vertical tube with annular fins. The applicability of finned tubes to a large condenser system with a bundle layout was verified. Xu et al. [9] computed the heat transfer capacity and air-side pressure drop of an annular radiator (AR) using a combined heat transfer unit (HTU) simulation and plate-and-fin heat exchanger (PFHX) performance calculation formulas. Results indicated that their optimization method could provide significant guidance for AR design.
An analytical expression of the efficiency for a longitudinal straight fin under dry, fully wet, and partially wet surface conditions was first reported by Wu and Bong [10]. They concluded that only when the fin is partially wet does the overall fin efficiency strongly depend on the relative humidity. The heat transfer characteristics of an annular fin under dry, partially wet, and fully wet surface conditions were studied by Naphon [11]; the results obtained from the study were validated by comparing them with those obtained by other researchers.
The “finite circular fin method” (FCFM) was utilized by Pirompugd et al. [12] to analyze the performance of fin-and-tube heat exchangers with a plain fin configuration under dehumidifying conditions. The heat and mass performance for the plain fin configuration under fully wet and partially wet conditions was described by the proposed correlations. Rosario and Rahman [13] presented a heat transfer analysis in a partially wet annular fin assembly during dehumidification. It was concluded in their work that the heat transfer performance can be improved significantly under condensation conditions.
Numerous linear fin shape design problems were investigated to optimize the annular fin profiles with constant thermal properties. For example, a variation separation method was used by Kang [14] in determining the fin length of a fully wet annular rectangular fin to achieve optimal fin efficiency. They have concluded that when assuming constant thermal conductivity, the optimum length and effectiveness of fins are independent of the fin material, however, the optimum base thickness and the volume of the fin are inversely proportional to the fin conductivity. The optimal shapes of uniform fully wet annular fins were examined by Brown [15]. A comparison was made between the optimal dimensions of the uniform fins and the dimensions of fins with minimum weight.
In the above reviewed references, the optimal fin shapes were estimated based on the criterion of minimizing the weight of fin or maximizing fin base heat transfer rate, with constant thermal properties condition. Fin shape design problems based on the desired fin efficiency under a fixed fin volume constraint are very limited in the literature.
Huang and Hsiao [16] utilized an iteration regularization algorithm (Alifanov [17]) in a fin design problem to estimate the optimal shapes for the spine and longitudinal fins based on the desired fin efficiency and a fixed fin volume. Huang and Chung investigated non-linear dry [18] and fully wet [19] fin design problems to determine the optimal shapes for the annular fins using the CGM based on the desired fin efficiency and a fixed fin volume constraint.
A fin design algorithm with temperature-dependent physical properties of annular fins using the CGM was considered in this work. It is an extension work of Huang and Chung [18,19], and the aim was to determine the optimal shapes of partially wet annular fins based on the desired fin efficiency under a fixed fin volume constraint which has not been investigated previously.
2. The Direct Problem
The heat and mass transfer equations, together with the boundary conditions, of a linear, steady-state partially wet annular fin adhered to a bare tube were defined by Huang and Chung [20]. If the thermal conductivity of fin and tube and the convective heat transfer coefficient are assumed as a function of temperatures, the governing equation of the present study can be obtained as:
Energy equation in tube wall:
Energy equation in wet fin:
Energy equation in dry fin:
Boundary condition on inner wall surface:
Boundary condition at tube wall and wet fin interface:
Boundary condition at wet and dry fins interface:
Boundary condition at fin tip:
where “−” indicates the dimensional variables and , , and are the temperatures for fin, tube, refrigerant and air, respectively.
The specific humidity of air on the fin surface can be calculated with the values of a2 and b2 depend on the relative humidity and can be obtained in accordance with the equations reported by Sharqawy and Zubair [21]. In the present study, and are considered as 20 °C and 2 °C, respectively, and , and are considered to be 30, 60 and 150 mm, respectively. indicates the interface radius of wet and dry fin regions, it can be obtained iteratively until the interfacial condition (1g) is satisfied. The relative humidity φ from 0.8 to 0.85 and then 0.9 is selected to ensure that the dew point will occur within the annular fin and a partially wet annular fin condition will yield. The results of are obtained by assuming that << .
By defining the non-dimensionl parameters below:
The following dimensionless equations for partially wet fin equations and boundary conditions are obtained:
The identity [22] is adopted and Le = Sc/Pr = 0.864. The geometries of a 3-D and 2-D partially wet annular fins are given in Figure 1a,b respectively. The direct problem considered above is to determine the temperature distribution and efficiency of a non-linear partially wet fin when the fin shape is provided. Once dimensionless temperatures θ are calculated, the dimensional temperatures can be obtained by utilizing dimensionless quantities , and with = 20 °C and = 2 °C.

Figure 1.
(a) A three-dimensional geometry of partially wet annular fins. (b) A cross-sectional view of a single annular fin.
3. The Fin Design Problem
An inverse algorithm to estimate the optimal shapes based on the desired fin efficiency under a fixed fin volume constraint is discussed.
The following cost function J(δ) needs to be minimized with respect to δ(r) to yield the optimal shape of the annular fin in this study under the design criterion of desired fin efficiency and fin volume:
Here Φ (or η) = q/Q is defined as the desired (or estimated) fin efficiency, and the estimated heat transfer rate q(δ) represents heat transfer rate in reality, while Q(δ) indicates the heat transfer rate obtained by assuming that fin surface temperature equal to fin base temperature , i.e., the ideal heat transfer rate. v(δ) and V are the computed and desired fin volumes, respectively, and α denotes the weighting coefficient.
The iterative process should be stopped if the value of the cost function, J(δ), is smaller than the stopping condition, ε, and the optimal shape of the partially wet fin can be obtained.
The following new variables, , and need be defined, and the reference quantities are given below:
For annular fins, the equations below can be derived:
The conditions = = = constant are utilized in Equation (5a) to compute :
The expressions of q, Q and v in dimensionless form are given below:
The present design problem of the non-linear partially wet annular fin can thus be expressed as: based on the cost function J(δ), design the optimal partially wet fin shape, such that q approach to ΦQ and v approach to V.
4. Iterative Process with CGM
The optimal annular fin thickness, δ(r), can be obtained by minimizing the cost function, J[δ(r)], using the following CGM iteration equation (Alifanov [17]):
where and pn (r) denote the step size and search direction for each iteration. The expression of pn (r) is given below:
Here the conjugate coefficient γn is given as (Alifanov [17]):
In order to perform the iterative process in accordance with Equation (6a), the values of and must be calculated. The governing equations for sensitivity and adjoint problems must be derived since their solutions are used to calculate the values of and .
5. The Sensitivity Problem
The sensitivity problem can be obtained by utilizing the perturbational principle, that is, when δ(r) has a perturbation Δδ(r), all the dependent variables will be varied by Δθw(r), Δθf(r), , Δkw(θw), Δkf(θf), ΔBii(θw), and ΔBia(θf), respectively. Based on the derivation procedure by Huang and Chung [18,19], the governing equations for the sensitivity problem can be obtained as:
The cost function J(δn+1) can be obtained as:
Equations for Δq, ΔQ and Δv can be derived utilizing the identities Δq = q(δ + Δδ) − q(δ), ΔQ = Q(δ + Δδ) − Q(δ) and Δv = v(δ + Δδ) − v(δ) and neglecting the higher order terms. Finally we have:
The search step size given below can be obtained by minimizing Equation (8b):
6. The Adjoint Problem
The functions λw(r), λf,w(r), and λf,d(r) are multiplied to Equations (2a) and (2b), the resultant expressions are integrated over the space domain. The results are included in the RHS of Equation (3) to obtain the equation for J(δ) below:
The perturbation, ΔJ, can be obtained by following the standard procedure stated in [18,19]. Finally, it is given below:
The space integrations in Equation (12) are integrated by parts, Equations (7c)–(7f) are utilized, and then ΔJ is the approach to zero. The following governing equations for adjoint problem are obtained:
Finally, the following integral terms are left:
Here u(.) and Γ(.) denote the unit step and Dirac delta functions, respectively.
The perturbation of cost function can be presented as (Alifanov [17]):
The expression for the gradient J′(δ) is obtained by comparing Equations (14a) and (14b) and is given below:
7. Results and Discussion
The aim of this study was to estimate the optimal shapes for partially wet annular fins under the condition that kw, kf, Bii, and Bia of the fin are functions of temperature. In the present fin design problem, an iterative algorithm of CGM is utilized, and the minimization process is based on Φ and V. In the numerical calculations, the space increment is equal to Δr = 0.002, and rb, ro, and rt are given as 0.2, 0.4 and 1.0, respectively. In addition, a relative humidity of φ = 0.8, 0.85, and 0.9 and P = 0.13 are utilized in this study.
The numerical solutions for the rectangular, triangular, concave, convex and hyperbolic types non-linear partially wet annular fin efficiencies are computed and summarized in Table 1 for various φ, kw, kf, and Bii, i.e., φ = 0.8, 0.85, 0.9; kw = 1 and 1 + 0.1θw; kf = 1 and 1 + 0.1θf; Bii = 4 and 4 + 0.1θw; and Bia = 0.3 and 0.3 + 0.1θf. It is observed from Table 1 that the computed fin efficiency η increases as the relative humidity φ increases, the thermal conductivities kw and kf increase, Bii increases, and Bia decreases. In addition, the interfacial radii rwd between the wet-dry fin domains for the previous examples are also calculated and listed in Table 2.
Table 1.
The numerical solutions of η for different types of fins with various φ, kw, kf, Bii, and Bia.
Table 2.
The numerical solutions of wet-dry interface rwd for different types of fins. Various φ, kw, kf, Bii, and Bia.
Now, let us explore the reasons behind those observations. Table 1 indicates that when φ increases, η also increases. The reason is that a higher value of φ indicates a lower fin surface temperature, which is closer to the fin base temperature, therefore, the fin will have a higher η. This result is similar to that reported by Huang and Chung [20]. Similarly, higher kw, kf, Bii, and lower Bia will result in a lower fin surface temperature, therefore yielding higher η.
It can be seen from Table 2 that the value of rwd increases as φ increases, kw and kf increase, Bii increases, and Bia decreases. It is because as rwd increases, the fin surface temperature approaches the fin base temperature; as a result, η becomes higher. Table 1 and Table 2 show that the fin profiles with rectangular and concave shapes have the shortest and longest rwd, respectively, which also implies that they have the lowest and highest fin efficiencies, respectively, among these five common annular fin shapes.
The rectangular annular fin shape is considered as the initial design of this work. Figure 2a plots a quarter of a rectangular fin; to have better visibility, Figure 2b illustrates the whole rectangular shape of a annular fin with the following system parameters: V = 0.08, φ = 0.85, kw = 1 + 0.1θw, kf = 1 + 0.1θf, Bii = 4 + 0.1θw, and Bia = 0.3 + 0.1θf. In Figure 2a, the dashed line represents the interface between the dry and wet regions of fin.
Figure 2.
(a) The dimensions of a quarter of a single rectangular shape annular fin. (b) A complete rectangular shape annular fin of Figure 2a.
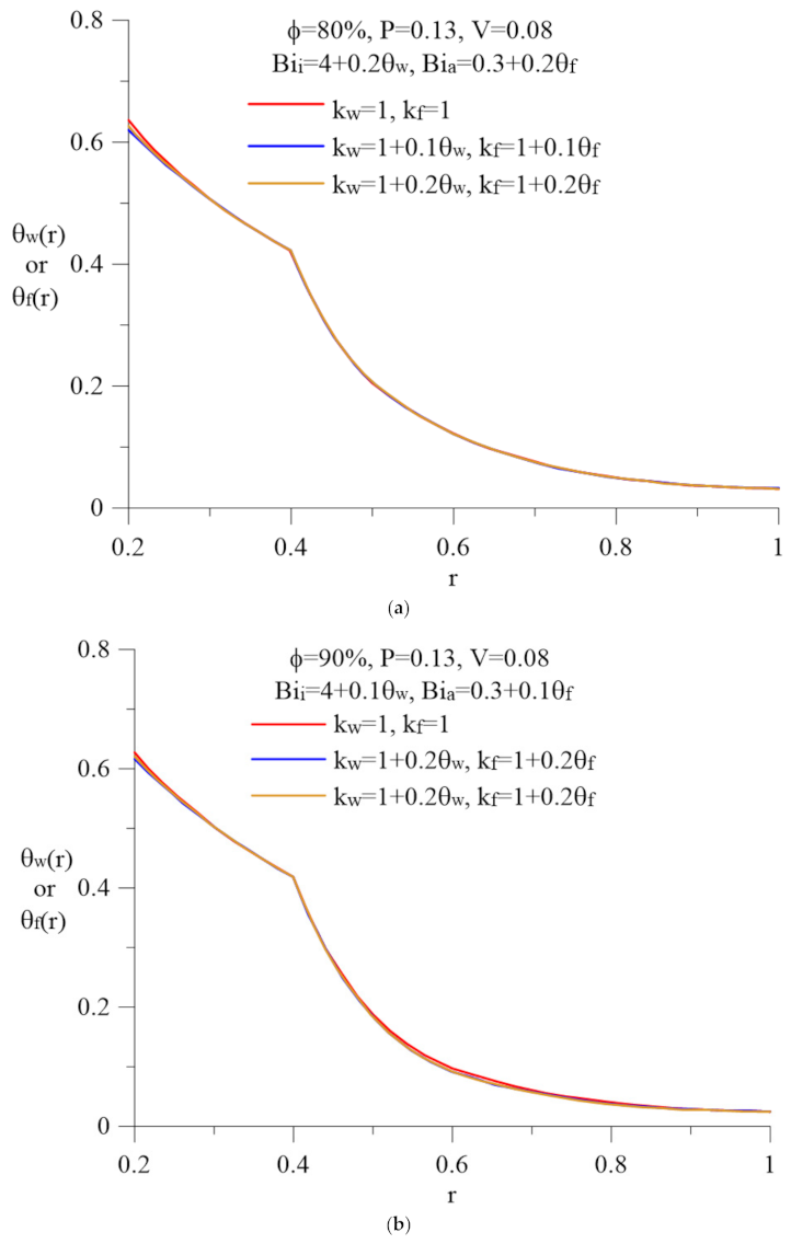
To investigate the influence of the non-linear physical properties on the temperature variation of the partially wet fins, the following numerical solutions of the direct problem with various physical properties are conducted, and the computational solutions for the dimensionless temperatures are plotted in Figure 3 and Figure 4.
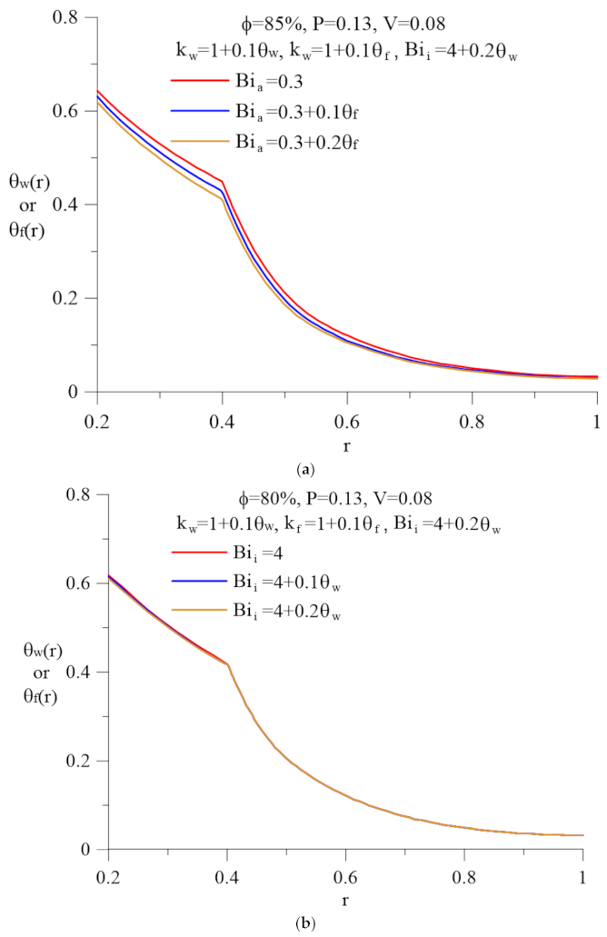
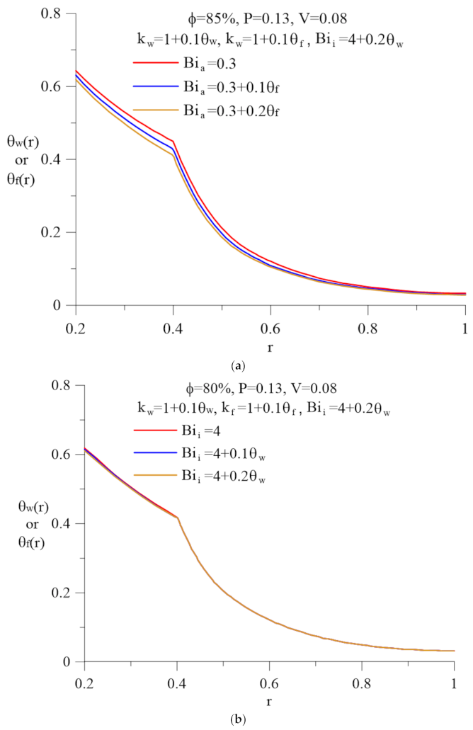
Figure 3.
(a) The temperature variations of a rectangular fin with various Bia. (b) The temperature variations of a rectangular fin with various Bii.
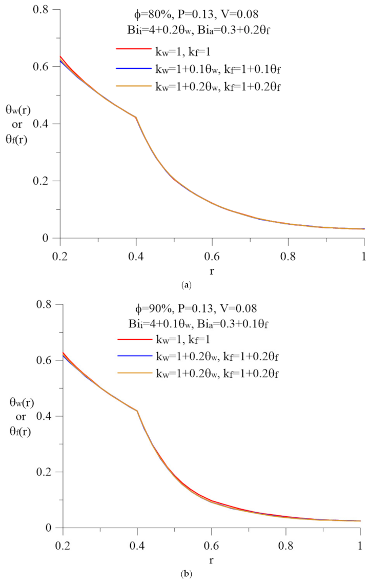
Figure 4.
(a) The temperature variations of a rectangular fin with various kw and kf. (b) The temperature variations of a rectangular fin with various kw and kf.
The numerical solutions using various Bia(θw) are examined first, and the following system parameters are used for the computations: V = 0.08, φ = 0.85, Bia = 0.3, 0.3 + 0.1θf and 0.3 + 0.2θf, kw = 1 + 0.1θw, kf = 1 + 0.1θf and Bii = 4 + 0.2θw. Figure 3a illustrates the temperature variations in r direction with various Bia. As Bia increases from 0.3 to 0.3 + 0.1θf and then to 0.3 + 0.2θf, the figure shows that there is a discrepancy among the temperature distributions for the linear and non-linear Bias, and the gap increases as the slope of the non-linear term increases. As a result, the gaps among the optimal fin shapes with different Bia will be obvious. It indicates that Bia significantly affects the optimal shape under the condition of Bia(θw).
Figure 3b illustrates the temperature distribution in r direction. When Bii are increased from 4 to 4 + 0.1θw and then to 4 + 0.2θw, the temperature differences among the linear and non-linear Biis is insignificant, this implies that Bii does not significantly affect the optimal shape of fin under the condition of Bii(θf).
The numerical solutions using different kw and kf are examined next. Figure 4a represents the temperature distributions in r direction with various kw and kf. When kw are considered as 1.0, 1.0 + 0.1θw and 1.0 + 0.2θw and kf are considered as 1.0, 1.0 + 0.1θf and 1.0 + 0.2θf, small temperature gaps among the constant and temperature-dependent thermal conductivities can be observed near the wall, but in the remaining region they are the same. Next, the temperature distribution in r direction with Bii = 4 + 0.1θw, Bia = 0.3 + 0.1θf and φ = 0.9 is given in Figure 4b. The gaps of the temperature distributions among the linear and non-linear thermal conductivities are also small. Therefore, the gaps among optimal fin shapes using different values of kw and kf will also be found small.
A rectangular fin is considered as the initial design of this work, as shown in Figure 2a. First, the optimal shape of the fin is to be designed by assigning Φ = 0.3, the system variables of fin illustrated in Table 1 are used for the computations. The objective function may not converge to the given constraint with the value of desired Φ, but the optimal shape that yields the best computed fin efficiency can be estimated. In this study, the stopping condition is chosen as . Table 1 summarizes the results of optimal designs and illustrates that the optimal fin has the highest computed fin efficiency among the examined fins with the identical computational parameters. The interface radii between the wet–dry fin domains rwd are summarized in Table 2. It shows that the optimal fin has the largest value of rwd and, therefore, the highest value of η.
For the purpose of clearly illustrating the optimum shape with system parameters of V = 0.08, φ = 0.85, kw = 1 + 0.1θw, kf = 1 + 0.1θf, Bii = 4 + 0.1θw and Bia = 0.3 + 0.1θf, a quarter of an optimal annular fin is given in Figure 5a, while Figure 5b illustrates a complete shape of an optimal fin. The thickness of the fin base δ(ro) increases from 0.030 for the initial rectangular fin to 0.161 for the optimum fin, and η also increases from 0.1365 to 0.2537. It is clear from Figure 2 and Figure 5 that the fin tip is very sharp and the gap between the initial and optimal fin shapes is obvious.
Figure 5.
(a) A quarter of estimated optimal fin. (b) A complete optimum shape annular fin of Figure 5a.
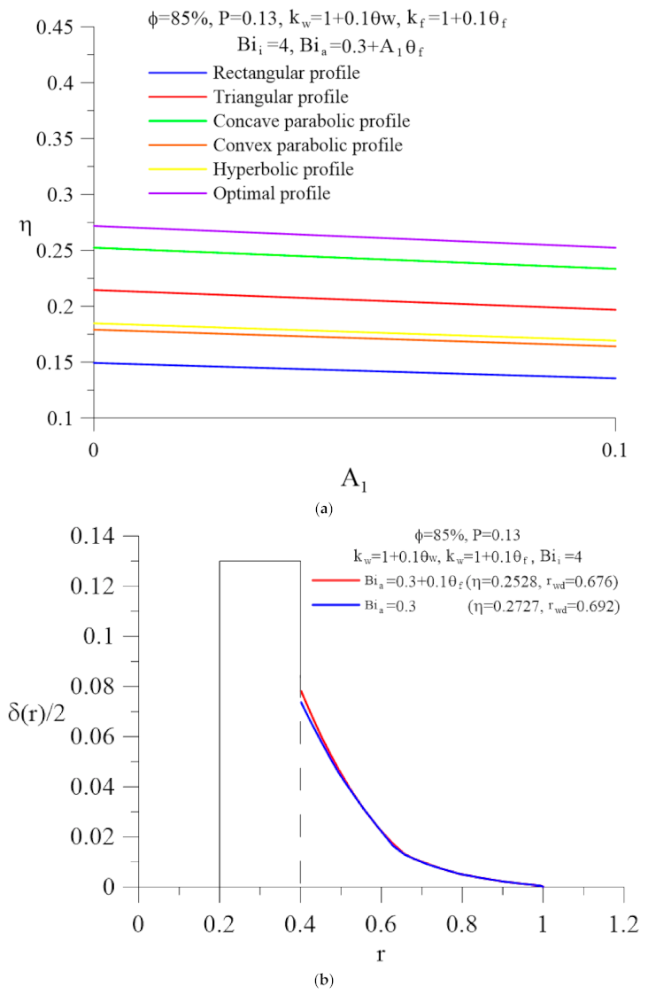
The influence of Bia on the estimated optimum fin shape and η is investigated next. Figure 6a plots the comparisons of η for the optimum fin and five commonly seen fins with different Bia. Figure 6a indicates that η decreases when Bia increases. The corresponding optimal fin shapes with Bia = 0.3 and 0.3 + 0.1θf are given in Figure 6b. It is seen from the figure that the gaps between the optimum fin shapes with different Bia values near the wall region are obvious.
Figure 6.
(a) The comparisons of η for different types of partially wet annular fins.with various Bia. (b) The estimated optimum fins with various Bia.
The comparisons of η with different Bii are illustrated in Figure 7a. It indicates that the optimal fin has the highest computed fin efficiency among all fins under the same working condition. However, η is almost the same as Bii is increased. The estimated optimal fin shapes are plotted in Figure, it indicates that both optimal fin shapes are identical, and it implies that the values of Bii cannot affect the optimum fin shape.
Figure 7.
(a) The comparisons of η for different types of fins with various Bii. (b) The estimated optimum shapes of fins with various Bii.
The comparisons of η under the working conditions Bii = 4, Bia = 0.3 and V = 0.08 are illustrated in Figure 8a. Again, the optimum fin has the highest η among all fins. In addition, η remains almost unchanged as the thermal conductivities varied. Figure 8b indicates the optimum fin shapes in Figure 8a. The difference between the optimal fin shapes with different kw and kf is small for the same reason elaborated previously.
Figure 8.
(a) The comparisons of η for different types of fins with various kw and kf. (b) The estimated optimal shapes fins with various kw and kf.
Figure 9a,b compares the optimal fin shapes with five commonly seen fins under different system parameters. They indicate that the optimum annular fin has the largest η and rwd among all of the fins. It is also noticed that the tip of optimal fin is always very sharp, that is because that thinner and thinner fin thickness along r-direction can procedure higher temperature on fin surface, and as a result, higher computed fin efficiency.
Figure 9.
(a) The comparisons of fin shapes for different types of partially wet annular fins. (b) The comparisons of fin shapes for different types of partially wet annular fins.
8. Conclusions
An iterative regularization algorithm using CGM is investigated successfully in the present non-linear design problem to estimate the optimum shape of a partially wet annular fin with temperature-dependent thermal conductivities and Biot number. The relative humidity is varied from 0.8 to 0.85 and then to 0.9 in all designed cases to yield partially wet conditions. Many cases involving various thermal conductivities and Biot numbers are examined, the optimum fin with the highest η is found among all fins under identical computational conditions. Moreover, the speed of convergence is also very fast since only 11 s of CPU time is needed for a maximum of 811 iterations on a CPU 2.8 GHz desktop computer. The computational results indicated that Bia has a significant influence on the estimated optimal fin shape and its η; in addition, when Bii, kw and kf varied, the optimal fin shapes remained approximately identical. It is also found that η and rwd increase as φ, kw, kf, and Bii increase and Bia decreases. Due to the fact that the computational time for the present optimal fin shape design problem is very short, the duration of the fin design process can be shortened and the efficiency of the fin design process can be improved. Since the numerical design process for this optimum shape design analysis is completed, the experimental comparison will be conducted in the future for validation.
Author Contributions
Conceptualization, C.-H.H.; methodology, C.-H.H.; software, Y.-L.C.; validation, C.-H.H. and Y.-L.C.; formal analysis, C.-H.H. and Y.-L.C.; investigation, C.-H.H. and Y.-L.C.; writing—original draft preparation, C.-H.H. and Y.-L.C.; writing—review and editing, C.-H.H.; visualization, Y.-L.C.; supervision, C.-H.H.; project administration, C.-H.H.; funding acquisition, C.-H.H. All authors have read and agreed to the published version of the manuscript.
Funding
This research was funded by the Ministry of Science and Technology, Taiwan, grant number MOST-109-2221-E-006-048-MY3.
Institutional Review Board Statement
Not applicable.
Informed Consent Statement
Not applicable.
Data Availability Statement
Not applicable.
Conflicts of Interest
The authors declare no conflict of interest.
Nomenclature
| fin cross-sectional area (m2) | |
| Bia(θf), Bii(θw) | Biot number |
| , | convective heat transfer coefficient (Wm−2K−1) |
| , | temperature-dependent thermal conductivity (Wm−1K−1) |
| , | dimensionless temperature-dependent thermal conductivity |
| mass transfer coefficient (kgm−2s−1) | |
| latent heat of condensation of moisture (Jkg−1) | |
| constant pressure specific heat for moist air (Jkg−1K−1) | |
| J | cost function defined by Equation (3) |
| J′ | gradient of the cost function defined by Equation (15) |
| Le | Lewis number |
| pn | search direction |
| half fin pitch (m) | |
| Pr | Prandtl number |
| q | actual heat transfer rate of fin |
| Q | ideal heat transfer rate of fin |
| , | inner and external tube radius (m) |
| interfacial radius between wet and dry fin domains (m) | |
| external fin radius (m) | |
| fin perimeter (m) | |
| Sc | Schmidt number |
| , , | tube wall, wet fin and dry fin surfaces temperatures (K) |
| , , | fin, refrigerant and air temperatures (K) |
| u (.) | unit step function |
| v(δ) | estimated fin volume |
| V | specified fin volume |
| Greek symbols | |
| α | damping coefficient |
| β | search step size |
| γ | conjugate coefficient |
| δ(r) | fin thickness |
| θw(r), θf,w(r), θf,d(r) | temperatures defined by Equation (2) |
| Δθw(r), Δθf,w(r), Δθf,d(r) | sensitivity functions defined by Equation (7) |
| Δλw(r), Δλf,w(r), Δλf,d(r) | adjoint functions given by Equation (13) |
| Γ (.) | Dirac delta function |
| Φ | desired fin efficiency |
| η | computed fin efficiency |
| ϕ | relative humidity |
| ε | stopping criterion |
| specific humidity of air on the fin surface | |
| specific humidity of the surrounding air | |
| Superscripts | |
| n | index of iteration |
| _ | dimensional variables |
| Subscripts | |
| f | fin |
| w | wall |
| f,d | dry fin |
| f,w | wet fin |
References
- Charters, W.W.S.; Theerakulpisut, S. Efficiency equations for constant thickness annular fins. Int. Commun. Heat Mass Transf. 1989, 16, 547–558. [Google Scholar] [CrossRef]
- Mokheimer, E.M.A. Performance of annular fins with different profiles subject to variable heat transfer coefficient. Int. J. Heat Mass Transf. 2002, 45, 3631–3642. [Google Scholar] [CrossRef]
- Iborra, A.A.; Campo, A. Approximate analytic temperature distribution and efficiency for annular fins of uniform thickness. Int. J. Therm. Sci. 2009, 48, 773–780. [Google Scholar] [CrossRef][Green Version]
- McQuiston, F.C. Fin efficiency with combined heat and mass transfer. ASHRAE Trans. 1975, 81, 350–355. [Google Scholar]
- Toner, M.; Kilic, A.; Onat, K. Comparison of rectangular and triangular fins when condensation occurs. Heat Mass Transf. 1983, 17, 65–72. [Google Scholar] [CrossRef]
- Schmidt, E. Die Warmeubertragung durch Rippen. Z. VDI 1926, 70, 885–947. [Google Scholar]
- Kern, D.Q.; Kraus, A.D. Extended Surface Heat Transfer; MacGraw-Hill: New York, NY, USA, 1972. [Google Scholar]
- Jang, Y.J.; Choi, D.J.; Kim, S.; Hyun, M.T.; Lee, Y.G. Enhancement of condensation heat transfer rate of the air-steam mixture on a passive condenser system using annular fins. Energies 2017, 10, 1777. [Google Scholar] [CrossRef]
- Xu, Z.; Guo, Y.; Yang, H.; Mao, H.; Yu, Z.; Li, R. One convenient method to calculate performance and optimize configuration for annular radiator using heat transfer unit simulation. Energies 2020, 13, 271. [Google Scholar] [CrossRef]
- Wu, G.; Bong, T.Y. Overall efficiency of a straight fin with combined heat and mass transfer. Am. Soc. Heat. Refrig. Air-Cond. Eng. Trans. 1994, 100, 367–374. [Google Scholar]
- Naphon, P. Study on the heat transfer characteristics of the annular fin under dry-surface, partially wet-surface, and fully wet-surface conditions. Int. Commun. Heat Mass Transf. 2006, 33, 112–121. [Google Scholar] [CrossRef]
- Pirompugd, W.; Wang, C.C.; Wongwises, S. Finite circular fin method for heat and mass transfer characteristics for plain fin-and-tube heat exchangers under fully and partially wet surface conditions. Int. J. Heat Mass Transf. 2007, 50, 552–565. [Google Scholar] [CrossRef]
- Rosario, L.; Rahman, M.M. Analysis of heat transfer in a partially wet radial fin assembly during dehumidification. Int. J. Heat Fluid Flow 1999, 20, 642–648. [Google Scholar] [CrossRef]
- Kang, H.S. Optimization of a rectangular profile annular fin based on fixed fin height. J. Mech. Sci. Technol. 2009, 23, 3124–3131. [Google Scholar] [CrossRef]
- Brown, A. Optimum dimensions of uniform annular fins. Int. J. Heat Mass Transf. 1964, 8, 655–662. [Google Scholar] [CrossRef]
- Huang, C.H.; Hsiao, J.H. A non-linear fin design problem in determining the optimum shape of spine and longitudinal fins. Commun. Numer. Methods Eng. 2003, 19, 111–124. [Google Scholar] [CrossRef]
- Alifanov, O.M. Solution of an inverse problem of heat conduction by iteration methods. J. Eng. Phys. 1974, 26, 471–476. [Google Scholar] [CrossRef]
- Huang, C.H.; Chung, Y.L. Optimal Design of Annular Fin Shapes with Temperature-Dependent Properties. AIAA J. Thermophys. Heat Transfer. 2018, 32, 18–26. [Google Scholar] [CrossRef]
- Huang, C.H.; Chung, Y.L. A Nonlinear Fin Design Problem in Determining the Optimum Shapes of Fully Wet Annular Fins. Appl. Therm. Eng. 2016, 103, 195–204. [Google Scholar] [CrossRef]
- Huang, C.H.; Chung, Y.L. An inverse problem in determining the optimum shapes for partially wet annular fins based on efficiency maximization. Int. J. Heat Mass Transf. 2015, 90, 364–375. [Google Scholar] [CrossRef]
- Sharqawy, M.H.; Zubair, S.M. Efficiency and optimization of an annular fin with combined heat and mass transfer—An analytical solution. Int. J. Refrig. 2007, 30, 751–757. [Google Scholar] [CrossRef]
- Threlkeld, J.L. Thermal Environmental Engineering, 2nd ed.; Prentice-Hall, Inc.: Englewood Cliffs, NJ, USA, 1970. [Google Scholar]
Publisher’s Note: MDPI stays neutral with regard to jurisdictional claims in published maps and institutional affiliations. |
© 2021 by the authors. Licensee MDPI, Basel, Switzerland. This article is an open access article distributed under the terms and conditions of the Creative Commons Attribution (CC BY) license (http://creativecommons.org/licenses/by/4.0/).









