Abstract
This paper derives the optimal investment policy of an electricity producer during a pandemic. We consider three problems: (1) investing in a gas-fired plant, (2) investing in a wind plant, and (3) investing in the best of a gas plant and a wind plant. Optimal investment boundaries are characterized and valuation formulas derived. For single technology projects, a pandemic postpones wind investment, but can accelerate gas investment when the relative price of gas decreases. For choices between the two technologies, a substitution effect can reinforce the single technology effects, accelerating gas investment under certain conditions. The paper examines the impact of pandemic parameters, economic parameters and policy parameters on the investment boundaries, the values of projects and the premium for green energy.
1. Introduction
The ongoing COVID-19 outbreak has major effects on economies across the world, in addition to its staggering impact on the health of populations. Early empirical evidence shows deep impact on labor markets, stock markets and energy markets. Less apparent are its consequences for optimal decisions of individuals, firms and regulators.
In regards to energy markets, Q1 2020 brought to light the effects of a pandemic on demand, supply and prices. Electricity prices sustained decreases across the globe, with maximal declines exceeding 50% in some markets, e.g., UK, Italy, US-CAISO; see [1,2]. Natural gas prices also decreased broadly, collapsing on some exchanges, e.g., Dutch TTF, Asia LNG spot; see [3]. Against this economic backdrop, the worldwide share of renewables in the production of electricity has increased. Several factors combined to produce this outcome. First, the supply of power from renewable sources has increased because previously commissioned projects were completed and came on line. Second, operating cost advantages of renewable sources imply they receive priority to service demand in some countries. Third, demand for electricity has decreased, affecting firstly technologies with higher operating costs. A natural question is whether this evolution is a reflection of short term adjustments or whether it foretells a new regime for renewable-based power production and investments.
This paper seeks to examine a subset of related issues, pertaining to investment policies of power producers. Questions of interest include the following. What is the impact of a pandemic on optimal investment decisions? Will it speed up the transition to green energy (GE) power? How does the pandemic propagation mechanism affect the time profile of investments in different technologies, e.g., renewable-based versus fossil fuel-based? Are pandemic mitigating policies consistent with sustaining investment?
In order to address these issues, we adopt a micro-economic perspective. We consider the problem of a power producer contemplating an investment in a new plant, and with a choice between two competing technologies, a fossil fuel-based technology (gas plant) and a renewable-based technology (wind plant). Such a project involves a timing option (when to invest) and a selection option (which technology to choose). We also consider single technology projects, e.g., gas or wind. Such a project only involves a timing option. The producer takes prices as given and the investment decision does not impact them. The price model is a reduced-form model incorporating a pandemic effect. In the absence of a pandemic, prices follow correlated geometric Brownian motions. In a pandemic state, the prices of electricity and gas are negatively affected as the pandemic unfolds. They eventually recover as the epidemic abates.
This formulation of the problem reflects empirical evidence. The choice of technologies is driven by the fact that natural gas is currently the most efficient source of power generation from fossil fuels. With new turbines reaching efficiencies in excess of 60%, wind power is by far the most efficient source of power generation from renewable energy. The price model captures the following stylized facts (see [1] for empirical evidence from the COVID-19 outbreak): (i) the demand for electricity from the industrial and commercial sectors falls as the epidemic develops because firms in those sectors reduce or cease operations, (ii) the demand from the residential sector increases but does not compensate, leading to a net decrease of the demand for electricity, (iii) the reduction in the production of power reduces the sector’s demand for fossil fuels such as gas, and (iv) the net demand for gas from the residential, industrial, commercial and transportation sectors falls as well due to reduced economic activity. The net decrease in electricity demand in (i)–(ii) puts downward pressure on the electricity price. The spillover effect described in (iii) suggests the perturbation in the electricity market propagates to the natural gas market. The effect in (iv) is direct. Both channels contribute to a decrease in the gas price.
Our reduced-form specification captures the various stylized facts and empirical evidence described above. It is flexible to the extent that it accommodates direct and indirect effects of different sizes, hence can be adapted to economies with different sector compositions and shock transmission characteristics. It is also consistent with an equilibrium analysis of propagation mechanisms, a full development of which is beyond the scope of this study.
In this setting we obtain the following results: (i) for single technology projects, a pandemic postpones wind investment, but can accelerate gas investment when the relative price of gas decreases, (ii) for choices between the two technologies, a substitution effect can reinforce the previous effects, leading to an acceleration of gas investments under certain conditions, (iii) project value generally declines during a pandemic, but can increase due to relative price effects, (iv) the value of green energy and the relative contribution of GE to a project both decline, but the latter effect is small, (v) effects are typically amplified by the severity of the epidemic, e.g., when the infection rate increases, and by the severity of profit declines, e.g., when the electricity price sensitivity increases, but there are exceptions, resulting in non-monotonic behavior with respect to some parameters, (vi) a shelter-in-place policy has ambiguous effects on investment timing and project values relative to a laissez-faire policy, (vii) wind subsidies also have ambiguous effects; if sufficiently large, they dampen the impact of the pandemic on investments in the wind technology, the project value and the wind premium, and (viii) monetary policy can offset pandemic effects resulting in an acceleration of investment.
The paper relates to several branches of the literature. First, it relies on [4,5] to develop a micro-economic framework where investment decisions of a power producer during a pandemic can be examined. The first of these studies examines optimal investments policies when alternative technologies, e.g., fossil fuel- or renewable-based, are available. In particular, it characterizes optimal investment boundaries and derives an Early Investment Premium (EIP) formula for the project value. The second study develops an equilibrium model incorporating the effects of a pandemic evolving according to the SEIRD model. In that context, it examines the impact of the disease propagation on equilibrium. The present study combines elements of the two frameworks. Like [4], it examines the investment problem of a power producer with the choice between alternative technologies. It differs from [4] because the dynamics of electricity and gas prices incorporate novel effects due to the pandemic. Its focus on the power producer problem is a major departure from the second study. The analysis of that problem is carried out taking prices as exogenous. The price model assumed is consistent with an equilibrium extension of [5] to energy markets.
Second, it relates to a vast literature on the valuation of power projects, e.g., [6,7,8] for gas-fired plants [9,10] for wind plants, and [11,12,13] for projects with choices between multiple technologies. Third, it connects with a general literature on real options and in particular founding articles on the value of waiting to invest, e.g., [14,15,16,17]. Last, it complements a literature on multi-asset American claims, e.g., [18,19]. Our focus on pandemic effects is unique, and distinguishes our contributions from those in the last three strands. From a modelling point of view, it implies the price system incorporates fast evolving population dynamics, thereby deviating from the standard geometric Brownian motion specification.
2. A Model of Electricity and Gas Prices during a Pandemic
2.1. Price Dynamics
We consider a reduced form model of prices. The electricity and gas prices follow the diffusion model under the risk-neutral measure
for , where r is the constant interest rate (see [5] for potential interest rate effects of a pandemic), , are time-dependent convenience yields capturing pandemic effects, are the constant volatility parameters, and , are two correlated standard Brownian motions with correlation coefficient . Convenience yields are given by
for , where , are constant convenience yields prevailing during normal times, and is a pandemic factor, equal to a lagged index of the effective labor force, ,
where is the speed of reversion. The effective labor force is the adjusted fraction of the population able to work. Its evolution is described in the next section. The constant is the sensitivity of the electricity price to the pandemic factor. is the sensitivity of the gas price to conditions in the electricity market: it captures interactions between the two markets. is the sensitivity stemming from non-power uses of natural gas, e.g., residential, industrial, commercial and transportation. When and the disease impact on the electricity market propagates to the gas market. When the impact on other markets spreads to the gas market. In these instances, the expected returns on electricity and gas, are time-dependent functions. We assume that parameters of the model are such that all values in this paper exist and are finite.
While motivated by early empirical evidence pertaining to the impact of COVID-19 on economic activity, e.g., [1], this specification can also be derived as the equilibrium outcome in a production economy with multiple sectors, including a consumption good sector, an electricity sector and a natural resource sector. Under appropriate conditions, the equilibrium price system in such an economy evolves according to (1) and (2).
Now let us define
for . Then using Ito’s formula we have that
and hence X and Y are geometric Brownian motions with constant parameters and represent the commodity prices during normal times (no pandemic). For our analysis, especially for comparisons of solutions across regimes, it will be more convenient to work with . So in this paper, we use as state variables.
We note that
for . These relations show that actual (under pandemic) prices have two components: the first is equal to the no-pandemic price, the second captures the sensitivity to the pandemic factor.
2.2. Epidemic Dynamics
To close the price model we need to specify the dynamics of the working population. To this end we assume the disease evolves according to the SEIRD model extended to allow for government intervention. Below we describe the Shelter-in-Place (SIP) model with constant coefficients, which is a special case of the general model developed in [5]. Further details can be found therein.
There are five populations, susceptible (), exposed (), infectious (), recovered (), and deceased (). Let be the fractions of the overall initial population in each category. Initially, populations evolve according to the SEIRD model
where is the asymptomatic infectious population, described below. The parameter is the disease infection rate, is the incubation speed, and the recovery rate. The birth and natural death rates are equal, and given by . Parameter is the incremental mortality due to the disease. Hence, in the absence of disease mortality, the population is stable. Disease mortality is recorded in (10).
We assume the infectious class splits into three parts: asymptomatic (asy), mildly sick (ms), and severely sick (sev) individuals. Let , and be the corresponding population sizes. Asymptomatic individuals can work as they do not display symptoms. For these reasons, they are the principal vector of disease transmission, as reflected in (6) and (7). The working population is comprised of susceptible, exposed, recovered and asymptomatic individuals: . During the period preceding intervention, the fraction of the population able to work is
Intervention takes the form of a SIP policy with two parameters and . When the fraction of infected individuals (with the dynamics given above) reaches the threshold from below, the SIP policy is immediately implemented. Upon implementation, the populations () migrate to quarantine at home. They further split into two types, work-at-home () and laid-off (). The evolution of populations is described by
where all coefficients are constant. The parameter is the compliance rate, capturing the speed of transition to quarantine. Newborns are susceptible and assigned to except if they are offspring of in which case they stay in the corresponding category. Population includes all recovered individuals and is assumed healthy and active. Population comprises all deceased individuals, whether evolving from quarantined or not.
Later, when the fraction of infectious individuals reaches the threshold from above, the SIP policy is immediately lifted, and quarantined populations transition back to active classes. Dynamics become
Other equations remain the same. Parameters are the reverse compliance rates, i.e., the rates of transition from quarantine to active status, for the work-at-home and laid off populations. Because of labor market frictions, laid off individuals transition back to active status at a slower rate, .
To summarize, the populations dynamics is given by (6)–(10) on the interval , by (11)–(21) on the interval and by (22)–(30) on the interval , where
The effective workforce is
where and . The fraction corresponds to the quarantined asymptomatic infectious population working from home. The parameter is the efficiency of work-at-home.
2.3. Investment Problem
We consider a firm contemplating an investment in a new plant. The firm can choose the timing of the investment, prior to an expiration date T. It can also choose between different technologies available, either fossil fuel-based or renewable-based. Throughout we focus on a gas plant as an example of the former, and a wind plant for the latter. Henceforth, we examine the choice between a wind plant and a gas plant. We assume the firm is infinitesimal, hence its choices have no impact on equilibrium prices.
Let be the value of the gas plant with capacity , and that of the wind plant with capacity . Let and be the corresponding investment costs. Once the decision to invest has been made, it is clearly optimal to invest in the best of the two projects. The overall project investment payoff is
at time for , and where is a scale factor: if individual projects have the same cost, if they have the same productive capacity. When the selection option disappears: the firm has the (timing) option to invest in a single technology, namely build a gas plant.
The firm maximizes net present value with respect to the set of stopping times of the filtration
for , , where is the expectation under the risk neutral measure given that , , and the supremum is taken over all stopping times with values in and w.r.t. the filtration of . The value of the project at time t is the value function . As mentioned above, we use no-pandemic prices and as the state variables.
2.4. Individual Projects
To complete the specification of the investment model we describe individual projects. The gas plant generates instantaneous profit where is the capacity factor, i.e., the fraction of total capacity used, is the heat rate, i.e., the number of units of gas (millions of BTU) needed to produce 1 MWh of electricity, and is the operating cost of the plant. Parameters and are constant.
The wind plant generates instantaneous profit where is the capacity factor, s is a subsidy in the form of a feed-in-tariff, and is the operating cost, all of which are assumed to be constant.
Plant values are the present values of future profits. Assuming continuous operations and that plants have lifetime duration , if we invest at time t, the values are given by
for , , where
for .
The perpetuity values in (38) and (39) are the (marginal) values of the perpetual cash flow streams and , hence reflect the time-dependent convenience yields , , equivalently the pandemic factor Z. They can also be interpreted as coupon bond prices in markets with time-dependent interest rates . Time-dependence is induced by the propagation of the epidemic, and it constitutes the main difference relative to the model in [4].
Propagation of the epidemic leads to changes in Z. When a pandemic strikes and throughout the outbreak, Z falls below 1, its value during normal times; see Figure 1 for illustration. Perpetuity values in (38) and (39) decrease. When , the value of the wind plant (37) automatically decreases relative to the no-pandemic regime. The value of the gas plant (36) exhibits more complex behavior: it can increase for some combinations of prices when is sufficiently large, i.e., when the relative price of gas with respect to electricity sufficiently decreases as the pandemic unfolds.
Figure 1.
Upper panel displays the evolution of effective workforce (dashed) and pandemic factor Z (solid) during the outbreak. Lower panel plots the investment boundary for the wind plant as a function of time. Solid line corresponds to the pandemic case, dashed line to the no-pandemic case. Parameter values are given in Table 1; the investment horizon is year.
3. Optimal Investment Policy
3.1. Investment in Best of Two Technologies
Following the analysis in [4], it can be shown that the optimal investment policy is characterized by three regions: a gas investment region, a wind investment region and a continuation region. Boundaries between these regions are surfaces that depend on time and one of the underlying prices. More precisely, there exist two surfaces and such that it is optimal to invest in GFP (WP) at time if ().
In what follows and throughout the remainder of this article, we focus on the demand constrained case
In this case, given the affine structure of investment payoffs, the indifference level at time is the vertical line for all where the two project values are identical. When and , GFP dominates WP, and vice versa. The investment boundary surfaces are functions and defined on and , respectively, for fixed . See figures in Section 4.3.
Proposition 1.
The value of the project has the Early Investment Premium (EIP) representation
where is the value of an European-style option to invest
and (resp. ) is the EIP due to optimal investment in the gas (resp. wind) plant. EIP components are given by
for and , where and are the instantaneous gains from immediate investment in each technology, respectively given by
The EIP representation in (41)–(42) shows the value of the project is the value of the gains realized by optimally investing in gas and in wind. The European component appears because the project has finite life. The EIP formula permits the characterization of boundaries as the solutions to the system of coupled Equations (47) and (48). The optimal policy is to invest at the first time at which either of the two boundaries is hit.
3.2. Investment in the Wind Project
In this section we discuss the wind project, i.e., the problem of investing in the single wind technology without consideration of alternatives. In that one-dimensional context, it will be easier to illustrate and explain some of the results we obtain for the general problem above. The value of the project is
for and . This single state variable problem is equivalent to the pricing problem of a standard call option written on an asset with time-dependent parameters. The solution can be easily extended from the standard model with constant parameters. There exists a single investment boundary on such that it is optimal to invest when . As above, we can derive an EIP representation for the value of the project
for and , where is the value of an European-style option to invest and is the EIP due to optimal investment prior to the expiration date of the project. The European component is
where is the cumulative distribution function of the standard normal distribution and
for . The EIP is
for and , where is the instantaneous gain from optimal early investment and was given in (46) above. The optimal investment boundary solves the integral equation of Volterra type
for with the terminal condition
3.3. Investment in the Gas Project
In this section we discuss the gas project, i.e., the problem of investing in the single gas technology without consideration of alternatives. The problem is two-dimensional as the profit functions depend on electricity and gas prices but it is simpler than the problem of investment in best of two technologies. The value of the project is
for and . This two state variable problem is equivalent to the pricing problem of an American spread option written on assets with time-dependent parameters. There exists a single investment surface on such that it is optimal to invest when . As above, we can derive an EIP representation for the value of the project
where is the value of an European-style option to invest and is the EIP due to optimal investment prior to the expiration date of the project. The European component is
and the EIP is
for and , where is the instantaneous gain from early investment in GFP and given in (45) above. The optimal investment surface solves the integral equation of Volterra type
for and with the terminal condition deduced from and (36).
4. Numerical Study
We now conduct a numerical study to examine the behavior of the optimal investment policy and the value of the project during a pandemic. We also examine the value of green energy (also called the wind premium), defined as the difference –. This incremental value corresponds to the Marshallian surplus, see [4].
4.1. Model Calibration
Table 1 shows parameter values. The epidemic is initialized with a small fraction of infectious, . The coefficients are consistent with the evidence pertaining to the COVID-19 epidemic reported in [20]. Parameters reflect the long run statistical properties of the electricity and gas prices, see [4]. Parameters are assumed. Plant parameters are from [4] and years. Policy parameters produce lockdown and lifting dates that reflect approximate averages of corresponding implementation dates across US states, see [21,22]. Migration parameters are assumed.
Table 1.
Parameter values.
We note that in all figures below the electricity and gas prices are assumed to be the no-pandemic prices X and Y (not actual prices and ): these are the state variables that are used in this paper.
4.2. Single Technology Investment Projects
Figure 1 displays the evolution of the pandemic factor (upper panel) and the boundary for the wind project (lower panel). A deterioration of the pandemic factor reduces the electricity price, hence profits from operation. The value of the wind plant therefore decreases throughout the pandemic and so does the payoff from investing in the wind technology. The boundary increases to compensate and the incentive to invest decreases throughout.
Figure 2 shows the absolute (left panel) and relative (right panel) impact on the value of the wind project as a function of the no-pandemic electricity price at a given point in time. Value decreases across the range of prices due to the downward pressure on the electricity price during the pandemic. While the absolute change appears small, the relative change is significant. This behavior holds at all times while the pandemic is active and for any no-pandemic price.
Figure 2.
This figure shows the impact on the value of wind project at . Left panel plots the project value, solid line corresponds to the pandemic case, dashed line to the no-pandemic case. Right panel plots relative loss due to the pandemic in %. Parameter values are given in Table 1; the investment horizon is year.
Figure 3 displays the boundary for the gas project at different dates for low (left panel) and high (right panel) sensitivity of the gas price with respect to the pandemic factor. The behavior is more complex than for the wind plant. If the combined effects of the pandemic factor on the electricity and gas prices are such that the payoff from operation decreases, the gas boundary shifts in the outward direction throughout the outbreak (left panel). It then pays to delay investment. However, there are conditions under which the payoff from investing in the gas plant does not change uniformly in the same direction through time. For instance, when , the relative price of gas decreases, which could lead to temporary increases in profits from operations. Under such conditions, the value of the gas project increases at times, leading to an inward shift of the gas boundary. Variations over time imply incentives to invest may increase and fall at different times, relative to the no-pandemic case.
Figure 3.
This figure displays the investment boundary for the gas-fired plant at (black) and (red) in case of low sensitivity of the gas price (, left panel) and of high sensitivity (, right panel). Solid line corresponds to the pandemic case, dashed line to the no-pandemic case. Parameter values are given in Table 1; the investment horizon is year.
An additional complexity is that variations over time are not uniform over space, i.e., over no-pandemic gas prices. Indeed, at a given point in time, the payoff from investing in the gas plant can be positive at some prices, but negative at others. As a result, boundary segments can adjust asynchronously over time: pandemic boundaries can cross no-pandemic boundaries at a given time. Incentives to invest earlier or later depend not only on time but also on the no-pandemic gas price. Variations in boundary behavior across the set of possible gas prices feed back into earlier boundary behavior. Future adjustments in the boundary surface combine with the impact of the pandemic factor on prices to determine prior behavior, resulting in complex propagation effects across the boundary surface.
Figure 4 shows the value of the gas project can decrease or increase depending on the relative price behavior. It unambiguously decreases when the relative price is insensitive (left panel). In this case the profit from operation decreases throughout implying reduced payoff from investing in the gas plant, hence reduced project value. When the relative price decreases, there are two effects at play. The first is the reduction in the electricity price during the pandemic which has a negative impact on plant value. The second is the decrease in the relative price which improves profit from operation and plant value. The first (second) effect will dominate when the gas price is sufficiently low (high), leading to a decrease (increase) in profit and plant value. The value of the project to invest in the gas plant displays the same behavior (right panel). Value changes are small on an absolute basis (left scales) but large in relative terms (right scales).
Figure 4.
This figure displays the value function (left scale) and the relative loss in project value (dot-dashed on right scale) for the gas-fired plant at (black) and (red) in case of low sensitivity of the gas price (, left panel) and of high sensitivity (, right panel). The value of is 50$/MWh. Solid line corresponds to the pandemic case, dashed line to the no-pandemic case. Parameter values are given in Table 1; the investment horizon is year.
4.3. Investment in the Best Technology
Figure 5 displays the impact on the investment boundaries of the project to invest in the best of the two technologies. The plot shows the boundaries in the model with pandemic (solid curves) and without (dashed curves) at two different dates, initial date (black), and peak outbreak (red). Upper (lower) panels correspond to low (high) gas price sensitivity to the pandemic factor. The wind boundary moves in the outward direction in both cases, indicating it pays to delay investments in the wind plant. This reflects the fact that the profit from the wind plant and the associated payoff from investing in wind both decrease as the pandemic unfolds. The gas boundary displays more intricate behavior, different in some respects from the behavior of the single technology gas project. When the relative price is positively related (lower left panel) to the pandemic factor, it decreases as the pandemic unfolds, which increases plant profits. This effect mitigates the negative impact on the electricity price. It can be sufficiently strong to raise instantaneous profits for certain combinations of prices. Under these conditions, the gas boundary shifts inward and it is optimal to accelerate investment in the gas technology in sub-regions of the price domain. When the relative price is insensitive (upper left panel) to the pandemic, the value of the gas plant always decreases and, in principle, this ought to delay investment in it. The plot shows this is not true: there are price configurations at which it is actually optimal to invest earlier than in the no-pandemic case. The reason for this behavior is the substitution effect documented in [4,23]. Even though the value of the gas plant, hence the payoff from investing in that technology, decreases, the overall value of the project can decrease even more because of the simultaneous reduction in the payoff from investing in wind. When this occurs, it is optimal to accelerate investment in gas. Figure 6, which plots the value of waiting for the two regimes, pandemic and no pandemic, also illustrates this phenomenon. This substitution effect is at work even if we allow for negative values of C, in a neighborhood of . Although not displayed here, the substitution effect can also work in the opposite direction under certain market conditions. When C is sufficiently negative, i.e., when the gas price is negatively related to the pandemic factor, the value of the gas plant decreases sharply during the pandemic implying it becomes optimal to invest earlier in the wind technology for some price combinations. Such an atypical situation can arise if the supply of natural gas declines, e.g., the US experience during Q4, 2020. Finally, it is of interest to note the behavior of boundaries over time, as shown in Figure 5 (right panels). Boundaries at do not lie uniformly inside those at , indicating it is optimal to invest later for certain price configurations. This illustrates that the typical time-connectedness property of investment (i.e., investing remains optimal if it is optimal at an earlier date under the same price conditions), can fail when prices incorporate time-varying components.
Figure 5.
This figure displays the investment boundary for the best of two technologies in case of low sensitivity of the gas price (upper panels) and of high sensitivity (lower panels). Left panels: black solid line corresponds to the pandemic case at , black dashed line to the no-pandemic case at . Right panels: black solid line corresponds to the pandemic case at , red solid line to the pandemic case at . Parameter values are given in Table 1; the investment horizon is year.
Figure 6.
This figure displays the value of waiting to invest (as a function of Y) in the best of the two technologies at in case of low sensitivity of the gas price (, left panel) and of high sensitivity (, right panel). The value of is 150$/MWh. Solid line corresponds to the pandemic case, dashed line to the no-pandemic case. Parameter values are given in Table 1; the investment horizon is year.
Figure 7 shows the impact on the project value and on the relative loss in value at the initial date (black) and peak pandemic (red), when the relative price sensitivity to the pandemic factor is high (right panel) and low (left panel). The value of the project to invest in the best technology declines uniformly relative to the no-pandemic regime, reflecting the reduction in the payoff from investing. The relative loss in project value exhibits different profiles depending on the relative price sensitivity. When the latter is high (low), the relative loss has a decreasing-increasing (increasing) profile. At high gas prices, the project converges to a (single technology) wind plant investment, hence becomes insensitive to the gas price. At low gas prices, it approaches a (single technology) gas plant investment with low variable cost, hence low sensitivity to the pandemic factor through the gas price. At intermediate gas prices, the decline in the gas price is stronger and mitigates the decrease in the electricity price, implying smaller impact on project value. Relative loss then decreases. This hedging effect vanishes when the relative price is insensitive to the pandemic factor, as shown in the left panel.
Figure 7.
This figure displays the value function (solid left scale) and the relative loss in project value (dot-dashed on right scale) as functions of Y for the best of two technologies at (black) and (red) in case of low sensitivity of the gas price (, left panel) and of high sensitivity (, right panel). The value of is 50$/MWh. Solid line corresponds to the pandemic case, dashed line to the no-pandemic case. Parameter values are given in Table 1; the investment horizon is year.
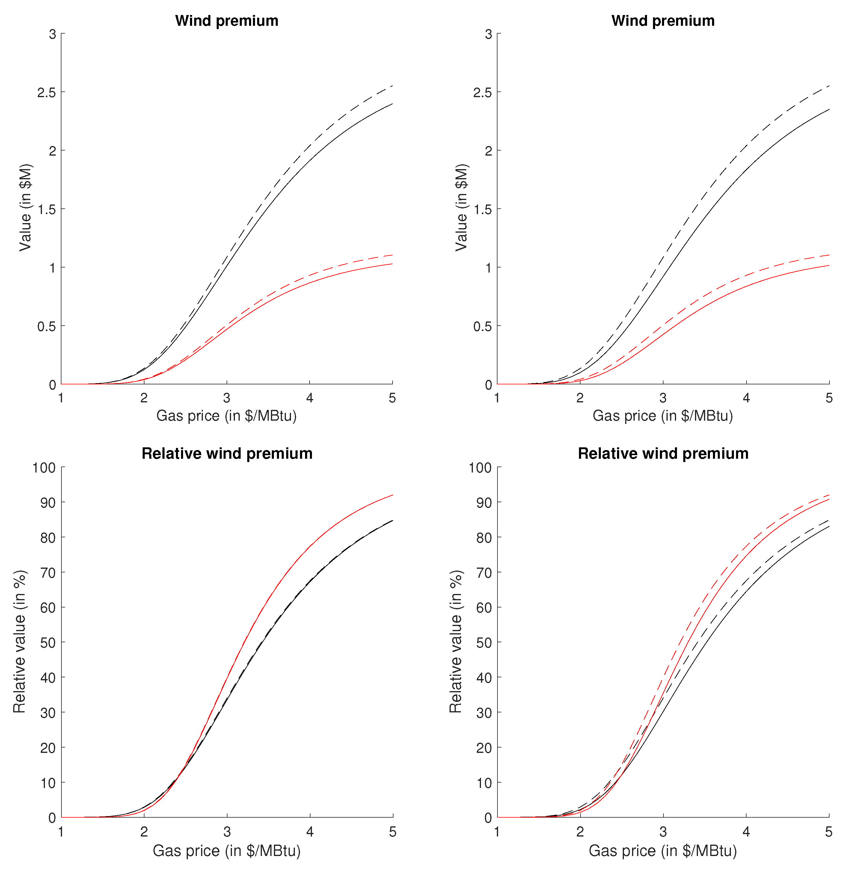
Figure 8 shows the impact on the wind premium, under the same parameter and price configurations as Figure 7. In all cases, the wind premium declines, and it does so uniformly with respect to the gas price (upper panels). The underlying reason is the reduction in the value of the wind plant implying a lower absolute benefit from substituting wind for gas. The relative premium decreases as well (lower panels), but the size of the variation is small, in fact negligible for (lower left panel). This shows the relative benefit from investing in wind is fairly robust to the pandemic propagation.
Figure 8.
This figure displays the wind premium (upper panels) and relative wind premium (lower panels) at (black) and (red) in case of low sensitivity of the gas price (, left panels) and of high sensitivity (, right panels). The value of is 50$/MWh. Solid line corresponds to the pandemic case, dashed line to the no-pandemic case. Parameter values are given in Table 1.
4.4. Comparative Dynamics: Epidemic Parameters
Figure 9 shows the impact of the infection rate . While the value of the project decreases when the infection rate increases from to , it increases when goes to (lower middle panels). This non-monotonic effect is triggered when the exposed population grows faster than the sheltered susceptible population. It can kick in if at some date. In such an event, as exposed individuals are able to work, the effective workforce does not decrease as much, implying a less severe recession and a lower decrease in the pandemic factor at the peak of the pandemic (upper panels). The smaller impact on prices eventually leads to an increase in profits and project value. Early on, the higher infection rate implies profits decrease because SIP kicks in faster. This initial decrease in profits contributes to a decrease in project value, but may not be sufficient to offset the later increase. Hence, project value can exhibit the non-monotone behavior displayed. The wind premium displays the same property (lower panels).
Figure 9.
This figure displays the effects of on the infectious population and pandemic factor (upper panels), project value (middle panels) and wind premium (lower panels) at in case of low sensitivity of the gas price (, left panels) and of high sensitivity (, right panels). The value of is 50$/MWh. The values of are: (blue), (black), (red). Other parameter values are given in Table 1; the investment horizon is year.
4.5. Comparative Dynamics: Market Structure
Figure 10 displays the effects of the electricity price sensitivity coefficient A on the value of the project (upper panels) and wind premium (lower panels), for (left panels) and (right panels). An increase in A unambiguously reduces the profits from the wind plant. It also reduces profits from the gas plant except over small subsets of the price space. For the parameters and electricity price selected, the project value decreases, uniformly over the range of gas prices. Likewise, the wind premium decreases in absolute value.
Figure 10.
This figure displays the effects of parameter A on the project value (upper panels) and wind premium (lower panels) at in case of low sensitivity of the gas price (, left panels) and of high sensitivity (, right panels). The value of is 50$/MWh. The values of A are: (blue), (black), (red). Other parameter values are given in Table 1; the investment horizon is year.
Figure 11 shows the effects of B, the gas price sensitivity. Ceteris paribus, as B increases, the profits of the gas plant increase due to cheap fuel, hence lower variable costs. The project value therefore increases, but the wind premium decreases due to the optimal substitution of gas investments in place of wind investments. The magnitudes of the effects are small.
Figure 11.
This figure displays the effects of parameter B on the project value (upper panels) and wind premium (lower panels) at in case of low sensitivity of the gas price (, left panels) and of high sensitivity (, right panels). The value of is 50$/MWh. The values of B are: (blue), (black), (red). Other parameter values are given in Table 1; the investment horizon is year.
4.6. Comparative Dynamics: Policy Parameters
Figure 12 and Figure 13 highlight the effects of the lockdown threshold . Figure 12 displays the effective workforce and the pandemic factor (upper panels), the project value and relative loss (middle panels), and the wind premium (lower panels). An increase in has two opposite effects. First it reduces the efficiency loss due to work-at-home and layoffs. Second, it allows the pandemic to propagate, resulting in larger infectious populations unable to work. The first effect dominates for the parameter values selected, resulting in larger effective workforce and pandemic factor (upper panels). The value of the wind plant increases, and so does the value of the gas plant if the relative price effect is not too strong. Under such conditions, the project value increases and the loss relative to the no-pandemic case declines (middle panels). The wind premium also increases (lower panels). In the limit, the policy converges to the laissez-faire policy and the project value and wind premium converge to their respective laissez-faire counterparts. Figure 13 displays the case of a strong relative price effect. It shows the value of the gas plant can decrease as the intervention threshold increases, leading to a reduction in project value over the range of gas prices displayed. The wind premium nevertheless increases because the decrease in the value of the gas plant is partly compensated by the substitution of wind for gas, i.e., the project to invest in the best technology does not lose as much value as the single technology gas project.
Figure 12.
This figure displays the effects of on the effective workforce and pandemic factor (left scale, upper panels), project value (middle panels) and wind premium (lower panels) at in case of low sensitivity of the gas price (, left panels) and of high sensitivity (, right panels). Dot-dashed lines in middle panels correspond to the relative loss with respect to the no-pandemic case (right scale). The value of is 50$/MWh. The values of are: = 120/327,000 (blue), = 5000/327,000 (black), (red). Other parameter values are given in Table 1; the investment horizon is year.
Figure 13.
This figure displays the effects of on the project value (left panel) and wind premium (right panel) at when . The value of is 50$/MWh. The values of are: = 120/327,000 (blue), = 5000/327,000 (black), (red). Other parameter values are given in Table 1; the investment horizon is year.
Figure 14 displays the effects of the wind subsidy. An increase in the feed-in-tariff s raises the value of the wind plant, hence the project value and the wind premium. The effects are large. For the project value becomes insensitive to the gas price, implying the likelihood of investing in the gas plant approaches zero. The wind premium, in this case, equals the value of the (single technology) wind project minus the value of the (single technology) gas project. It increases with respect to the gas price because the (single technology) gas project becomes less valuable as the gas price increases. The loss with respect to the no-pandemic case increases with s for low values of s because the likelihood of investment increases faster in the absence of a pandemic. Eventually, it decreases as s increases. It converges to zero in the limit because the wind project value becomes insensitive to the electricity price.
Figure 14.
This figure displays the effects of the subsidy rate s on the project value (left scale, upper panels) and wind premium (lower panels) at in case of low sensitivity of the gas price (, left panels) and of high sensitivity (, right panels). Dot-dashed lines in middle panels correspond to the relative loss with respect to the no-pandemic case (right scale). The values of s are: (blue), (black), (red), (green). The value of is 50$/MWh. Other parameter values are given in Table 1; the investment horizon is year.
Figure 15 shows the potential effects of monetary policy, through the interest rate. It focuses on the case of null subsidy , and considers a transitory 1-year decrease in the interest rate from to . When r decreases, the value of each plant decreases because the present value of operating costs increases. This reduces the immediate investment payoff for any given pair of prices. The value of investing in the best technology also decreases, but for two reasons. First because future individual plant values decrease. Second because the present values of investment costs increase. The latter one is significant, and the value effect dominates the payoff effect, leading to an acceleration of investment (upper panels), a reduction in project value (middle panels) and a reduction in the wind premium (lower panels).
Figure 15.
This figure displays the effects of the interest rate r on the investment boundaries (upper panels), project value (middle panels) and wind premium (lower panels) at in case of low sensitivity of the gas price (, left panels) and of high sensitivity (, right panels). The value of is 50$/MWh. The values of r are: (black solid) and (red). The black dashed line corresponds to the no-pandemic cases with . Other parameter values are given in Table 1; the investment horizon is year.
5. Conclusions
The COVID-19 outbreak raises major questions pertaining to investments in power projects. This paper documents the nature of the pandemic effects on optimal investment boundaries and project values for a power producer seeking to choose between two exclusive technologies, respectively based on fossil fuels (gas-fired plant) and renewable sources (wind plant). It shows that investment boundaries do not react uniformly over time, possibly leading to alternating phases of accelerating or slowing investments over the course of the disease. It also shows that project values can increase or decrease at times, under certain conditions. Reactions are highly dependent on the relative sensitivities of the electricity and gas prices to the pandemic. Disease parameters, market structure parameters and policy parameters combine to determine the nature and amplitude of the adjustment patterns recorded.
Our analysis shows a pandemic generally decreases the incremental value of a project to invest in the best of a fossil fuel-based power plant and a renewable-based plant over a single technology fossil fuel plant, and slows down investments in GE for power production. Especially damaging to the transition to GE for power production is the reduction in energy prices, e.g., the gas price.
While our model incorporates various aspects tied to the impact of pandemics on power investments, there are additional important considerations that are not taken into account. A factor of relevance pertains to the merit order system or variations of it employed in some countries, where plants using renewable sources come on line before fossil fuel-based plants because of lower marginal costs. During periods of reduced power demand, the reliance on the latter to supply the grid decreases, leading to a comparative reduction in capacity utilization and increase in the duration of idle periods. Ensuing increases in operational costs, e.g., restart costs, equipment failure costs, etc., further erode the competitiveness of the fossil fuel power sector relative to GE powered plants. Such effects contribute to increase the value of GE. However, there are limits to such erosion, because of GE intrinsic factors, such as the inability to meet peak demand under certain climatic conditions, or because of significant reductions in the variable costs, e.g., fuel costs, of power plants relying on carbon intensive sources. Temporary government support measures for fossil fuels are another short term impediment to such transition.
Another limitation of our study is the focus on two sources of power production, natural gas and wind. While these fuels have received extensive attention in recent years, there are competitive alternatives, e.g., oil and solar. An interesting question pertains to the impact of a pandemic when such alternatives are also considered, i.e., when the investor can choose between four mutually exclusive alternatives. From an investment point of view, a solar power plant is similar to a wind power plant: it requires an upfront cost, has low operational cost and produces revenues depending on the electricity price. The choice between the two is a matter of costs, i.e., in the absence of further considerations, the least costly alternative dominates for all electricity prices in our setting. Our model implicitly assumes wind is the dominant alternative among the two. An oil power plant, in contrast, differs more significantly from a natural gas power plant: variable costs are driven by the price of oil. Empirical evidence shows that oil prices have collapsed during the COVID-19 outbreak, raising the competitiveness of oil plants relative to gas plants. Substitution effects might then play a more prominent role and lead to complex adjustment patterns as the pandemic unfolds. From a technical point of view, however, the inclusion of a third stochastic process (the oil price) is a challenge for our methodology. Optimal boundaries now depend on two prices in addition to time. The efficient numerical resolution of a complex stopping time problem in this category is an open question.
In practice, some effects discussed above are likely to be transitory in nature. For instance the initially sharp drop in energy prices eventually abates, hence progressively raising the variable costs of power plants based on fossil fuels and reducing their competitiveness. Such reversals are already accounted for in our model with two exclusive alternatives. Factors contributing to persistence that are not examined include disease mutations on the epidemic side and default waves on the economic side. Financing conditions are another important aspect of the problem. In response to the economic impact of COVID-19, monetary policy has led to a period of low interest rates and indications are such conditions will prevail for some time. Cheap financing, combined with the operational flexibility and cost profile of GE power plants is also likely to impact the transition to GE.
Author Contributions
Conceptualization, J.D. and Y.K.; methodology, J.D. and Y.K.; derivations, J.D. and Y.K.; numerical implementation, Y.K.; writing—original draft preparation, J.D. and Y.K.; writing—review and editing, J.D. and Y.K.; visualization, Y.K. All authors have read and agreed to the published version of the manuscript.
Funding
This research did not receive external funding.
Conflicts of Interest
The authors declare they do not have any conflict of interest.
Abbreviations
The following abbreviations are used in this manuscript:
| EIP | Early Investment Premium |
| GE | Green Energy |
References
- IEA. Global Energy Review 2020—The Impacts of the Covid-19 Crisis on Global Energy Demand and CO2 Emissions; International Energy Agency (IEA): Paris, France, 2020. [Google Scholar]
- IEA. Renewables 2020—Analysis and forecast to 2025; International Energy Agency (IEA): Paris, France, 2020. [Google Scholar]
- IEA. Gas 2020; International Energy Agency (IEA): Paris, France, 2020. [Google Scholar]
- Detemple, J.; Kitapbayev, Y. The value of Green Energy: Optimal investment in mutually exclusive projects and operating leverage. Rev. Financ. Stud. 2020, 33, 3307–3347. [Google Scholar] [CrossRef]
- Detemple, J. Asset Prices and Pandemics; Working Paper; Boston University: Boston, MA, USA, 2020. [Google Scholar]
- Deng, S.; Johnson, B.; Sogomonian, A. Spark spread options and the valuation of electricity generation assets. In Proceedings of the 32nd Hawaii International Conference on System Sciences, Maui, HI, USA, 5–8 January 1999; pp. 1–7. [Google Scholar]
- Maribu, K.M.; Galli, A.; Armstrong, M. Valuation of spark-spread options with mean reversion and stochastic volatility. Int. J. Electron. Bus. Manag. 2010, 5, 173–181. [Google Scholar]
- Fleten, S.-E.; Näsäkkälä, E. Gas-fired plants: Investment timing, operating flexibility and CO2 capture. Energy Econ. 2010, 32, 805–816. [Google Scholar] [CrossRef]
- Fleten, S.-E.; Maribu, K.M.; Wangensteen, I. Optimal investment strategies in decentralized renewable power generation under uncertainty. Energy 2007, 32, 803–815. [Google Scholar] [CrossRef]
- Boomsma, T.K.; Meade, N.; Fleten, S.-E. Renewable energy investments under different support schemes: A real options approach. Eur. J. Oper. Res. 2012, 220, 225–237. [Google Scholar] [CrossRef]
- Decamps, J.-P.; Mariotti, T.; Villeneuve, S. Irreversible investment in alternative projects. Econ. Theory 2006, 28, 425–448. [Google Scholar] [CrossRef]
- Siddiqui, A.; Fleten, S.-E. How to proceed with competing alternative energy technologies: A real options analysis. Energy Econ. 2010, 32, 817–830. [Google Scholar] [CrossRef]
- Bobtcheff, C.; Villeneuve, S. Technology choice under several uncertainty sources. Eur. J. Oper. Res. 2010, 206, 586–600. [Google Scholar] [CrossRef]
- McDonald, R.; Siegel, D. Investment and the valuation of firms when there is an option to shut down. Int. Econ. Rev. 1985, 26, 331–349. [Google Scholar] [CrossRef]
- McDonald, R.; Siegel, D. The Value of waiting to invest. Quartertly J. Econ. 1986, 101, 707–727. [Google Scholar] [CrossRef]
- Brennan, M.; Schwartz, E.S. Evaluating natural resource investments. J. Bus. 1985, 58, 135–157. [Google Scholar] [CrossRef]
- Dixit, A.K.; Pindyck, R.S. Investment under Uncertainty; Princeton University Press: Princeton, NJ, USA, 1994. [Google Scholar]
- Broadie, M.; Detemple, J. The valuation of American options on multiple assets. Math. Financ. 1997, 7, 241–285. [Google Scholar] [CrossRef]
- Villeneuve, S. Exercise regions of American options on several assets. Financ. Stochastics 1999, 3, 295–322. [Google Scholar] [CrossRef]
- Lin, Q.; Zhao, S.; Gao, D.; Lou, Y.; Yang, S.; Musa, S.S.; Wang, M.H.; Cai, Y.; Wang, W.; Yang, L.; et al. A conceptual model for the Coronavirus disease 2019 (COVID-19) outbreak in Wuhan, China with individual reaction and governmental action. Int. J. Infect. Dis. 2020, 93, 211–216. [Google Scholar] [CrossRef] [PubMed]
- Timing of State and Territorial COVID-19 Stay-at-Home Orders and Changes in Population Movement—United States, 1 March–31 May 2020. Morb. Mortal. Wkly. Rep. 2020, 69, 1198–1203. Available online: https://www.cdc.gov/mmwr/volumes/69/wr/mm6935a2.htm (accessed on 1 December 2020). [CrossRef] [PubMed]
- U.S. State and Local Government Responses to the COVID-19 Pandemic. Available online: https://en.wikipedia.org/wiki/U.S._state_and_local_government_responses_to_the_COVID-19_pandemic (accessed on 1 December 2020).
- Detemple, J.; Kitapbayev, Y. The Value of Green Energy under Regulation Uncertainty. Energy Econ. 2020, 89, 104807. [Google Scholar] [CrossRef]
Publisher’s Note: MDPI stays neutral with regard to jurisdictional claims in published maps and institutional affiliations. |
© 2021 by the authors. Licensee MDPI, Basel, Switzerland. This article is an open access article distributed under the terms and conditions of the Creative Commons Attribution (CC BY) license (http://creativecommons.org/licenses/by/4.0/).














