Heat Exchanger Network Optimization Based on the Participatory Evolution Strategy for Streams
Abstract
1. Introduction
2. Model Introduction
Objective Function
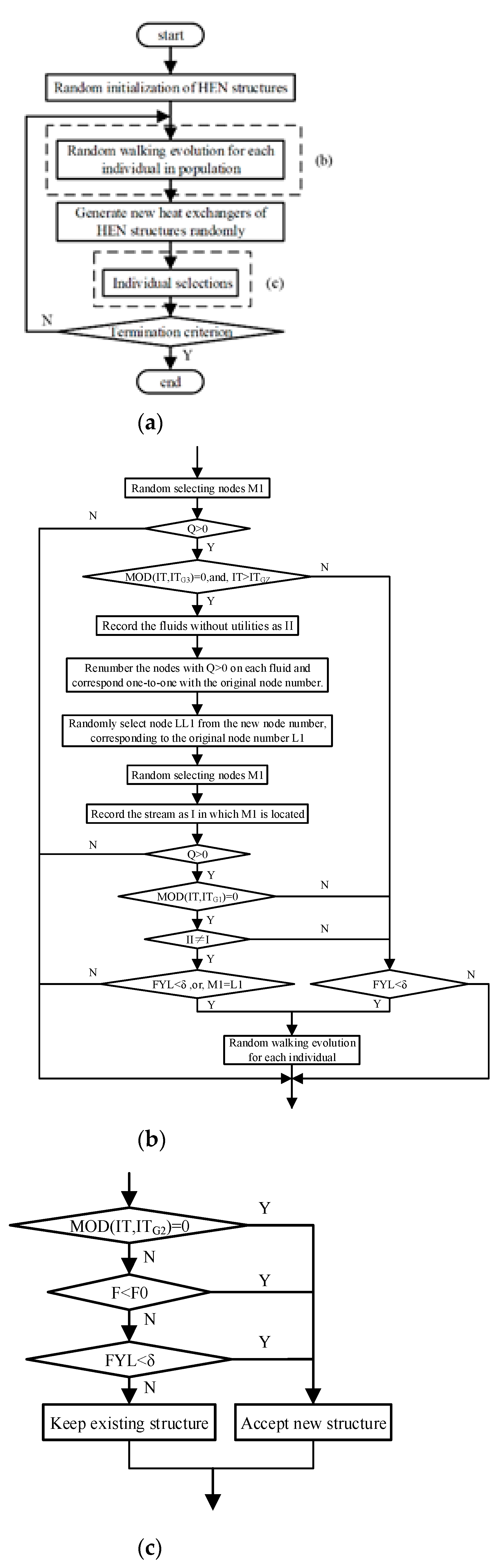
3. Improved RWCE Optimized HEN
3.1. RWCE Principle
3.2. Participatory Evolution Strategy for Streams
3.3. Participatory Evolutionary Strategy Based on Hot Streams
3.4. Weighted Evolution Strategy
3.5. Improved RWCE by the Proposed Strategies
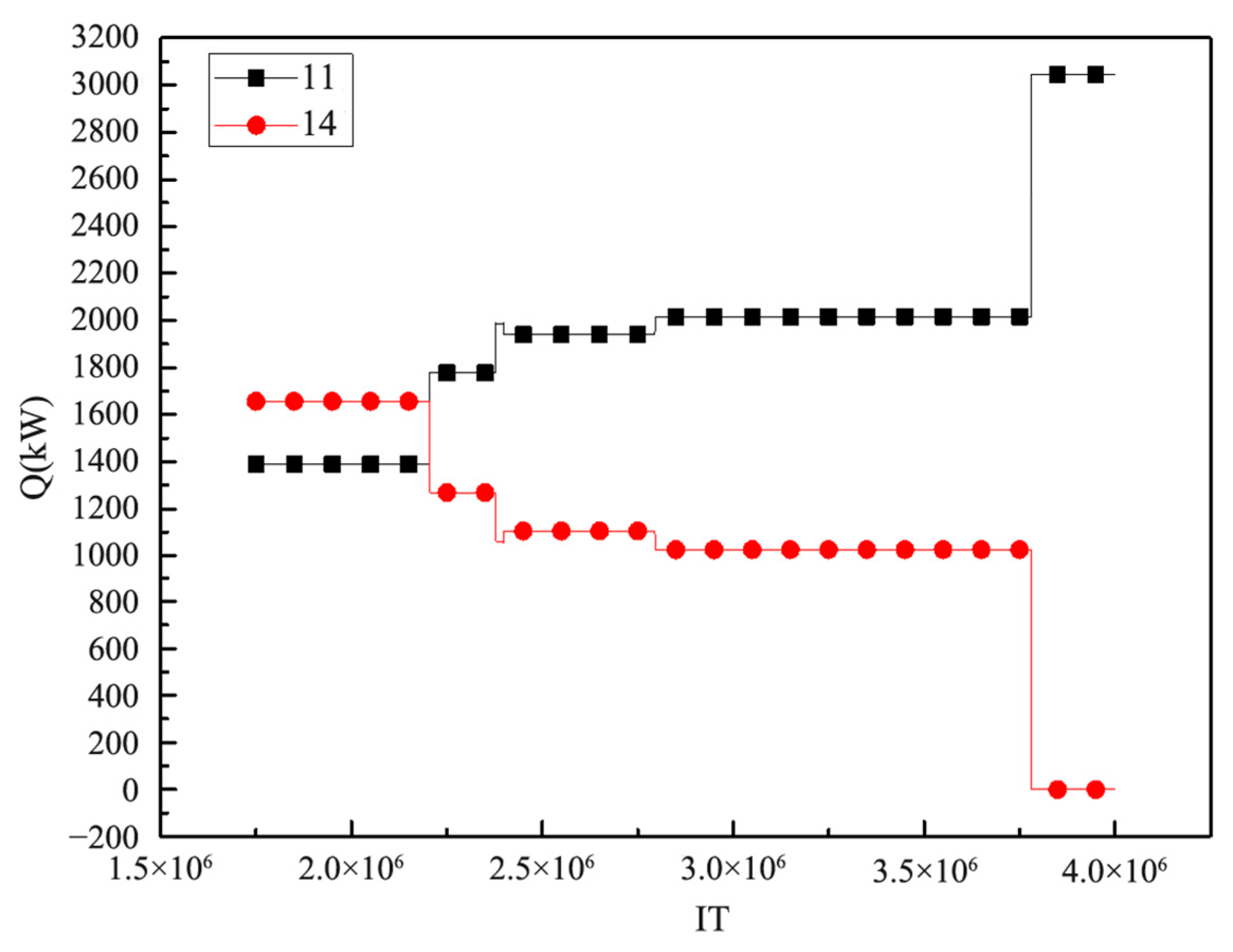
4. Case Study Verification
4.1. Case 1
4.2. Case 2
5. Conclusions
Author Contributions
Funding
Institutional Review Board Statement
Informed Consent Statement
Conflicts of Interest
References
- Linnhoff, B.; Dunford, H.; Smith, R. Heat integration of distillation columns into overall processes. Chem. Eng. Sci. 1983, 38, 1175–1188. [Google Scholar] [CrossRef]
- Linnhoff, B.; Hindmarsh, E. The pinch design method for heat exchanger networks. Chem. Eng. Sci. 1983, 38, 745–763. [Google Scholar] [CrossRef]
- Premkumar, R.; Rangaiah, G.P. Retrofitting conventional column systems to dividing-wall columns. Chem. Eng. Res. Des. 2009, 87, 47–60. [Google Scholar] [CrossRef]
- Yee, T.F.; Grossmann, I.E. Simultaneous optimization models for heat integration–II. Heat exchanger network synthesis. Comput. Chem. Eng. 1990, 14, 1165–1184. [Google Scholar] [CrossRef]
- Morar, M.; Agachi, P.S. Review: Important contributions in development and improvement of the heat integration techniques. Comput. Chem. Eng. 2010, 34, 1171–1179. [Google Scholar] [CrossRef]
- Coleman, T.F.; Conn, A.R. On the Local Convergence of a Quasi-Newton Method for the Nonlinear Programming Problem. SIAM J. Numer. Anal. 1984, 21, 755–769. [Google Scholar] [CrossRef][Green Version]
- Roux, N.L.; Fitzgibbon, A.W. A fast natural Newton method. In Proceedings of the 27th International Conference on Machine Learning (ICML-10), Haifa, Israel, 21–24 June 2010; pp. 623–630. [Google Scholar]
- Schraudolph, N.N.; Yu, J.; Gunter, S. A stochastic quasi-newton method for online convex optimization. In Proceedings of the Artificial Intelligence and Statistics, San Juan, Puerto Rico, 21–24 March 2007. [Google Scholar]
- Tseng, P.; Yun, S. A coordinate gradient descent method for nonsmooth separable minimization. Math. Program. 2009, 117, 387–423. [Google Scholar] [CrossRef]
- Quesada, I.; Grossmann, I.E. Global optimization algorithm for heat exchanger networks. Ind. Eng. Chem. Res. 1993, 32, 487–499. [Google Scholar] [CrossRef]
- Aguitoni, M.C.; Pavão, L.V.; Ravagnani, M.A.d.S.S. Heat exchanger network synthesis combining Simulated Annealing and Differential Evolution. Energy 2019, 181, 654–664. [Google Scholar] [CrossRef]
- Pavão, L.V.; Costa, C.B.B.; Ravagnani, M.A.d.S.S.; Jimenez, L. Large-scale heat exchanger networks synthesis using simulated annealing and the novel rocket fireworks optimization. AIChE J. 2016, 63, 1582–1601. [Google Scholar] [CrossRef]
- Lin, B.; Miller, D.C. Solving heat exchanger network synthesis problems with Tabu Search. Comput. Chem. Eng. 2004, 28, 1451–1464. [Google Scholar] [CrossRef]
- Fang, D.J.; Cui, G.M. Global optimization of heat exchanger networks using differential evolution algorithm. CIESC J. 2013, 64, 3285–3290. [Google Scholar]
- Feyli, B.; Soltani, H.; Hajimohammadi, R.; Fallahi-Samberana, M.; Eyvazzadeha, A. A reliable approach for heat exchanger networks synthesis with stream splitting by coupling genetic algorithm with modified quasi-linear programming method. Chem. Eng. Sci. 2022, 248, 117140. [Google Scholar] [CrossRef]
- Silva, A.P.; Ravagnani, M.A.; Biscaia, E.C., Jr. Particle swarm optimization applied in retrofit of heat exchanger networks. Comput. Aided Chem. Eng. 2009, 27, 1035–1040. [Google Scholar]
- Xiao, Y.; Cui, G. A novel random walk algorithm with compulsive evolution for heat exchanger network synthesis. Appl. Therm. Eng. 2017, 115, 1118–1127. [Google Scholar] [CrossRef]
- Xu, Y.; Heri, A.K.; Xiao, Y.; Cui, G. A new nodes-based model for optimization of heat exchanger network synthesis. J. Therm. Sci. 2020, 30, 14–28. [Google Scholar] [CrossRef]
- Yee, T.F.; Grossman, I.E.; Kravanja, Z. Simultaneous optimization model for heat integration-I. Area and Energy Targeting and Modeling of Multi-Stream Exchangers. Comput. Chem. Eng. 1990, 14, 1151–1164. [Google Scholar] [CrossRef]
- Yee, T.F.; Grossman, I.E.; Kravanja, Z. Simultaneous optimization model for heat integration-III. Process and heat exchanger network synthesis. Comput. Chem. Eng. 1990, 14, 1185–1200. [Google Scholar] [CrossRef]
- Escobar, M.; Trierweiler, J.O. Optimal heat exchanger network synthesis: A case study comparison. Appl. Therm. Eng. 2013, 51, 801–826. [Google Scholar] [CrossRef]
- Pavão, L.V.; Costa, C.B.B. Automated heat exchanger network synthesis by using hybrid natural algorithms and parallel processing. Comput. Chem. Eng. 2016, 94, 370–386. [Google Scholar] [CrossRef]
- Bao, Z.; Cui, G.; Chen, J.; Sun, T.; Xiao, Y. A novel random walk algorithm with compulsive evolution combined with an optimum-protection strategy for heat exchanger network synthesis. Energy 2018, 152, 694–708. [Google Scholar] [CrossRef]
- Bjork, K.-M.; Nordman, R. Solving large-scale retrofit heat exchanger network synthesis problems with mathematical optimization methods. Chem. Eng. Process. Process Intensif. 2005, 44, 869–876. [Google Scholar] [CrossRef]
- Peng, F.; Cui, G. Efficient simultaneous synthesis for heat exchanger network with simulated annealing algorithm. Appl. Therm. Eng. 2015, 78, 136–149. [Google Scholar] [CrossRef]
- Pavão, L.V.; Costa, C.B.; Ravagnani, M.A. Heat Exchanger Network Synthesis without stream splits using parallelized and simplified simulated Annealing and Particle Swarm Optimization. Chem. Eng. Sci. 2017, 158, 96–107. [Google Scholar] [CrossRef]
















| Stream | Tin (K) | Tout (K) | FCP (kW K−1) | h (kW K−1) |
|---|---|---|---|---|
| H1 | 576 | 437 | 23.1 | 0.06 |
| H2 | 599 | 399 | 15.22 | 0.06 |
| H3 | 530 | 382 | 15.15 | 0.06 |
| H4 | 449 | 237 | 14.76 | 0.06 |
| H5 | 368 | 177 | 10.7 | 0.06 |
| H6 | 121 | 114 | 149.6 | 1.00 |
| H7 | 202 | 185 | 258.2 | 1.00 |
| H8 | 185 | 113 | 8.38 | 1.00 |
| H9 | 140 | 120 | 59.89 | 1.00 |
| H10 | 69 | 66 | 165.79 | 1.00 |
| H11 | 120 | 68 | 8.74 | 1.00 |
| H12 | 67 | 35 | 7.62 | 1.00 |
| H13 | 1034.5 | 576 | 21.3 | 0.06 |
| C1 | 123 | 343 | 10.61 | 0.06 |
| C2 | 20 | 156 | 6.65 | 1.20 |
| C3 | 156 | 157 | 3291 | 2.00 |
| C4 | 20 | 182 | 26.63 | 1.20 |
| C5 | 182 | 318 | 31.19 | 1.20 |
| C6 | 318 | 320 | 4011.83 | 2.00 |
| C7 | 322 | 923.78 | 17.6 | 0.06 |
| HU | 927 | 927 | − | 5.0 |
| CU | 9 | 17 | − | 1.0 |
| Annual cost of the heat exchanger = 4000 + 500 A0.83 $ year−1 Annual cost of the hot utility = 250 QHU $ kW−1·year−1 Annual cost of the cold utility = 25 QCU $ kW−1·year−1 | ||||
| Stream | Tin/°C | Tout/°C | FCP/kW °C−1 | h/kW °C−1 |
|---|---|---|---|---|
| H1 | 180 | 75 | 30 | 2.0 |
| H2 | 280 | 120 | 60 | 1.0 |
| H3 | 180 | 75 | 30 | 2.0 |
| H4 | 140 | 40 | 30 | 1.0 |
| H5 | 220 | 120 | 50 | 1.0 |
| H6 | 180 | 55 | 35 | 2.0 |
| H7 | 200 | 60 | 30 | 0.4 |
| H8 | 120 | 40 | 100 | 0.5 |
| C1 | 40 | 230 | 20 | 1.0 |
| C2 | 100 | 220 | 60 | 1.0 |
| C3 | 40 | 190 | 35 | 2.0 |
| C4 | 50 | 190 | 30 | 2.0 |
| C5 | 50 | 250 | 60 | 2.0 |
| C6 | 90 | 190 | 50 | 1.0 |
| C7 | 160 | 250 | 60 | 3.0 |
| HU | 325 | 325 | − | 2.0 |
| CU | 25 | 40 | − | 1.0 |
| Annual cost of the heat exchanger = 8000 + 500 A0.75 $ year−1 Annual cost of the hot utility = 80 QHU $ kW−1·year−1 Annual cost of the cold utility = 10 QCU $ kW−1·year−1 | ||||
| Unit | QHU (MW) | QCU (MW) | Total Area (m2) | TAC (USD/year) | |
|---|---|---|---|---|---|
| Escobar (2013) | 21 | 1938.00 | 106.93 | 5551.08 | 1,537,086 |
| Pavão (2016) | 21 | 1938.00 | 106.93 | 5389.01 | 1,516,482 |
| Bao (2018) | 22 | 2077.51 | 250.435 | 5053.2 | 1,462,363 |
| Figure 11 | 23 | 1848.60 | 17.30 | 4998.2 | 1,432,904 |
| Figure 12 | 21 | 1831.30 | 0 | 5010 | 1,411,131 |
| Figure 13 | 21 | 1830.8 | 0 | 5009.7 | 1,396,348 |
Publisher’s Note: MDPI stays neutral with regard to jurisdictional claims in published maps and institutional affiliations. |
© 2021 by the authors. Licensee MDPI, Basel, Switzerland. This article is an open access article distributed under the terms and conditions of the Creative Commons Attribution (CC BY) license (https://creativecommons.org/licenses/by/4.0/).
Share and Cite
Chen, J.; Cui, G.; Cao, M.; Kayange, H.; Li, J. Heat Exchanger Network Optimization Based on the Participatory Evolution Strategy for Streams. Energies 2021, 14, 8392. https://doi.org/10.3390/en14248392
Chen J, Cui G, Cao M, Kayange H, Li J. Heat Exchanger Network Optimization Based on the Participatory Evolution Strategy for Streams. Energies. 2021; 14(24):8392. https://doi.org/10.3390/en14248392
Chicago/Turabian StyleChen, Jiaxing, Guomin Cui, Mei Cao, Heri Kayange, and Jian Li. 2021. "Heat Exchanger Network Optimization Based on the Participatory Evolution Strategy for Streams" Energies 14, no. 24: 8392. https://doi.org/10.3390/en14248392
APA StyleChen, J., Cui, G., Cao, M., Kayange, H., & Li, J. (2021). Heat Exchanger Network Optimization Based on the Participatory Evolution Strategy for Streams. Energies, 14(24), 8392. https://doi.org/10.3390/en14248392
