Comparison of Flexibility Factors and Introduction of A Flexibility Classification Using Advanced Heat Pump Control
Abstract
:1. Introduction
1.1. Background
1.2. Motivation
1.3. Specific Objectives
2. Methodology
2.1. Multi-Family Dwelling
2.2. Penalty Signals
2.2.1. Selection
2.2.2. High/Low Tariff
2.2.3. Spot Market Prices
2.2.4. CO2eq Emissions
2.2.5. Self-Consumption
2.3. Flexibility Factors
2.3.1. Introduction
2.3.2. Grid Support Coefficient (GSC)
2.3.3. Relative Import Bill
2.3.4. Flexibility Factor (FF)
2.3.5. Flexibility Index (FI)
2.3.6. Shifted Flexible Load (Sflex)
2.3.7. Self-Consumption Rate (SCR) and Autarky Rate (AR)
2.4. Control Strategies and Evaluation Criteria
- no photovoltaic system
- small photovoltaic system: PV yield can cover the annual electricity demand of the heat pump (3 kWp: yield 2950 kWh/y, demand: 2700 kWh/y)
- large photovoltaic system: system of the real building (20 kWp: 18590 kWh/y)
2.5. Numerical Setup
3. Results and Analysis
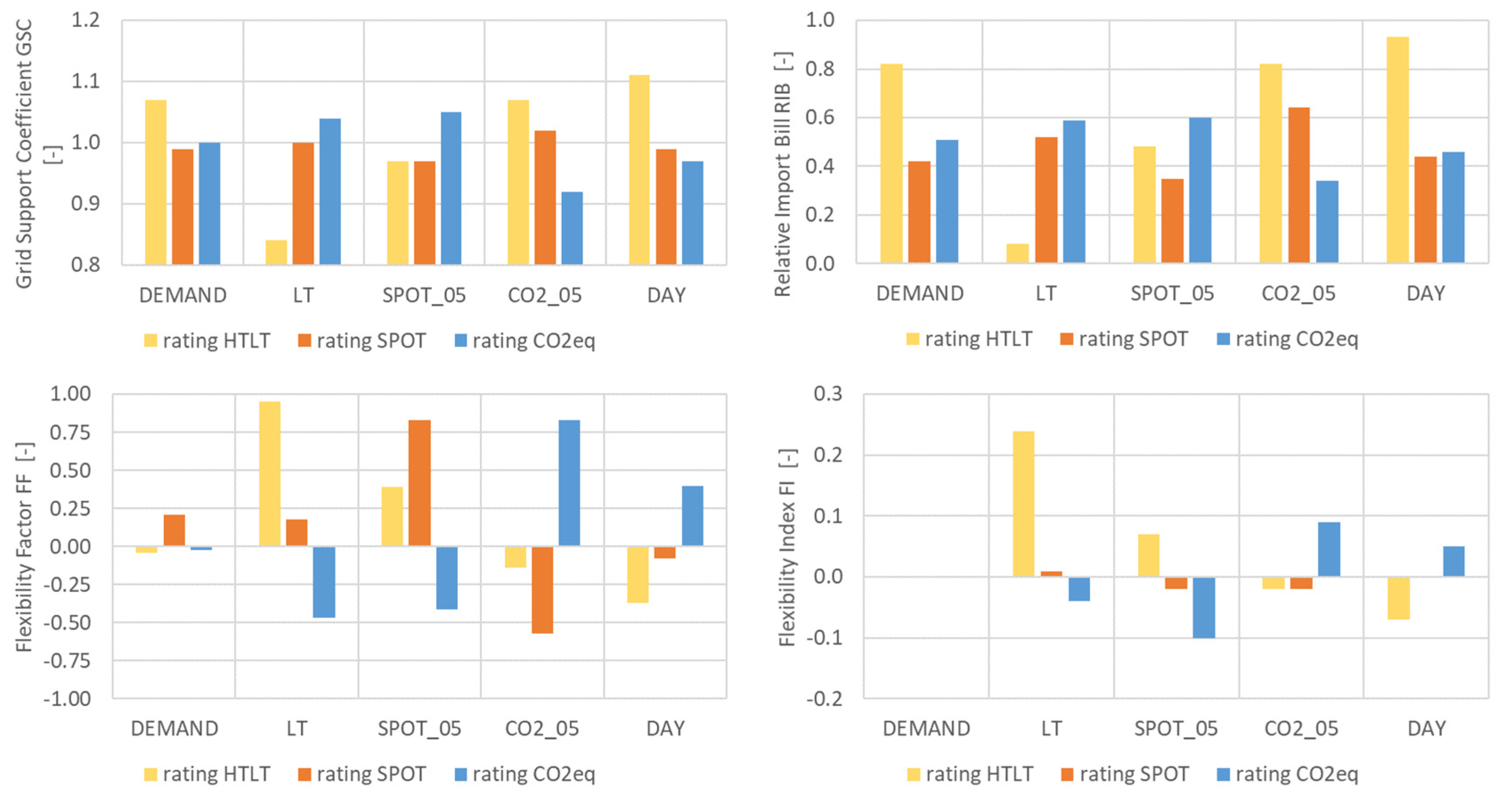
3.1. Without a Photovoltaic System
- DEMAND: GSC and RIB show that the energy consumption is more often in times with hight than in low tariff (yellow, GSC > 1, RIB > 0.5). High and low tariffs are counterbalanced in FF (FF ≈ 0). The SPOT and CO2eq rating is nearly counterbalanced with a slight tendency towards low tariffs (orange/blue, GSC ≈ 1, RIB ≈ 0.5 and FF ≈ 0).
- LT and SPOT_05: rated with HTLT and SPOT the consumption shifts mainly to lower prices but this increases the CO2eq emissions compared to DEMAND.
- CO2_05 and DAY: the consumption increases with rating HTLT and SPOT but decreases with rating CO2eq.
3.2. With a Photovoltaic System
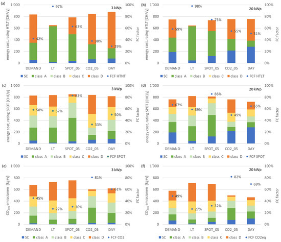
- The 3 kWp system shows a low SCR and AR because of a low yield, particularly in winter.
- The high yield of a 20 kWp system results in a low SCR but clearly in a high AR.
4. Discussion and Further Development
4.1. Flexibility Factors
4.2. Flexibility Classification (FC)
4.2.1. Introduction
4.2.2. Application without Photovoltaic System
4.2.3. Application with Photovoltaic System
4.3. Generalization of Flexibility Factors and Classification
5. Conclusions and Future Work
Author Contributions
Funding
Conflicts of Interest
References and Notes
- Masson-Delmotte, V.; Zhai, P.; Pörtner, H.-O.; Roberts, D.; Skea, J.; Shukla, P.R.; Pirani, A.; Moufouma-Okia, W.; Péan, C.; Pidcock, R.; et al. “Summary for Policymakers”, in Global Warming of 1.5 °C; An IPCC Special Report on the Impacts of Global Warming of 1.5 °C above Pre-Industrial Levels and Related Global Greenhouse Gas Emission Pathways, in the Context of Strengthening the Global Response to the Threat of Climate Change; World Meteorological Organization: Geneva, Switzerland, 2018. [Google Scholar]
- European Commission. EU Climate Action and the European Green Deal. Available online: https://ec.europa.eu/clima/policies/eu-climate-action_en (accessed on 22 December 2020).
- Denholm, P.; Hand, M. Grid flexibility and storage required to achieve very high penetration of variable renewable electricity. Energy Policy 2011, 39, 1817–1830. [Google Scholar] [CrossRef]
- EHPA. European Heat Pump Market Overview. Available online: https://www.ehpa.org (accessed on 22 December 2020).
- IEA. Renewables 2019—Market Analysis and Forecast from 2019 to 2024. Available online: https://www.iea.org/reports/renewables-2019 (accessed on 22 December 2020).
- D’hulst, R.; Labeeuw, W.; Beusen, B.; Claessens, S.; Deconinck, G.; Vanthournout, K. Demand response flexibility and flexibility potential of residential smart appliances: Experiences from large pilot test in Belgium. Appl. Energy 2015, 155, 79–90. [Google Scholar] [CrossRef]
- Arteconi, A.; Hewitt, N.J.; Polonara, F. State of the art of thermal storage for demand-side management. Appl. Energy 2012, 93, 371–389. [Google Scholar] [CrossRef]
- Hall, M.; Dorusch, F.; Geissler, A. Optimierung des Eigenverbrauchs, der Eigendeckungsrate und der Netzbelastung von einem Mehrfamiliengebäude mit Elektromobilität. Bauphysik 2014, 36, 117–129. [Google Scholar] [CrossRef]
- Schuetz, P.; Gwerder, D.; Gasser, L.; Fischer, L.; Wellig, B.; Worlitschek, J. Thermal storage improves flexibility of residential heating systems for smart grids. In Proceedings of the 12th IEA Heat Pump Conference, Rotterdam, The Netherlands, 15–18 May 2017; pp. 1–9. [Google Scholar]
- Le Dréau, J.; Heiselberg, P. Energy flexibility of residential buildings using short term heat storage in the thermal mass. Energy 2016, 111, 991–1002. [Google Scholar] [CrossRef]
- Six, D.; Desmedt, J.; Vanhoudt, D.; van Bael, J. Exploring the flexibility potential of residential heat pumps combined with thermal energy storage for smart grids. In Proceedings of the 21th International Conference on Electricity Distribution, Frankfurt, Germany, 6–9 June 2011; pp. 1–4. [Google Scholar]
- Finck, C.; Li, R.; Kramer, R.; Zeiler, W. Quantifying demand flexibility of power-to-heat and thermal energy storage in the control of building heating systems. Appl. Energy 2017, 209, 409–425. [Google Scholar] [CrossRef]
- Johra, H.; Heiselberg, P. Influence of internal thermal mass on the indoor thermal dynamics and integration of phase change materials in furniture for building energy storage: A review. Renew. Sustain. Energy Rev. 2017, 69, 19–32. [Google Scholar] [CrossRef]
- Johra, H.; Heiselberg, P.; Le Dréau, J. Influence of envelope, structural thermal mass and indoor content on the building heating energy flexibility. Energy Build. 2019, 183, 325–339. [Google Scholar] [CrossRef]
- Weiss, T. Energy Flexible Buildings—The impact of building design on energy flexibility. IOP Conf. Ser. Earth Environ. Sci. 2019, 323, 012009. [Google Scholar] [CrossRef]
- Koskela, J.; Rautiainen, A.; Järventausta, P. Using electrical energy storage in residential buildings—Sizing of battery and photovoltaic panels based on electricity cost optimization. Appl. Energy 2019, 239, 1175–1189. [Google Scholar] [CrossRef]
- Turner, W.J.N.; Walker, I.S.; Roux, J. Peak load reductions: Electric load shifting with mechanical pre-cooling of residential buildings with low thermal mass. Energy 2015, 82, 1057–1067. [Google Scholar] [CrossRef]
- Klein, K.; Herkel, S.; Henning, H.M.; Felsmann, C. Load shifting using the heating and cooling system of an office building: Quantitative potential evaluation for different flexibility and storage options. Appl. Energy 2017, 203, 917–937. [Google Scholar] [CrossRef]
- Lopes, R.A.; Chambel, A.; Neves, J.; Aelenei, D.; Martins, J. A literature review of methodologies used to assess the energy flexibility of buildings. Energy Procedia 2016, 91, 1053–1058. [Google Scholar] [CrossRef] [Green Version]
- International Energy Agency (IEA). EBC Annex 67. In Examples of Energy Flexibility in Buildings; International Energy Agency: Paris, France, 2019. [Google Scholar]
- International Energy Agency (IEA). EBC Annex 67. In Control Strategies and Algorithms for Obtaining Energy Flexibility in Buildings; International Energy Agency: Paris, France, 2019. [Google Scholar]
- Li, H.; Wang, Z.; Hong, T.; Piette, M.A. Energy flexibility of residential buildings: A systematic review of characterization and quantification methods and applications. Adv. Appl. Energy 2021, 3, 100054. [Google Scholar] [CrossRef]
- International Energy Agency (IEA). EBC Annex 67. In Energy Flexible Buildings; International Energy Agency: Paris, France, 2019; Available online: http://annex67.org/ (accessed on 4 January 2020).
- Reynders, G.; Amaral Lopes, R.; Marszal-Pomianowska, A.; Aelenei, D.; Martins, J.; Saelens, D. Energy flexible buildings: An evaluation of definitions and quantification methodologies applied to thermal storage. Energy Build. 2018, 166, 372–390. [Google Scholar] [CrossRef]
- Johra, H.; Marszal-Pomianowska, A.; Ellingsgaard, J.R.; Liu, M. Building energy flexibility: A sensitivity analysis and key performance indicator comparison. J. Phys. Conf. Ser. 2019, 1343, 012064. [Google Scholar] [CrossRef]
- Vigna, I.; Pernetti, R.; Pasut, W.; Lollini, R. New domain for promoting energy efficiency: Energy flexible building cluster. Sustain. Cities Soc. 2018, 38, 526–533. [Google Scholar] [CrossRef]
- Wang, A.; Li, R.; You, S. Development of a data driven approach to explore the energy flexibility potential of building clusters. Appl. Energy 2018, 232, 89–100. [Google Scholar] [CrossRef]
- Dar, U.I.; Sartori, I.; Georges, L.; Novakovic, V. Advanced control of heat pumps for improved flexibility of Net-ZEB towards the grid. Energy Build. 2014, 69, 74–84. [Google Scholar] [CrossRef]
- Hall, M.; Geissler, A. Netzbelastung durch Nullenergiegebäude; Schlussbericht BFE SI/500217; Bundesamt für Energie: Bern, Switzerland, 2014. [Google Scholar]
- Hall, M.; Geissler, A. Optimization of concurrency of PV-generation and energy demand by a heat pump—Comparison of a monitored building and simulation data. In Proceedings of the CISBAT 2015 International Conference Future Buildings and Districts—Sustainability from Nano to Urban Scale, Lausanne, Switzerland, 9–11 September 2015; pp. 573–578. [Google Scholar]
- Hall, M.; Geissler, A. Einfluss der Wärmespeicherfähigkeit auf die energetische Flexibilität von Gebäuden. Bauphysik 2015, 37, 115–123. [Google Scholar] [CrossRef]
- SIA 2024. In Raumnutzungsdaten für die Energie- und Gebäudetechnik; Schweizerischer Ingenieur- und Architektenverein: Zürich, Switzerland, 2015.
- CTA AG. Technical Data for Optiheat Inverta Energy Compact, OH 9ec; 2018.
- Kelly, N.J.; Cockroft, J. Analysis of retrofit air source heat pump performance: Results from detailed simulations and comparison to field trial data. Energy Build. 2011, 43, 239–245. [Google Scholar] [CrossRef] [Green Version]
- Hoffmann, C.; Hall, M.; Geissler, A. Quantifying thermal flexibility of multi-family and office buildings. In Proceedings of the 4th BPSA-England Conference on Building Simulation and Optimization, Cambridge, UK, 11–12 September 2018; pp. 230–236. [Google Scholar]
- SN EN ISO 13786:2007. In Wärmetechnisches Verhalten von Bauteilen. Dynamisch—Thermische Kenngrössen—Berechnungsverfahren (ISO 13786:2007); Schweizerischer Ingenieur- und Architektenverein: Zürich, Switzerland, 2007.
- SIA 2028. In Klimadaten für Bauphysik, Energie- und Gebäudetechnik; Schweizerischer Ingenieur- und Architektenverein: Zürich, Switzerland, 2010.
- Kelly, N.; Samuel, A.; Tuohly, P. The Effect of Hot Water Use Patterns on Heating Load and Demand Shifting Opportunities; Building Performance Simulation Association: Bruges, Belgium, 2015; pp. 1298–1305. [Google Scholar]
- Industrielle Werke Basel. Stromtarife 2020 Inkl. MwSt. Available online: https://www.iwb.ch/Fuer-Zuhause/Strom/Stromtarife.html (accessed on 30 April 2020).
- EPEX SPOT Market DATA. Intraday Auctions Data De 2015.
- Vuarnoz, D.; Jusselme, T. Data in Brief Dataset concerning the hourly conversion factors for the cumulative energy demand and its non-renewable part, and hourly GHG emission factors of the Swiss mix during a one year period (2015–2016). Data Brief 2018, 21, 1026–1028. [Google Scholar] [CrossRef] [PubMed]
- Junker, R.G.; Azar, A.G.; Lopes, R.A.; Lindberg, K.B.; Reynders, G.; Relan, R.; Madsen, H. Characterizing the energy flexibility of buildings and districts. Appl. Energy 2018, 225, 175–182. [Google Scholar] [CrossRef]
- Weiss, T.; Rüdisser, D.; Reynders, G. Tool to Evaluate the Energy Flexibility in Builings—A Short Manual; International Energy Agency: Paris, France, 2019. [Google Scholar]
- Hall, M.; Geissler, A. Comparison of flexibility factors for a residential building. J. Phys. Conf. Ser. 2021, 2042, 012036. [Google Scholar] [CrossRef]
- Clarke, J. Energy Systems Research Unit—ESP-r. Available online: https://www.strath.ac.uk/research/energysystemsresearchunit/applications/esp-r/ (accessed on 10 December 2021).
- Statistika. Haushaltsstrompreis in der Schweiz. 2019. Available online: https://de.statista.com/statistik/daten/studie/329740/umfrage/haushaltstrompreis-in-der-schweiz/ (accessed on 24 October 2019).
- SIA 380. Grundlagen für energetische Berechnungen von Gebäuden; Schweizerischer Ingenieur- und Architektenverein: Zürich, Switzerland, 2015. [Google Scholar]











| Property | Value |
|---|---|
| U-value, ext. walls | 0.12 W/(m2 K) |
| U-value roof | 0.09 W/(m2 K) |
| U-value floor | 0.10 W/(m2 K) |
| U-value windows | 0.75 W/(m2 K) |
| g-value, windows | 50% |
| Glazed part of wall (area rated) | 23% |
| Solar control (blinds) | Not applicable |
| Shading (surrounding buildings) | yes |
| Thermal capacity (with Rsi), [36] | 63 Wh/(m2NetFloorArea K) |
| Const. air exchange rate (mech. ventilation) | 0.39 h−1 |
| Climate, [37] | DRY Buchs-Aarau (CH) |
| Rariff | Electric Energy [Rp/kWh] | Levies [Rp/kWh] | Total [Rp/kWh] |
|---|---|---|---|
| Hight tariff Monday–Friday 6 a.m.–8 p.m. | 8.80 | 27.99 | 36.79 |
| Low tariff all other times | 7.15 | 15.35 | 22.50 |
| Flat tariff (24/7) | 7.95 | 26.30 | 34.25 |
| feed in tariff for PV yield | - | - | 14.00 |
| Flexibility Characteristics | Valid Range | Grid Supportiv, if… | Which Values are Needed? |
|---|---|---|---|
| GSC | >0 | <1 | Values of electricity/penalty (time step), daily sum of electricity, daily mean value of penalty |
| RIB | 0–1 | Low value | Values of electricity (time step), lowest/highest daily penalty signal |
| FF | −1–1 | High value | Values of electricity (time step), first/forth quartile of daily penalty |
| FI | ≤1 | High pos. value, neg. value = worsening | Values of electricity/penalty (time step), base and penalty-controlled case |
| Sflex | 0–1 | High value | Values of electricity (time step), base and penalty-controlled case |
| SCR | 0–1 | High value | Values of electricity and PV yield (time step), daily sum of PV yield |
| AR | 0–1 | High value | Values of electricity and PV yield (time step), daily sum of electricity |
| Penalty Signal | Allowed Operation Times for Heat Pump (without Block Times for Domestic Hot Water) | Block Times for Domestic Hot Water |
|---|---|---|
| DEMAND | On demand (base case) | 5–6 a.m., 1–3 p.m. |
| LT | Low tariff only, this excludes Monday to Friday 6 a.m.–8 p.m. | 4–6 a.m., 8–9 p.m. |
| SPOT_05 | When spot market price ≤ daily mean price | 2–4 a.m, 2–3 p.m. |
| CO2_05 | When CO2eq emission coefficient ≤ daily mean coefficient | 8–9 a.m., 6–8 p.m. |
| DAY | Block time during daytime: 7 a.m.–6 p.m. | 5–6 a.m., 1–3 p.m. |
| Class | Energy Consumption When | Quartile |
|---|---|---|
| A | price lower ≤ 25% of all prices during one day | q1 |
| B | price between 25% and ≤50% of all prices during one day | q2 |
| C | price between 50% and ≤75% of all prices during one day | q3 |
| D | price > 75% of all prices during one day | >q3 |
Publisher’s Note: MDPI stays neutral with regard to jurisdictional claims in published maps and institutional affiliations. |
© 2021 by the authors. Licensee MDPI, Basel, Switzerland. This article is an open access article distributed under the terms and conditions of the Creative Commons Attribution (CC BY) license (https://creativecommons.org/licenses/by/4.0/).
Share and Cite
Hall, M.; Geissler, A. Comparison of Flexibility Factors and Introduction of A Flexibility Classification Using Advanced Heat Pump Control. Energies 2021, 14, 8391. https://doi.org/10.3390/en14248391
Hall M, Geissler A. Comparison of Flexibility Factors and Introduction of A Flexibility Classification Using Advanced Heat Pump Control. Energies. 2021; 14(24):8391. https://doi.org/10.3390/en14248391
Chicago/Turabian StyleHall, Monika, and Achim Geissler. 2021. "Comparison of Flexibility Factors and Introduction of A Flexibility Classification Using Advanced Heat Pump Control" Energies 14, no. 24: 8391. https://doi.org/10.3390/en14248391
APA StyleHall, M., & Geissler, A. (2021). Comparison of Flexibility Factors and Introduction of A Flexibility Classification Using Advanced Heat Pump Control. Energies, 14(24), 8391. https://doi.org/10.3390/en14248391

