Influence of Uneven Secondary Air Supply and Burner Tilt on Flow Pattern, Heat Transfer, and NOx Emissions in a 500 MWe Tangential-Firing Coal Boiler
Abstract
:1. Introduction
2. Numerical Methods
2.1. Target Boiler
2.2. Actual Operation Cases
2.3. Simulated Cases for Parametric Study
2.4. Numerical Methods
3. Results and Discussion
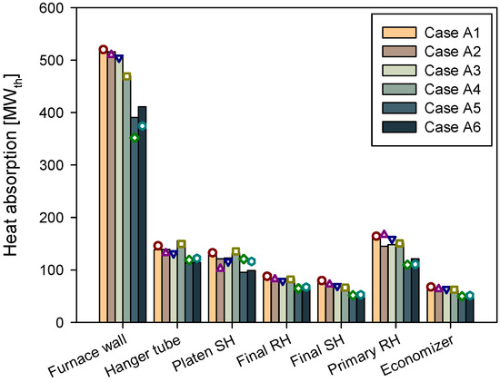
3.1. Validation of Computational Fluid Dynamics (CFD) Simulations for Actual Operation Cases
3.2. Parametric Study: Influence on Flow Pattern and Temperature Distribution
3.3. Parametric Study: Influence on Wall Heat Flux
3.4. Parametric Study: Influence on Chemical Reactions and NOx Emission
4. Conclusions
- The characteristic axisymmetric flow pattern of the TF boiler formed by the jets from the corners was distorted by the uneven SA supply. The SA ratio of 1.3 induced approximately 20% and 4% deviations from axisymmetry in the flow and temperature, respectively. The deviations increased to approximately 30% and 6%, respectively, for an SA ratio of 1.7.
- With stronger SA jets from the left windbox pushing the fireball closer to the front and right walls, the heat flux on the two walls was concentrated by up to 19% more than that on the other walls. This also increased the heat absorption on the wall (evaporator) by up to 20.9 MWth (0.94% of the thermal input), lowering the heat absorption in the convective heat exchangers correspondingly.
- Despite the larger heat transfer to the walls, the peak gas temperature on the FEGT level also increased by as much as 60 °C because of the large temperature deviations which may lead to severe ash slagging.
- The disruption in the local reaction stoichiometry increased the NOx emissions by 6.7% on average. The air-rich pockets had increased fuel NO formation, whereas the fuel-rich pockets had delayed char conversion, leading to a late release of NO.
- In alleviating the impact of the uneven SA supply on the uniformity of flow pattern, temperature, and heat transfer, the high burner tilt of +26° was helpful whereas +15° was found to be the least favorable.
- Even with the uneven SA supply, the burner tilt provided a consistent influence on the boiler performance including the heat distribution between heat exchangers, the carbon conversion, and NOx emission. This implies that the burner tilt can be controlled to 0° or lower if the NOx emission needs to be reduced.
Supplementary Materials
Author Contributions
Funding
Acknowledgments
Conflicts of Interest
Nomenclature
| Symbols | Greek Symbols | ||
| A | Pre-exponential factor [s−1], Magnussen constant | ε | Porosity of the ash layer, Turbulent dissipation |
| B | Magnussen constant | ρ | Density [kg/m3] |
| d | Diameter [cm] | ν | Stoichiometric coefficient |
| E | Activation energy [kJ/kmol] | ||
| G | Mass velocity [kg/m2·s] | Subscripts | |
| Keq | Chemical equilibrium constant | char | Unreacted char core |
| k | Reaction rate [g⋅cm−2⋅atm−1⋅s−1], Turbulent kinetic energy [m2⋅s−2] | diff | Diffusion rate |
| dash | Diffusion rate in the ash-layer | ||
| P | Pressure [atm] | i | Index of gasification reaction |
| R | Universal gas constant, Reaction rate of char [g⋅cm−2⋅s−1] | o | Initial |
| p | Particle | ||
| T | Temperature [K] | t | Total pressure |
| V | Volatile matter [kg] | R | Reactant |
| Y | Char core to particle diameter ratio, Mass fraction | P | Product |
| M | Molecular weight | ||
References
- Bozzuto, C. Clean Combustion Technologies: A Reference Book on Steam Generation and Emissions Control, 5th ed.; ALSTOM: Windsor, CT, USA, 2009. [Google Scholar]
- Laubscher, R.; Rousseau, P. Numerical investigation on the impact of variable particle radiation properties on the heat transfer in high ash pulverized coal boiler through co-simulation. Energy 2020, 195, 117006. [Google Scholar] [CrossRef]
- Sorrentino, G.; Ceriello, G.; De Joannon, M.; Sabia, P.; Ragucci, R.; Van Oijen, J.; Cavaliere, A.; De Goey, L.P.H. Numerical investigation of moderate or intense low-oxygen dilution combustion in a cyclonic burner using a flamelet-generated manifold approach. Energy Fuels 2018, 32, 10242–10255. [Google Scholar] [CrossRef] [Green Version]
- Johansson, R.; Andersson, K.; Leckner, B.; Thunman, H. Models for gaseous radiative heat transfer applied to oxy-fuel conditions in boilers. Int. J. Heat Mass Transf. 2010, 53, 220–230. [Google Scholar] [CrossRef]
- Yin, C.; Johansen, L.C.R.; Rosendahl, L.A.; Kær, S.K. New weighted sum of gray gases model applicable to computational fluid dynamics (CFD) modeling of oxy-fuel combustion: Derivation, validation, and implementation. Energy Fuels 2010, 24, 6275–6282. [Google Scholar] [CrossRef]
- Yin, C. On gas and particle radiation in pulverized fuel combustion furnaces. Appl. Energy 2015, 157, 554–561. [Google Scholar] [CrossRef]
- Tan, P.; Tian, D.; Fang, Q.; Ma, L.; Zhang, C.; Chen, G.; Zhong, L.; Zhang, H. Effects of burner tilt angle on the combustion and NOx emission characteristics of a 700 MWe deep-air-staged tangentially pulverized-coal-fired boiler. Fuel 2017, 196, 314–324. [Google Scholar] [CrossRef]
- Yu, C.; Xiong, W.; Ma, H.; Zhou, J.; Si, F.; Jiang, X.; Fang, X. Numerical investigation of combustion optimization in a tangential firing boiler considering steam tube overheating. Appl. Therm. Eng. 2019, 154, 87–101. [Google Scholar] [CrossRef]
- Chang, J.; Wang, X.; Zhou, Z.; Chen, H.; Niu, Y. CFD modeling of hydrodynamics, combustion and NOx emission in a tangentially fired pulverized-coal boiler at low load operating conditions. Adv. Powder. Technol. 2021, 32, 290–303. [Google Scholar] [CrossRef]
- Tian, D.; Zhong, L.; Tan, P.; Ma, L.; Fang, Q.; Zhang, C.; Zhang, D.; Chen, G. Influence of vertical burner tilt angle on the gas temperature deviation in a 700 MW low NOx tangentially fired pulverized-coal boiler. Fuel Process. Technol. 2015, 138, 616–628. [Google Scholar] [CrossRef]
- Park, H.Y.; Baek, S.H.; Kim, Y.J.; Kim, T.H.; Kang, D.S.; Kim, D.W. Numerical and experimental investigations on the gas temperature deviation in a large scale, advanced low NOx, tangentially fired pulverized coal boiler. Fuel 2013, 104, 641–646. [Google Scholar] [CrossRef]
- Yao, Z.; Liu, J.; Qiu, Z.; Pan, W.; Wu, Z. Numerical investigation of 700 °C boiler flue gas thermal deviation based on orthogonal experiment. Fuel 2021, 295, 120510. [Google Scholar] [CrossRef]
- Wu, X.; Fan, W.; Liu, Y.; Bian, B. Numerical simulation research on the unique thermal deviation in a 1000 MW tower type boiler. Energy 2019, 173, 1006–1020. [Google Scholar] [CrossRef]
- Xu, L.; Huang, Y.; Zou, L.; Yue, J.; Wang, J.; Liu, C.; Liu, L.; Dong, L. Experimental research of mitigation strategy for high-temperature corrosion of waterwall fireside in a 630 MWe tangentially fired utility boiler based on combustion adjustments. Fuel Process. Technol. 2019, 188, 1–15. [Google Scholar] [CrossRef]
- Jo, H.; Kang, K.; Park, J.; Ryu, C.; Ahn, H.; Go, Y. Optimization of air distribution to reduce NOx emission and unburned carbon for the retrofit of a 500 MWe tangential-firing coal boiler. Energies 2019, 12, 3281. [Google Scholar] [CrossRef] [Green Version]
- Jiang, Y.; Ahn, S.; Oh, D.H.; Lee, B.H.; Jeon, C.H. Optimization of separated overfire air to reduce NOx emissions under combustion stability for the retrofit of a 500 MW tangentially pulverized coal boiler. Fuel 2021, 289, 119764. [Google Scholar] [CrossRef]
- Liu, X.; Zhang, J.; Tan, H.; Mo, Q.; Wang, X.; Wang, Y. Numerical and experimental study on co-firing of low volatile coal in a 330 MW tangentially fired boiler. J. Energy Inst. 2021, 96, 242–250. [Google Scholar] [CrossRef]
- Jiang, Y.; Park, K.H.; Jeon, C.H. Feasibility study of co-firing of torrefied empty fruit bunch and coal through boiler simulation. Energies 2020, 13, 3051. [Google Scholar] [CrossRef]
- Wang, P.; Wang, C.; Du, Y.; Feng, Q.; Wang, Z.; Yao, W.; Liu, J.; Zhang, J.; Che, D. Experiments and simulation on co-combustion of semicoke and coal in a full-scale tangentially fired utility boiler. Energy Fuels 2019, 33, 3012–3027. [Google Scholar] [CrossRef]
- Tan, P.; Fang, Q.; Zhao, S.; Yin, C.; Zhang, C.; Zhao, H.; Chen, G. Causes and mitigation of gas temperature deviation in tangentially fired tower-type boilers. Appl. Therm. Eng. 2018, 139, 135–143. [Google Scholar] [CrossRef]
- Zhao, S.; Fang, Q.; Yin, C.; Wei, T.; Wang, H.; Zhang, C.; Chen, G. New fuel air control strategy for reducing NOx emissions from corner-fired utility boilers at medium–low loads. Energy Fuels 2017, 31, 6689–6699. [Google Scholar] [CrossRef]
- Jo, H.; Kang, K.; Park, J.; Ryu, C.; Ahn, H.; Go, Y. Detailed assessment of mesh sensitivity for CFD simulation of coal combustion in a tangential-firing boiler. J. Mech. Sci. Technol. 2020, 34, 917–930. [Google Scholar] [CrossRef]
- ANSYS Inc. ANSYS Fluent User Guide; ANSYS Inc.: Cannonsburg, PA, USA, 2016. [Google Scholar]
- Shih, T.H.; Liou, W.W.; Shabbir, A.; Yang, Z.; Zhu, J. A new k-ε eddy-viscosity model for high Reynolds number turbulent flows—model development and validation. Comput. Fluids 1995, 24, 227–238. [Google Scholar] [CrossRef]
- Chui, E.H.; Raithby, G.D. Computation of radiant heat transfer on a nonorthogonal mesh using the finite-volume method. Numer. Heat Transf. Part B 1993, 23, 269–288. [Google Scholar] [CrossRef]
- Fordoei, E.E.; Mazaheri, K. Numerical study of chemical kinetics and radiation heat transfer characteristics on the temperature distribution in the oxy-fuel combustion. Heat Mass Transf. 2019, 55, 2025–2036. [Google Scholar] [CrossRef]
- Krishnamoorthy, G. A computationally efficient P1 radiation model for modern combustion systems utilizing pre-conditioned conjugate gradient methods. Appl. Therm. Eng. 2017, 119, 197–206. [Google Scholar] [CrossRef] [Green Version]
- Smith, T.F.; Shen, Z.F.; Friedman, J.N. Evaluation of coefficients for the weighted sum of gray gases model. J. Heat Transfer 1982, 104, 602–608. [Google Scholar] [CrossRef]
- Niksa, S. PC Coal Lab Version 4.1: User Guide and Tutorial; Niksa Energy Associates LLC: Belmont, CA, USA, 1997. [Google Scholar]
- Wen, C.Y.; Chaung, T.Z. Entrainment coal Gasification Modeling, Industrial and engineering chemistry process design and development. Ind. Eng. Chem. Process Des. Dev. 1979, 10, 684–695. [Google Scholar] [CrossRef]
- Jones, W.P.; Lindstedt, R.P. Global reaction schemes for hydrocarbon combustion. Combust. Flame 1988, 73, 233–249. [Google Scholar] [CrossRef]
- Smoot, L.D.; Smith, P.J. Coal Combustion and Gasification; Plenum Press: New York, NY, USA, 1985. [Google Scholar]
- Magnussen, B.F.; Hjertager, B.H. On mathematical models of turbulent combustion with special emphasis on soot formation and combustion. Proc. Combust. Inst. 1977, 16, 719–729. [Google Scholar] [CrossRef]
- Hanson, R.K.; Salimian, S. Survey of Rate Constants in H/N/O Systems. In Combustion Chemistry; Gardiner, W.C., Ed.; Springer: New York, NY, USA, 1984; pp. 361–421. [Google Scholar]
- De Soete, G.G. Overall reaction rates of NO and N2 formation from fuel nitrogen. Proc. Combust. Inst. 1975, 15, 1093–1102. [Google Scholar] [CrossRef]
- Park, H.Y.; Lee, J.E.; Kim, H.H.; Park, S.; Beak, S.H.; Ye, I.; Ryu, C. Thermal resistance by slagging and its relationship with ash properties for six coal blends in a commercial coal-fired boiler. Fuel 2019, 235, 1377–1386. [Google Scholar] [CrossRef]
- Park, J.K.; Park, S.; Kim, M.K.; Ryu, C.; Baek, S.H.; Kim, Y.J.; Kim, H.H.; Park, H.Y. CFD analysis of combustion characteristics for fuel switching to bioliquid in oil-fired power plant. Fuel 2015, 159, 324–333. [Google Scholar] [CrossRef]
- Jameel, A.G.A.; Dahiphale, C.; Alquaity, A.B.; Zahid, U.; Jayanti, S. Numerical simulation of coal combustion in a tangential pulverized boiler: Effect of burner vertical tilt angle. Arabian J. Sci. Eng. 2021. [Google Scholar] [CrossRef]














| Case | A1 | A2 | A3 | A4 | A5 | A6 | |
|---|---|---|---|---|---|---|---|
| SA Ratio between Corners, (#1 + #2)/(#3 + #4) | 1 | 1.39 | 1.36 | 1.33 | 1.71 | 1.93 | |
| Turbine Output [MWe] | 487 | 460 | 459 | 460 | 357 | 365 | |
| Burner Tilt Angle [°] | −2 | −15 | 1 | 26 | 26 | 26 | |
| Stoichiometric Ratio | Overall | 1.14 | 1.15 | 1.15 | 1.15 | 1.21 | 1.21 |
| Burner Zone | 0.97 | 0.97 | 0.97 | 0.97 | 0.97 | 0.97 | |
| Parameter | Values | |
|---|---|---|
| SA Ratio Between Corners, (#1 + #2)/(#3 + #4) | 1.0, 1.3, 1.7, 1.9 | |
| Burner Tilt Angle | −15°, 0°, +15°, +26° | |
| Fixed (Based on Case A2) | Coal Properties | Total moisture 15.5, Ash 9.3 wt.%wet, C 74.5, H 4.3, O 8.9, N 1.8, S 0.4 wt.%daf, HHV 5932 kcal/kg |
| Coal Throughput | 50.4 kg/s | |
| Stoichiometric Ratio | Overall 1.15, Burner zone 0.97 | |
| Air Supply | PA 98.0 kg/s (62.3 °C), SA 386.8 kg/s (294.2 °C) | |
| Category | Submodels |
|---|---|
| Coal Combustion |
- Devolatilization: FLASHCHAIN [29] (See Table S3 for the details of individual coals) Dry coal → Volatiles + C(s)(Char) Composition of volatiles: Tar, CO, CO2, H2O, H2, CH4, and CxHy Devolatilization rate: - Char combustion: unreacted core shrinking model [30] (R1) C(s) + 0.5 O2 → CO (R2) C(s) + H2O → CO + H2 (R3) C(s) + CO2 → 2 CO |
| Species, Gas Reaction | - Species: Tar, CO, CO2, H2, CH4, CxHy, H2, SO2, O2, N2 - Reaction mechanism [31,32] (R4) CxHyOz (tar) + a O2 → x CO + 0.5y H2 (R5) CnHm + 0.5n O2 → n CO + 0.5m H2 (R6) CnHm + 0.5n H2O → n CO + 0.5(m + n) H2 (R7) CH4 + 0.5 O2 → CO + 2 H2 (R8) CH4 + 0.5 H2O → CO + 2.5 H2 (R9) CO + H2O → CO2 + H2 (R10) H2 + 0.5 O2 → H2O - Reaction rate: finite-rate/eddy-dissipation model [33] |
| Discrete Phase | - Lagrangian scheme with stochastic tracking for turbulence - Number of particles: 49,560 - Particle size: 5.88–204 μm |
| NOx | - Thermal NOx: Extended Zeldovich mechanism [34] - Fuel NOx: De Soete [35] - Volatile-N intermediates: HCN 83.33%, NH3 16.67% |
| Case | A1 | A2 | A3 | A4 | A5 | A6 | ||
|---|---|---|---|---|---|---|---|---|
| O2 (%dry) | Measured | Left | 2.48 | 2.49 | 2.6 | 3.03 | 3.51 | 3.49 |
| Right | 2.74 | 3.18 | 2.97 | 2.51 | 3.92 | 3.82 | ||
| Average | 2.61 | 2.83 | 2.79 | 2.77 | 3.71 | 3.66 | ||
| Predicted | Left | 2.68 | 2.49 | 1.98 | 2.28 | 2.89 | 2.93 | |
| Right | 2.67 | 3.21 | 3.64 | 3.29 | 4.58 | 4.39 | ||
| Average | 2.67 | 2.85 | 2.81 | 2.79 | 3.73 | 3.66 | ||
| NOx (ppm, 6% O2) | Measured | 153 | 190 | 223 | 165 | 100 | 98 | |
| Predicted | 111 | 194 | 188 | 147 | 97 | 109 | ||
Publisher’s Note: MDPI stays neutral with regard to jurisdictional claims in published maps and institutional affiliations. |
© 2021 by the authors. Licensee MDPI, Basel, Switzerland. This article is an open access article distributed under the terms and conditions of the Creative Commons Attribution (CC BY) license (https://creativecommons.org/licenses/by/4.0/).
Share and Cite
Jo, H.; Park, J.; Kang, W.; Hong, J.; Yoon, S.; Ra, H.; Ryu, C. Influence of Uneven Secondary Air Supply and Burner Tilt on Flow Pattern, Heat Transfer, and NOx Emissions in a 500 MWe Tangential-Firing Coal Boiler. Energies 2021, 14, 8352. https://doi.org/10.3390/en14248352
Jo H, Park J, Kang W, Hong J, Yoon S, Ra H, Ryu C. Influence of Uneven Secondary Air Supply and Burner Tilt on Flow Pattern, Heat Transfer, and NOx Emissions in a 500 MWe Tangential-Firing Coal Boiler. Energies. 2021; 14(24):8352. https://doi.org/10.3390/en14248352
Chicago/Turabian StyleJo, Hyunbin, Jongkeun Park, Woosuk Kang, Junseok Hong, Sungmin Yoon, Howon Ra, and Changkook Ryu. 2021. "Influence of Uneven Secondary Air Supply and Burner Tilt on Flow Pattern, Heat Transfer, and NOx Emissions in a 500 MWe Tangential-Firing Coal Boiler" Energies 14, no. 24: 8352. https://doi.org/10.3390/en14248352
APA StyleJo, H., Park, J., Kang, W., Hong, J., Yoon, S., Ra, H., & Ryu, C. (2021). Influence of Uneven Secondary Air Supply and Burner Tilt on Flow Pattern, Heat Transfer, and NOx Emissions in a 500 MWe Tangential-Firing Coal Boiler. Energies, 14(24), 8352. https://doi.org/10.3390/en14248352

