Next Article in Journal
Sensitivity and Resolution of Controlled-Source Electromagnetic Method for Gas Hydrate Stable Zone
Previous Article in Journal
Evidence from the Changing Carbon Isotopic of Kerogen, Oil, and Gas during Hydrous Pyrolysis from Pinghu Formation, the Xihu Sag, East China Sea Basin
 
 
Font Type:
Arial Georgia Verdana
Font Size:
Aa Aa Aa
Line Spacing:
Column Width:
Background:
Article

Research on Wave Attenuation Performance of Floating Breakwater

1
College of Science & Technology, Ningbo University, Cixi 315300, China
2
Faculty of Mechanical Engineering & Mechanics, Ningbo University, Ningbo 315000, China
*
Authors to whom correspondence should be addressed.
Energies 2021, 14(24), 8316; https://doi.org/10.3390/en14248316
Submission received: 3 November 2021 / Revised: 28 November 2021 / Accepted: 2 December 2021 / Published: 10 December 2021

Abstract

:
In this study, a new type of double-pontoon floating breakwater was designed to improve the wave attenuation performance through the addition of suspended Savonius propeller-blade. Its hydrodynamic characteristics were studied through numerical simulations and performance-testing experiment. The following investigations were performed in this study: Firstly, wave theory and hydrodynamic theory were combined to calculate the wave attenuation performance and motion response of double-pontoon floating breakwater under linear wave conditions. The numerical results showed that the wave attenuation performance was better under a specific wave period and height, the transmission coefficient reached a relatively small value, and the mooring line tension responded periodically and satisfied the condition of maximum breaking force. Secondly, three key geometric parameters of breakwater were researched, including the relative spacing of pontoons, the relative spacing between pontoons and blades, and the height–diameter ratio of Savonius blades. The calculation results showed that the pontoon spacing was closer to the wavelength and the breakwater wave attenuation performance was better. Lastly, experimental tests were also performed on the new double-pontoon floating breakwater and the results showed that the wave attenuation performance and numerical projections were basically the same, which verified the validity and effectiveness of the design method.

1. Introduction

In recent years, the field of floating breakwaters has begun to gradually increase in popularity. Several different types of floating breakwaters have emerged around the world. Scholars in many countries have carried out a great number of numerical simulation modeling and experimental studies on floating breakwater and have made many achievements in this field.
McCartney et al. [1] provided a detailed introduction to—and analysis of—the advantages and disadvantages of four types of floating breakwater: box-type breakwater, floating-box-type breakwater, floating-cushion-type breakwater and mooring-type breakwater. Sannasiraj et al. [2] theoretically and experimentally studied floating breakwaters, and measured the motion response, mooring force and transmission coefficient of floating breakwaters for three different mooring structures. The results showed that the theoretical measurement of mooring force is quite consistent with the actual measurement, and that the effect of the mooring structure on the transmission coefficient is not obvious. Dong, G.H. et al. [3] studied three floating breakwater structures: the single-box structure, the double-box structure and the plate mesh structure. They also conducted two-dimensional physical model tests in a wave-making tank in the laboratory, and measured the wave transmission coefficient of three types of breakwaters under regular waves with or without flow. Based on the preliminary comparison of wave transmission coefficients, a scheme was proposed involving the combination of plate-mesh type breakwaters with cages. Furthermore, a detailed experimental analysis and comparison were carried out on this scheme against several different influencing factors.
Shih et al. [4] studied the effect of high-permeability small-aperture dense pipe on the convection and exchange of seawater. An effective wave attenuation effect could be achieved. Wang et al. [5] studied the wave attenuation performance of a flexible floating breakwater. The floating system in the study of Syed et al. [6] was composed of three connected pontoons. The results showed that the spacing between pontoons is one of the important factors affecting the transmission and reflection coefficients of the floating breakwater system. Rahman et al. [7] concluded that pontoons play an important role in the dissipation of wave energy through the comparison of numerical calculation and physical modeling test results. Wang Mingyu et al. [8] studied the transmission performance of systems of three structures formed by the combination of rectangular boxes and flexible membranes with different layers under the action of regular waves, and studied the effect of the relative width and breadth draft ratio of rectangular boxes, as well as other structural and environmental factors, on the transmission performance. Atilla Bayram et al. [9] studied the main influencing factors on the transmission coefficient of floating breakwaters, and concluded via physical experiments that the changes in the transmission coefficient of floating breakwaters and the changes in the wave period have a great effect, and that the wave height has a minor effect on the transmission coefficient. Wang Peng et al. [10] studied the hydrodynamic property of a new structural breakwater system by virtue of two-dimensional physical wave flume, and carried out physical experiments to determine the effects of wave height on the parameters of the system.
Generally speaking, most scholars designed, tested and optimized floating breakwaters only from the wave transmission, reflection coefficient, motion response and mooring dynamic response without comprehensively considering the key role of tidal current energy and wave energy capture in the construction of offshore protection dike systems. Moreover, the existing wave capture equipment and breakwater facilities are independent of each other. In this paper, a double-pontoon Savonius paddle floating breakwater structure was proposed. This structure not only has a wave-attenuating effect and stability of motion, but also additionally considers the coupling effect of S-shaped blade on the hydrodynamic performance of the breakwater. The motion response, wave diffraction radiation and tension response of mooring system of this new floating breakwater were analyzed on the basis of numerical calculations. Furthermore, its influence on the hydrodynamic results were analyzed based on three key geometric parameters.

2. Numerical Model Design

2.1. Design of Breakwater Parameters

Figure 1 shows the model configuration of floating breakwater in terms of Cartesian coordinates. This model is composed of double pontoons, S-shaped resistance blades and mooring systems. The geometric parameters of the floating body of the breakwater system are shown in Table 1. The second-order Savonius blade is a structure obtained by adding another blade to the traditional Savonius blade. There is a 90° deflection angle between the impellers, and the number of blades changes from two blades to four blades. The S-shaped blades are mainly connected by two-stage blades through hollow tubes with universal joints. In order to improve the rotation efficiency of the blades and reduce the moment of inertia of the blades, HDPE materials are used. The density of HDPE materials is similar to water and can rotate with a small moment of inertia in water. The Savonius blade has a simple structure, low running speed, good starting performance, and can accept water flow from any direction.

2.2. Design of Hydrodynamic Parameters

The hydrodynamic calculation parameters of breakwater floating body are shown in Table 2. The global coordinate system of the whole system is set on the surface of free water and basically coincides with the positions of the center of gravity and the center of buoyancy of the floating body, which ensures the equilibrium stability of the floating body and allows its positive metacentric height to meet the static equilibrium condition. When studying the hydrodynamic performance of flexible breakwaters, it is necessary to consider how to construct a mathematical model of flexible breakwaters. For fluid research, in order to simplify the mathematical model and reduce the complexity of the equation, it is necessary to set a fluid whose viscosity coefficient is constant and incompressible. The calculation equations are mainly based on the Navier Stokes equation and the continuity equation of fluid mechanics, plus the free surface equation. According to the law of conservation of mass in fluid mechanics, it can be considered that the increase in fluid mass per unit time is equal to the net mass inflow in this time period. It can be obtained as shown in Equation (1) [10]:
ρ w u x + ρ w v y + ρ w w z = x μ w x + y μ w y + z μ w z + S
where ρ   is fluid density; t is the time; μ   is fluid viscosity; S is boundary conditions; For the study of flexible breakwaters with S-type blades, the wave height of the flexible breakwater is used as the performance criterion, and the free surface tracking method is a crucial method. The free surface tracking method is a method for studying the propagation and fluctuation of numerical waves on the free surface of numerical water tanks. In the process of numerical simulation, the interface between the water phase and the gas phase in the Eulerian multiphase flow is constantly changing with time. The key to generating waves at the boundary is to calculate the shape of the wave on the free water surface and the relationship between the corresponding position and time change. The water phase and the gas phase are not mixed. The two main methods in the free surface solution are interface tracking and interface computing.

2.3. Design of Mooring System

As shown in Figure 1, the breakwater system adopts the symmetrical mooring of four anchor lines. The safety of flexible breakwaters is largely determined by the stability and reliability of the mooring system. The coordinates of the four mooring points are connected to pontoons. The mooring lines are anchored on the submarine plane at a horizontal distance from each mooring point. The anchor point is perpendicular to the water surface. The cross-arrangement of the anchor chains can relatively reduce the space occupied by the anchor chains, but there are also shortcomings, such as the need to avoid mutual interference between the anchor chains during the arrangement. In complex and changeable sea conditions, in order to avoid the mutual interference of anchor chains and the safety of installation and dismantling, a symmetrical arrangement of anchoring methods is adopted. The material of mooring lines is standard marine twelve-strand nylon rope. Therefore, only the axial stiffness of mooring lines is considered, and its bending and torsional stiffness can be ignored. Moreover, the axial stress–strain relation satisfies Hooke’s Law for Linear Ductile Materials. Since the sections of mooring lines are continuous, only axial stresses are applied. Other key geometric, hydrodynamic and stiffness data are shown in Table 3.

2.4. Wave-Eliminating Computing Methods

The wave velocity potential solution domain of breakwater shown in Figure 2 can be established on the basis of the three-dimensional potential wave theory and the surface element integration method. The incident wave in the x direction passes through the diffraction on the surface of the breakwater and the radiation disturbance caused by the movement of the breakwater, and finally forms a linear superposition of the velocity potential of the three φ I + φ D + φ R behind the breakwater. The computational wet surfaces are divided into: free water surface   S f , seabed boundary   S d , wet surface of pontoon   S p , wet surface of blade   S b and far field boundary   S m . Since the Morison element   S m is a two-point element, its influence on the wave potential is ignored in the three-dimensional potential wave theory. Each computational wet surface should satisfy the corresponding velocity potential boundary conditions and governing equations:
The flexible breakwater makes simple harmonic motion under the action of waves, and the velocity potential of the flow field is [10]:
ϕ x , y , z , t = ϕ I x , y , z , t + ϕ d x , y , z , t + ϕ R x , y , z , t
where   ϕ I   is the incident wave velocity potential of the wave; ϕ d   is the diffraction potential caused by incident waves passing through the breakwater. ϕ R is the radiation potential generated by swaying motion in still water of breakwater.
Waves will interact with ocean structures and will vibrate to a certain extent. Therefore, when choosing a turbulence model, choose the RNG model. It is a mathematical method using the renormalization group and can be derived from the Navier Stokes equation It is concluded that due to the influence of the rotation of the blade and the size of the blade, the calculation mainly focuses on the turbulence that occurs in most of the flexible breakwater and the blade under the action of waves. Therefore, using STAR-CCM+ software for numerical simulation, choose RNG k-e model for research in the physical model. Equation (3) is dissipation rate of RNG model ε [11]:
G k = μ u i x j + u j x i u i x j G b = β g i u t P r t T x i β = 1 ρ ρ T Y M = 2 ρ ε M t 2
where   u i is the turbulent viscosity,   C u is the empirical parameters, k and   ε i are two unknown parameters, the transport equation of RNG can be expressed as follows:
( ρ ε ) t + ( ρ ε u i ) x i = x j [ ( μ + μ t σ ε ) ε x j ] + ( G k + C 3 ε G b ) C 2 σ ρ ε 2 k + S
By setting the physical model, grid model and solver of the flexible breakwater, it is mainly to calculate the position of the free liquid surface at the initial moment, the distribution of the velocity field, the initial velocity and damping of the blade, etc.
Through studying the state of flexible breakwaters and blades under the motion response of regular waves, the initial conditions generally do not affect the wave propagation and the calculation results after the blade motion is stabilized, but there will be certain fluctuations in the initial calculation results and subsequent results influence, the Equation (5) is the situation when t = 0.
ϕ | t = 0 = f 1 x , y , z = η x , y , 0 ϕ t | t = 0 = f 2 x , y , z = η x , y , 0  
Since blade rotation is a planar motion relative to the breakwater coordinate system, k only represents the three degrees of freedom of the blade. Therefore, the solution of the radiation potential of breakwater φ R   can be obtained as follows by solving the three modes and the substituting the conditional expression (5) into Equation (2):
φ R = i = 1 6 ( ξ i φ ξ i + α i φ α i ) + k = 1 3 θ k φ θ k
According to the above, the total wave velocity potential around the breakwater under linear regular waves φ = φ I + φ I D + φ R   is finally obtained. Next, the wave surface equations at each point around the breakwater are derived from the velocity potential function. The wave height data of each point, including the wave height data of the transmitted waves, represented by Ht, and the wave height data of the reflected waves, represented by Hf, are obtained from the wave surface equations. In this paper, the transmission coefficient C t = H t / H f was used to analyze the wave-attenuating performance of the breakwater.

2.5. Numerical Wave Elimination Solving Method

The purpose of numerical wave elimination is to reduce the influence of reflected waves on wave height data collection. This order value simulation uses the method of damping wave elimination. The fifth-order Stokes wave is generated at the velocity entrance of the numerical water tank and propagates to the left to the exit of the water tank.
In order to eliminate the reflected waves in the numerical simulation calculation process, it is necessary to add a damping term in the outlet fluid domain of the numerical water tank, and set the numerical wave elimination zone near the outlet boundary and away from the flexible breakwater. The setting area at the outlet is generally 1–2 wavelength distance. The formula of the damping term used to absorb the energy of the transmitted wave in the numerical wave elimination area is shown below:
V m = C x V c P m = C x P c C x m i n = 0 , C x m a x = 1 ,
where C x   is the relaxation function related to space coordinates, using to eliminate transmitted waves passing through the flexible breakwater, V c is the velocity vector before the wave enters the wave-eliminating zone,   P c is The pressure field before the wave enters the wave-eliminating zone,   V m is the velocity vector of the wave after passing through the wave-eliminating zone, P m is the pressure field after the wave passes through the wave-eliminating zone.
I ρ p t ψ p ρ p + ψ p ρ p V p = 0 , p = 1 n ψ p = 1
where ψ p is the volume fraction of p-phase fluid in the domain cell grid, ρ p is density of p-phase fluid in the domain, V p is velocity vector of p-phase fluid in the domain.
In the process of numerical iterative calculation, the volume fraction of the two-phase fluid in the computational domain grid is further calculated based on the result of the numerical iterative calculation in the previous step.:
V ψ p n ψ ρ p n ψ p n 1 ψ ρ p n 1 t + f ρ P U f n 1 ψ p f n 1 = 0
where n is calculation time step, ψ p f is the face value of p-phase fluid volume fraction, V is the cell volume of computational domain grid, U f is volumetric flow rate of the grid area.
The radiation force is converted into a delay function by the convolution integral, and the equation used to solve the hydrodynamic time domain of the breakwater (1–16) can finally be obtained. In this equation, C = K s t + K m o r + K r o t :
M + M X ¨ b r k + 0 t K t τ d τ + C X b r = R b r k
The correction of the S-shaped blade exists in stiffness matrix C and delay function K. The additional radiation damping from the rotating modes of the blade Drot is calculated using the damping formula (10), which represents the radiation damping of the rotational motion K of the blade generated on the jth degree of freedom of the rigid body of the breakwater; meanwhile, blade rotation changes the hydrostatic stiffness of the breakwater system, so the hydrodynamic calculation can be approximated by the modified stiffness Krot, as shown in Equation (11) [11].
D r o t = ρ lm S φ θ k n φ θ j d s  
ρ d v d t + v ρ t + · ρ v = ρ F + · τ
Finally, the dynamic equation is solved through the iterative calculation by means of the Newmark-β time-advancement scheme. It can be obtained from the micro-wave as follows:
U Z ( x , z ) = H z g 2 T cosh [ K ( 2 + d ) ] cosh ( k d ) sin ( K x σ t )
where K is wave number,   K = 2 π / L ;   σ is the circular frequency,   σ = 2 π / T ;  H is the wave height at coordinate x, g is the acceleration of gravity, d is the water depth, T is the wave cycle, L is the wavelength.

2.6. Solving Method for Mooring Load

The mooring system usually uses a divergent multi-chain mooring system with distributed symmetry, which can ensure the stability of the flexible breakwater and the safety of the flexible breakwater. When the flexible breakwater is in the middle position of the anchor chain distribution, the restoring force of the entire mooring system is zero, and the force received by each anchor chain is called pretension.
As shown in Figure 3 the mooring line is divided into N elements. In order to facilitate the calculation of the force analysis of the system and simplify the structure, it is assumed that each anchor chain in the entire anchoring positioning system converges at one point. The following formula can be derived by the geometric relationship:
L i - S i - ( δ × sin ( 180 ° - α 1 + φ ) ) 2 = ( L - S ) 0 - δ × cos ( 180 ° - α t + φ )
where α i is the suspended length of the cable chain after the floating body is offset, S i is cable and chain horizontal distance after floating body offset, L 0 is hanging length of anchor chain during pretensioning, S 0 is transverse distance during anchor chain pre-tensioning, φ is deviation angle of system.
According to the obtained horizontal component force Q of the anchor chain, the horizontal restoring force R of the entire system is obtained by the method of vector summation:
R = ( ( i = 1 N Q ) × sin α i ) 2 + ( ( i = 1 N Q i ) × cos α i ) 2
After the floating body is offset, the direction angle of the anchor chain changes as follows: [12]:
β = tan - 1 ( i = 1 N Q × sin α i i = 1 N Q × cos α i )
β is the direction angle of the anchor chain, Q is the horizontal component of anchor chain,   R is the horizontal resilience of the entire system,

2.7. Finite Element Analysis of Breakwater Model

The physical model settings mainly include the following points: selecting the fifth-order Stokes wave and three-dimensional model in the VOF wave and using Eulerian multiphase flow in the turbulence model to calculate the volume distribution of air and water, and calculate the blade position by iterative calculation. In the six-degree-of-freedom motion model, the free surface function obtains the value of the set function according to the set monitoring point.
Grid division is very important for the discrete calculation of the computer. The overlapping grid technology used in this article divides the entire computational basin into a random grid part and a background grid part. The background grid divides the computational domain into a fixed grid according to the basic size, extension method, and expansion ratio of the grid parameters. The body grid is in motion, and it moves with the flexible breakwater and Savonius-type blades without deformation, and is connected to the background grid at all times to ensure that the calculation equation can be solved. In the calculation process of the fluid domain, the grids of the floating body, the blades and the grid of the watershed are overlapped together, and no new grids will be generated during the calculation process, so the processing efficiency of dynamic grids is greatly enhanced. when the Savonius-type blade has a relatively large motion range, the quality of the grid will not decrease. The setting of grid parameters mainly includes the setting of basic grid size and grid type. The mesh model of the numerical simulation in this paper chooses to use the cut volume grid generator and the prism layer grid generator.
In order to ensure the accuracy of the calculation results of the fluid domain and the flatness of the liquid surface waves, mesh refinement is performed within the range where the free liquid surface can fluctuate and near the rotation domain of the Savonius blade. Generally, three to four are guaranteed at the dense edge. The smooth transition of the mesh of the layer can not only reduce the number of meshes, but also ensure the beauty of the mesh. The mesh gradually increases as the distance from the free liquid surface and the center of rotation of the inner blade increase. It should also be noted that the number of grids along the wave propagation direction will affect the attenuation of wave propagation energy, so the setting of specific parameters of the grid near the wave surface is also very important for numerical simulation. Close to the free liquid surface, due to the large gradient of variables such as speed and pressure, it is necessary to refine the grid in the wave height direction, which not only helps to improve the accuracy, but also facilitates the accurate capture of the free liquid surface. Meshing result
The three-dimensional (3D) grid for hydrodynamic calculation of breakwater is shown in Figure 4 and the grid parameters in Table 4.

3. Analysis of Numerical Simulation Results

3.1. Analysis of Motion Response

For the breakwater, the influence of its frontal waves on its hydrodynamic response is mainly analyzed. Therefore, only the motion response, wave-attenuating property and mooring dynamic response with an incident wave direction of 0° to the breakwater are considered in this paper. Under the wave condition of the 0° direction, the motion in the rolling and pitching directions is particularly important, and affects whether the breakwater can work properly under the wave condition. If the rolling and pitching are too large, the flexible connection of the whole floating breakwater will be destroyed, resulting in functional failure. Figure 5 shows the additional mass curve of the breakwater pitching.
The additional mass of pitching at the natural period of the breakwater is 7.29 × 105 kg·m2. The pitching viscous damping correction of the breakwater is calculated by added to the hydrodynamic calculation file. The amplitude response at the natural period is reasonable in the pitching response modified curve of the breakwater. The pitching motion response reaches a reasonable state and the curve is smoother.
As shown in Figure 6, the configuration of the hydrodynamic model of the flexible breakwater is based on a Cartesian coordinate system. The three-dimensional model is composed of double floating tubes and two sets of Savonius-type blades. In order to meet the requirements of the hydrodynamic calculation of the floating body and simplify the solution process, the length of the HDPE floating pipe and the number of blades are shortened in the model. After the physical model and mesh model are set, the mathematical model can be meshed and initialized. Figure 6a,b show the vector scene diagram of calculation operation and numerical simulation.

3.2. Analysis of Results of Time Domain Mooring Tension

Figure 7 shows the tension time domain response of four mooring lines under the action of a regular wave with a period of 6 s, a wave height of 1.2 m and a wave direction of 0°. Line 1 and Line 4 are on the down-wave side of the breakwater, while Line 2 and Line 2 and Line 3 are on the up-wave side of the breakwater. This can be obtained by selecting the time domain to calculate the tension time history curve within a stable interval of 16 s, in which the tension response trend of the mooring lines on the up-wave side and the down-wave side is basically the same. Furthermore, the second-order low frequency tension load of both shows periodic response; the response period is close to the wave period of 2 s; the phase of the tension response of the four mooring lines is basically consistent.

3.3. Description of Key Geometric Parameters of Breakwater

Figure 8 shows a 3D diagram of the Savonius blade. The S-type (Savonius-type) blade is a resistance-type blade, named after its invention by the Finnish engineer Savonius. The S-type blade has the advantages of simple structure, low working speed, easy start-up, low manufacturing cost, and the ability to capture wave energy in all directions. In this study, the advantages of the S-shaped blades were applied to absorb wave energy, and the energy could be converted into electricity. The floating breakwaters with suspended Savonius blades can not only eliminate waves but also generate electricity.
The double-buoy-type floating structure is of a combined wave-eliminating type. Its main advantage is that the buoy can reflect and eliminate the waves. At the same time, the mutual coupling between the two buoys will also have the effect of friction and dissipation on the waves, which further improves the wave elimination of the breakwater. Performance can play a role in safety protection. The double-buoy float structure includes a wide range of materials, requires simple processing and manufacturing, and its installation is convenient. The double-buoy floating breakwater is used in the open sea area where the random wave period is relatively evenly distributed, and it has a good wave-eliminating effect on the waves of long and short periods.
Figure 9 is the S-shaped blade and double-buoy structure. The new type of double-pontoon floating breakwater is an integrated device system for wave elimination with vertical arrangement of double buoys of blades.

3.4. Result Analysis

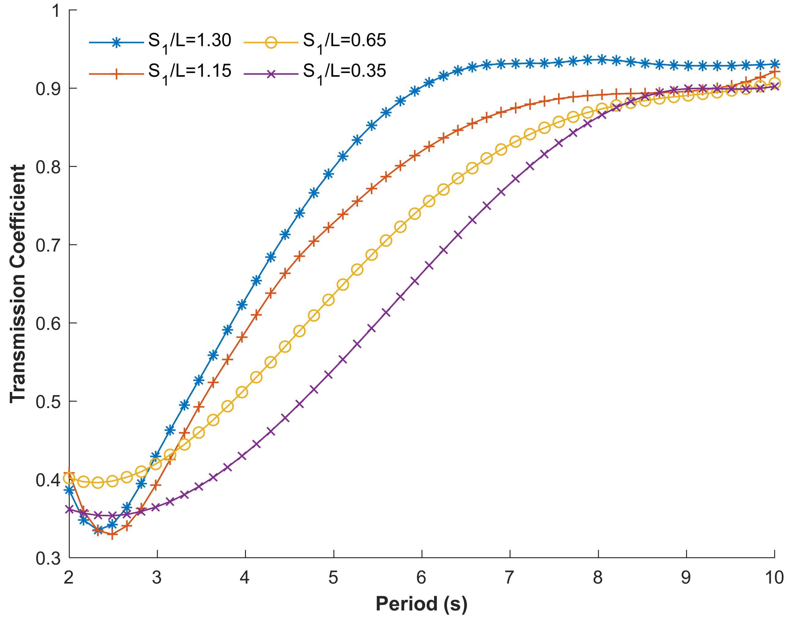
Figure 10 shows the influence of geometric parameters on the wave-attenuating transmission coefficient of breakwater under the same calculation procedure and hydrodynamic calculation parameters. The same transmission coefficient calculation locations are selected and the periodic response curves of transmission coefficients corresponding to each parameter value are compared, leading to the following conclusion:
When the relative spacing between pontoons S1/L is less than 1, the transmission coefficient of the breakwater, as a whole, shows a decreasing trend as the spacing increases. That is, the closer the spacing between pontoons are to the wavelength, the better the wave-attenuating effect, which reaches its optimum around the wave period 2.5 s. However, the transmission coefficient of the curve in the period below 2.5 s increases, while the wave-absorbing decreases. When the relative spacing between pontoons S1/L is greater than 1, with the increasing of the spacing between pontoons, the transmission coefficient of the breakwater increases, but for the part of low wave period below 2.5 s, the adaptability of the breakwater is stronger, and its wave-attenuating effect is better.
In the experiment, the structural parameters of the flexible breakwater with Savonius-type blades were optimized, and the wave-eliminating performance of the flexible breakwater was studied from three aspects: relative spacing, relative depth and wave height. The results show that when the wave period is close to the S-shaped blade period, it has a good wave-eliminating effect. With the increase of the wave height and the relative spacing of the buoys, the transmission coefficient of the flexible breakwater also increases correspondingly, and the wave suppression performance decreases.

4. Conclusions

Figure 11 shows the traditional double-buoy breakwater, and in Figure 12, the new double-pontoon floating breakwater can be seen. Experimental tests were performed to compare the new double-pontoon floating breakwater and traditional double-buoy breakwater.
Figure 13 shows the transmission coefficients of the two models with different relative spacing of the pontoons; mode1 represents the new double-pontoon floating breakwater, and mode2 represents the traditional double-buoy breakwater. The experimental results show that at two different wave heights, the wave attenuation performance of the new double-pontoon floating breakwater was better than that of the traditional double-buoy breakwater.
The hydrodynamic property of floating breakwater and the influence of some geometric parameters on its hydrodynamic performance were studied by means of numerical calculations and comparative experimental tests, with the following major conclusions being reached: under the same environmental conditions, the pontoon S 1 was closer to the wavelength, the wave-attenuating performance of the breakwater was better, Choosing the appropriate Savonius-type blades and blade installation form can effectively improve the wave absorbing performance of the flexible breakwater. When the flexible breakwater can self-supply and capture energy, the flexible breakwater with the parallel blades has better wave absorbing performance. The main reason is that the arrangement of the blades has changed the flow structure of the water body, and better achieves the purpose of energy consumption and wave elimination.

Author Contributions

Conceptualization, C.J. and H.L.; methodology, H.L.; validation, C.J. and L.B.; formal analysis, H.L.; data curation, L.B. and J.C.; writing—original draft preparation, C.J.; writing—review and editing, H.L.; visualization, C.J. and H.L.; supervision, C.J.; project administration, H.L. and C.J.; funding acquisition, J.C. All authors have read and agreed to the published version of the manuscript.

Funding

This research was co-funded by two projects: the National Key R&D Project of the Ministry of Science and Technology of the People’s Republic of China, grant number 2020YFE0200100; and the Science and Technology Innovation 2025 Major Project of Ningbo, China, grant number 2020Z076.

Institutional Review Board Statement

Not applicable.

Informed Consent Statement

Not applicable.

Data Availability Statement

Not applicable.

Conflicts of Interest

The authors declare no conflict of interest.

References

  1. Shih, R.S.; Weng, W.K.; Chou, C.R. The performance characteristics of inclined highly previous pipe breakwaters. Ocean Eng. 2015, 100, 54–66. [Google Scholar] [CrossRef]
  2. Wang, H.; XU, H.; Liu, P. Experimental study on the dissipation characteristics of curtain-type flexible floating breakwater. J. Coast. Res. 2015, 73, 410–414. [Google Scholar] [CrossRef]
  3. Ji, C.Y.; Chen, X.; Cui, J.; Gaidai, O.; Incecik, A. Experimental study on configuration optimization of floating breakwaters. Ocean Eng. 2016, 117, 302–310. [Google Scholar] [CrossRef] [Green Version]
  4. Qu, K.; Sun, W.Y.; Kraatz, S.; Deng, B.; Jiang, C. Effects of floating breakwater on hydrodynamic load of low-lying bridge deck under impact of cnoidal wave. Ocean Eng. 2020, 203, 1–18. [Google Scholar] [CrossRef]
  5. Zhang, H.M.; Ding, X.C.; Zhou, B.Z.; Yuan, Z. Hydrodynamic performance study of wave energy-type floating breakwater. J. Mar. Sci. Appl. 2019, 18, 64–71. [Google Scholar] [CrossRef]
  6. Koraima, A.S.; Rageh, O.S. Effect of under connected plates on the hydrodynamic efficiency of the floating breakwater. China Ocean Eng. 2013, 28, 349–362. [Google Scholar] [CrossRef]
  7. Yan, H.; Zhang, D.; Li, L.; Luo, X. Finite Element Analysis on Vibration Characteristics of an Offshore Floating Breakwater. Struct. Durab. Health Monit. 2020, 14, 19. [Google Scholar] [CrossRef]
  8. Duan, W.Y.; Xu, S.P.; Xu, Q.L.; Ertekin, R.C.; Ma, S. Performance of an F-type floating breakwater: A numerical and experi-mental study. Proc. Inst. Mech. Eng. Part M J. Eng. Marit. Environ. 2017, 231, 583–599. [Google Scholar]
  9. Ning, D.; Zhao, X.; Göteman, M.; Kang, H. Hydrodynamic performance of a pile-restrained WEC-type floating breakwater: An experimental study. Renew. Energy 2016, 95, 531–541. [Google Scholar] [CrossRef]
  10. Talukdar, P.K.; Sardar, A.; Kulkarni, V.; Saha, U.K. Parametric analysis of model Savonius hydrokinetic turbines through experimental and computational investigations. Energy Convers. Manag. 2018, 158, 36–49. [Google Scholar] [CrossRef]
  11. Ji, C.Y.; Bian, X.Q.; Cheng, Y.; Yang, K. Experimental study of hydrodynamic performance for double-row rectangular floating breakwaters with porous plates. Ships Offshore Struct. 2019, 14, 737–746. [Google Scholar] [CrossRef]
  12. Jiang, C.H.; Shu, X.D.; Chen, J.H.; Bao, L.J.; Xu, Y.W. Research on Blade Design of Lift–Drag-Composite Tidal-Energy Turbine at Low Flow Velocity. Energies 2021, 14, 4258. [Google Scholar] [CrossRef]
Figure 1. Tidal current period velocity segmentation flowchart.
Figure 1. Tidal current period velocity segmentation flowchart.
Energies 14 08316 g001
Figure 2. Computational domain of breakwater.
Figure 2. Computational domain of breakwater.
Energies 14 08316 g002
Figure 3. Mooring load solution.
Figure 3. Mooring load solution.
Energies 14 08316 g003
Figure 4. Three-dimensional Meshing of Breakwater.
Figure 4. Three-dimensional Meshing of Breakwater.
Energies 14 08316 g004
Figure 5. Additional mass curve for pitching.
Figure 5. Additional mass curve for pitching.
Energies 14 08316 g005
Figure 6. Hydrodynamic model of S-shaped blade (a) Hydrodynamic model of vertical blade arrangement; (b) Hydrodynamic model of parallel blade arrangement.
Figure 6. Hydrodynamic model of S-shaped blade (a) Hydrodynamic model of vertical blade arrangement; (b) Hydrodynamic model of parallel blade arrangement.
Energies 14 08316 g006
Figure 7. Stress histories of the mooring line at a fairlead point in a regular wave.
Figure 7. Stress histories of the mooring line at a fairlead point in a regular wave.
Energies 14 08316 g007
Figure 8. The physical model of the Savonius blade.
Figure 8. The physical model of the Savonius blade.
Energies 14 08316 g008
Figure 9. Key geometric parameters of breakwater.
Figure 9. Key geometric parameters of breakwater.
Energies 14 08316 g009
Figure 10. Impact of geometric parameters on transmission coefficient.
Figure 10. Impact of geometric parameters on transmission coefficient.
Energies 14 08316 g010
Figure 11. Traditional double-buoy breakwater.
Figure 11. Traditional double-buoy breakwater.
Energies 14 08316 g011
Figure 12. Flexible breakwater with Savonius blade.
Figure 12. Flexible breakwater with Savonius blade.
Energies 14 08316 g012
Figure 13. Transmission coefficient of the two models.
Figure 13. Transmission coefficient of the two models.
Energies 14 08316 g013
Table 1. Geometric features of breakwater.
Table 1. Geometric features of breakwater.
ParametersValue
Pontoon   diameter   D / m 2.0
Pontoon   spacing   S 1 / m 4.0
Center   distance   between   pontoon   and   blade   S 2 / m 3.0
Floating   breakwater   length   l / m 10
Blade   diameter   d / m 4.0
Blade   radius   r / m 0.6
Blade   height   h / m 3.0
Table 2. Hydrodynamic parameters of breakwater.
Table 2. Hydrodynamic parameters of breakwater.
ParameterValue
Water   depth m 8.5
Draft m 5.0
Water   discharge kg 5.012 × 104
Inertial   radius   of   rolling   R x x / m 3.09
Inertial   radius   of   pitching   R y y / m 1.63
Inertial   radius   of   yawing   R z x / m 1.76
Inertia moment(662,189; 196,785, 201,796)
Center of gravity position(0.019, 0.05, 0)
Center of buoyancy position(0.0025, 0.0036, −1.0048)
Table 3. Mooring system parameters.
Table 3. Mooring system parameters.
ParameterValue
Length   of   mooring   line m 22
Diameter   of   mooring   line m 0.05
Mass   per   unit   length kg · m 1 1.145
Equivalent   cross - sectional   area m 2 0.00236
Axial   stiffness   EA N 3.46 × 108
Maximum   breaking   force N 4.23 × 106
Diameter   of   drag   force m 0.04
Coefficient of drag force1.2
Additional quality factor1.0
Coefficient of axial drag force0.4
Table 4. Grid parameters.
Table 4. Grid parameters.
Number of Grid Nodes2936
Coordinates of centroid node(0.019, 0.05, 0)
Number of grid cells2912
Quadrilateral surface elements2683
Quadrilateral surface elements46
Morrison pipe element512
Diffraction/radiation computing elements2468
Publisher’s Note: MDPI stays neutral with regard to jurisdictional claims in published maps and institutional affiliations.

Share and Cite

MDPI and ACS Style

Li, H.; Chen, J.; Bao, L.; Jiang, C. Research on Wave Attenuation Performance of Floating Breakwater. Energies 2021, 14, 8316. https://doi.org/10.3390/en14248316

AMA Style

Li H, Chen J, Bao L, Jiang C. Research on Wave Attenuation Performance of Floating Breakwater. Energies. 2021; 14(24):8316. https://doi.org/10.3390/en14248316

Chicago/Turabian Style

Li, Hao, Junhua Chen, Lingjie Bao, and Chuhua Jiang. 2021. "Research on Wave Attenuation Performance of Floating Breakwater" Energies 14, no. 24: 8316. https://doi.org/10.3390/en14248316

APA Style

Li, H., Chen, J., Bao, L., & Jiang, C. (2021). Research on Wave Attenuation Performance of Floating Breakwater. Energies, 14(24), 8316. https://doi.org/10.3390/en14248316

Note that from the first issue of 2016, this journal uses article numbers instead of page numbers. See further details here.

Article Metrics

Back to TopTop