Electrical Efficiency Increase in CPVT Collectors by Spectral Splitting
Abstract
:1. Introduction
2. Development of a Novel CPVT Receiver Design
3. Modelling the Potential Gain of Conversion Performance
- Spectral efficiency of the PV cells in %;
- Theoretical efficiency of the PV cells in %;
- Maximum electrical power output considering spectral efficiency in Wel/m2;
- Electrical power output in idealised MPP operation in Wel/m2;
- Waste heat dissipated in the PV cells in Wth/m2;
- Idealised thermal power output of the receiver in Wth/m2.
3.1. Modelling Methodology
3.1.1. Optimisation of Electrical Conversion Efficiency
3.1.2. Impacts of Cell Temperature and Concentration Factor
3.2. Data Base for Modelling
4. Modelling Results of Optimised Electrical Conversion Efficiency
4.1. Optimised Electrical Conversion Efficiency for c-Si Cells
4.2. Optimised Electrical Conversion Efficiency for CIGS Cells
4.3. Optimised Electrical Conversion Efficiency for CdTe Cells
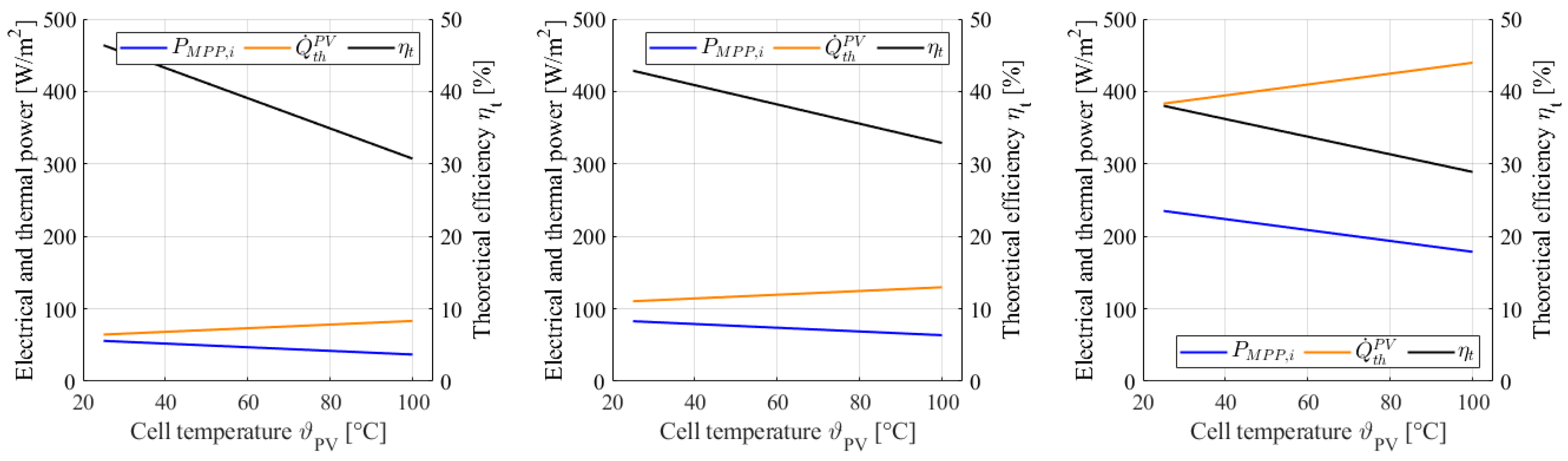
5. Results for Modelling the Impact of Cell Temperature and Concentration Factor
5.1. Impact of the Cell Temperature
5.2. Impact of the Concentration Factor
6. Discussion and Conclusions
7. Outlook
Author Contributions
Funding
Institutional Review Board Statement
Informed Consent Statement
Data Availability Statement
Acknowledgments
Conflicts of Interest
References
- HeatRoadmapEurope. Heating and Cooling—Facts and Figures 2017. Available online: www.heatroadmap.eu (accessed on 11 January 2021).
- Weiss, W.; Spörk-Dür, M. Solar Heat Worldwide—Global Market Development and Trends in 2020|Detailed Market Figures 2019; Gleisdorf, Austria, 2021. [Google Scholar]
- Kaltschmitt, M.; Streicher, W.; Wiese, A. Erneuerbare Energien|Systemtechnik, Wirtschaftlichkeit, Umweltaspekte; Springer: Berlin/Heidelberg, Germany, 2013; Volume 5. [Google Scholar]
- Quaschning, V. Regenerative Energiesysteme|Technologie—Berechnung—Simulation, 7th ed.; Hanser Verlag: Munich, Germany, 2011. [Google Scholar]
- Crisostomo, F.; Taylor, R.A.; Surjadi, D.; Mojiri, A.; Rosengarten, G.; Hawkes, E.R. Spectral splitting strategy and optical model for the development of a concentrating hybrid PV/T collector. Appl. Energy 2015, 141, 238–246. [Google Scholar] [CrossRef]
- Stanley, C.; Mojiri, A.; Karwa, N.; Rosengarten, G. Thermal Performance Analysis of a Concentrating Beam Splitting Hybrid PVT Collector. In Proceedings of the EuroSun 2014 Conference, Aix-les-Bains, France, 16–19 September 2014; International Solar Energy Society: Freiburg im Breisgau, Germany, 2015. [Google Scholar] [CrossRef]
- Imenes, A.G.; Mills, D.R. Spectral beam splitting technology for increased conversion efficiency in solar concentrating systems: A review. Sol. Energy Mater. Sol.Cells 2004, 84, 19–69. [Google Scholar] [CrossRef]
- Green, M.A. General temperature dependence of solar cell performance and implications for device modelling. Prog. Photovolt. Res. Appl. 2003, 11, 333–340. [Google Scholar] [CrossRef]
- Mojiri, A.; Taylor, R.; Thomsen, E.; Rosengarten, G. Spectral beam splitting for efficient conversion of solar energy—A review. Renew. Sustain. Energy Rev. 2013, 28, 654–663. [Google Scholar] [CrossRef]
- Daneshazarian, R.; Cuce, E.; Cuce, P.M.; Sher, F. Concentrating photovoltaic thermal (CPVT) collectors and systems: Theory, performance assessment and applications. Renew. Sustain. Energy Rev. 2018, 81, 473–492. [Google Scholar] [CrossRef]
- George, M.; Pandey, A.K.; Abd Rahim, N.; Tyagi, V.V.; Shahabuddin, S.; Saidur, R. Concentrated photovoltaic thermal systems: A component-by-component view on the developments in the design, heat transfer medium and applications. Energy Convers. Manag. 2019, 186, 15–41. [Google Scholar] [CrossRef] [Green Version]
- Crisostomo, F.; Hjerrild, N.; Mesgari, S.; Li, Q.; Taylor, R.A. A hybrid PV/T collector using spectrally selective absorbing nanofluids. Appl. Energy 2017, 193, 1–14. [Google Scholar] [CrossRef]
- Han, X.; Chen, X.; Sun, Y.; Qu, J. Performance improvement of a PV/T system utilizing Ag/CoSO4-propylene glycol nanofluid optical filter. Energy 2020, 192, 116611. [Google Scholar] [CrossRef]
- Otanicar, T.; Dale, J.; Orosz, M.; Brekke, N.; DeJarnette, D.; Tunkara, E.; Roberts, K.; Harikumar, P. Experimental evaluation of a prototype hybrid CPV/T system utilizing a nanoparticle fluid absorber at elevated temperatures. Appl. Energy 2018, 228, 1531–1539. [Google Scholar] [CrossRef]
- Huaxu, L.; Fuqiang, W.; Dong, Z.; Ziming, C.; Chuanxin, Z.; Bo, L.; Huijin, X. Experimental investigation of cost-effective ZnO nanofluid based spectral splitting CPV/T system. Energy 2020, 194, 116913. [Google Scholar] [CrossRef]
- Huang, G.; Wang, K.; Curt, S.R.; Franchetti, B.; Pesmazoglou, I.; Markides, C.N. On the performance of concentrating fluid-based spectral-splitting hybrid PV-thermal (PV-T) solar collectors. Renew. Energy 2021, 174, 590–605. [Google Scholar] [CrossRef]
- Looser, R.; Vivar, M.; Everett, V. Spectral characterisation and long-term performance analysis of various commercial Heat Transfer Fluids (HTF) as Direct-Absorption Filters for CPV-T beam-splitting applications. Appl. Energy 2014, 113, 1496–1511. [Google Scholar] [CrossRef]
- Everett, V.; Wu, Y.; Resch, A.; Ebert, M.; Vivar, M.; Thomsen, E.; Harvey, J.; Scott, P.; Greaves, M.; Tanner, A.; et al. Towards an innovative spectral-splitting hybrid PV-T micro-concentrator. AIP Conf. Proc. 2012, 1477, 230. [Google Scholar] [CrossRef] [Green Version]
- Stanley, C.; Mojiri, A.; Rahat, M.; Blakers, A.; Rosengarten, G. Performance testing of a spectral beam splitting hybrid PVT solar receiver for linear concentrators. Appl. Energy 2016, 168, 303–313. [Google Scholar] [CrossRef]
- Mojiri, A.; Stanley, C.; Rodriguez-Sanchez, D.; Everett, V.; Blakers, A.; Rosengarten, G. A spectral-splitting PV-thermal volumetric solar receiver. Appl. Energy 2016, 169, 63–71. [Google Scholar] [CrossRef]
- Hangweirer, M.; Höller, R.; Schneider, H. Design and analysis of a novel concentrated photovoltaic–thermal receiver concept. Jpn. J. Appl. Phys. 2015, 54, 08KE01. [Google Scholar] [CrossRef]
- Hangweirer, M. Design und Analyse eines CPV-T Receiver Konzepts; University of Applied Sciences Upper Austria: Wels, Austria, 2014. [Google Scholar]
- Reinbrech, R.; Höller, R.; Schneider, H. Integration of Spectral Splitting in a CPV-T Receiver Concept. In Proceedings of the EU PVSEC 2016, Munich, Germany, 20–24 June 2016. [Google Scholar]
- Resch, A. Implementation of Spectral Splitting in a Hybrid Concentrator Photovoltaic and Thermal Solar Collector; University of Applied Sciences Upper Austria: Wels, Austria, 2012. [Google Scholar]
- Han, X.; Tu, L.; Sun, Y. A spectrally splitting concentrating PV/T system using combined absorption optical filter and linear Fresnel reflector concentrator. Sol. Energy 2021, 223, 168–181. [Google Scholar] [CrossRef]
- Widyolar, B.; Jiang, L.; Winston, R. Spectral beam splitting in hybrid PV/T parabolic trough systems for power generation. Appl. Energy 2018, 209, 236–250. [Google Scholar] [CrossRef]
- Wang, K.; Pantaleo, A.; Herrando, M.; Faccia, M.; Pesmazoglou, I.; Franchetti, B.M.; Markides, C. Spectral-splitting hybrid PV-thermal (PVT) systems for combined heat and power provision to dairy farms. Renew. Energy 2020, 159, 1047–1065. [Google Scholar] [CrossRef]
- Mertens, K. Photovoltaik—Lehrbuch zu Grundlagen, Technologie und Praxis, 4th ed.; Hanser Verlag: München, Germany, 2018. [Google Scholar]
- Häberlin, H. Photovoltaics—System Design and Practice; John Wiley & Sons, Ltd.: Chichester, UK, 2012. [Google Scholar]
- Luque, A.; Hegedus, S. Handbook of Photovoltaic Science and Engineering. 2; John Wiley & Sons, Ltd.: Chichester, UK, 2011. [Google Scholar]
- Resch, A.; Höller, R. Design Concepts for a Spectral Splitting CPVT Receiver. In EuroSun2020 Conference; Charalambides, A., Streicher, W., Mugnier, D., Eds.; ISES: Freiburg im Breisgau, Germany, 2020; p. 12. [Google Scholar] [CrossRef]
- NREL Reference Air Mass 1.5 Spectra n.d. Available online: https://www.nrel.gov/grid/solar-resource/spectra-am1.5.html (accessed on 6 November 2019).
- Green, M.A.; Hishikawa, Y.; Dunlop, E.D.; Levi, D.H.; Hohl-Ebinger, J.; Ho-Baillie, A.W.Y. Solar cell efficiency tables (version 52). Prog. Photovolt. Res. Appl. 2018, 26, 427–436. [Google Scholar] [CrossRef]
- Wu, J.-L.; Hirai, Y.; Kato, T.; Sugimoto, H.; Bermudez, V. New World Record Efficiency up to 22.9% for Cu(In,Ga)(Se,S)2 Thin-Film Solar Cells. In Proceedings of the 7th World Conference on Photovoltaic Energy Conversion, Waikoloa, HI, USA, 10–15 June 2018; p. 4. [Google Scholar]
- Solar Frontier. Datasheet PowerModul n.d. Available online: https://www.solar-frontier.eu/fileadmin/content/downloads/powermodule/20150609/SF-PowerModule_Datenblatt_DE.pdf (accessed on 16 November 2020).
- Green, M.A.; Emery, K.; Hishikawa, Y.; Warta, W.; Dunlop, E.D. Solar cell efficiency tables (Version 45). Prog. Photovolt. Res. Appl. 2015, 23, 659–676. [Google Scholar] [CrossRef]
- First Solar. Datasheet First Solar Series 6 n.d. Available online: http://www.firstsolar.com/-/media/First-Solar/Technical-Documents/Series-6-Datasheets/Series-6-Datasheet.ashx?la=en-Emea (accessed on 16 November 2020).









| Unit | Full Spectrum Literature | Full Spectrum Modelled | Optimised Spectral Splitting | |
|---|---|---|---|---|
| Consideration of spectral efficiency | ||||
| Optimum lower threshold | nm | - | - | 945 |
| Spectral efficiency | % | 48 | 48.2 | 84.4 |
| Electrical power output | Wel/m2 | 480 | 481.9 | 81.2 |
| Waste heat dissipated in PV cells | Wth/m2 | - | 518.4 | 15.1 |
| Idealised thermal power output | Wth/m2 | - | - | 904.1 |
| Consideration of theoretical efficiency | ||||
| Optimum lower threshold | nm | - | - | 902 |
| Theoretical efficiency | % | 28.5 | 28.3 | 46.4 |
| Electrical power output | Wel/m2 | 285 | 282.8 | 55.7 |
| Waste heat dissipated in PV cells | Wth/m2 | - | 717.6 | 64.5 |
| Idealised thermal power output | Wth/m2 | - | - | 880.2 |
| Unit | Full Spectrum Literature | Full Spectrum Modelled | Optimised Spectral Splitting | |
|---|---|---|---|---|
| Consideration of spectral efficiency | ||||
| Optimum lower threshold | nm | - | - | 868 |
| Spectral efficiency | % | 48 | 46 | 76.3 |
| Electrical power output | Wel/m2 | 480 | 460.2 | 114.6 |
| Waste heat dissipated in PV cells | Wth/m2 | - | 540.2 | 35.6 |
| Idealised thermal power output | Wth/m2 | - | - | 850.2 |
| Consideration of theoretical efficiency | ||||
| Optimum lower threshold | nm | - | - | 823 |
| Theoretical efficiency | % | 28 | 27.1 | 42.9 |
| Electrical power output | Wel/m2 | 280 | 271 | 82.9 |
| Waste heat dissipated in PV cells | Wth/m2 | - | 729.4 | 110.4 |
| Idealised thermal power output | Wth/m2 | - | - | 807.1 |
| Unit | Full Spectrum Literature | Full Spectrum Modelled | Optimised Spectral Splitting | |
|---|---|---|---|---|
| Consideration of spectral efficiency | ||||
| Optimum lower threshold | nm | - | - | 515 |
| Spectral efficiency | % | 42.5 | 43.3 | 56.5 |
| Electrical power output | Wel/m2 | 425 | 433 | 336.9 |
| Waste heat dissipated in PV cells | Wth/m2 | - | 567.3 | 259.9 |
| Idealised thermal power output | Wth/m2 | - | - | 403.6 |
| Consideration of theoretical efficiency | ||||
| Optimum lower threshold | nm | - | - | 501 |
| Theoretical efficiency | % | 28 | 29.3 | 38 |
| Electrical power output | Wel/m2 | 280 | 293.3 | 235.1 |
| Waste heat dissipated in PV cells | Wth/m2 | - | 707 | 383.3 |
| Idealised thermal power output | Wth/m2 | - | - | 382 |
Publisher’s Note: MDPI stays neutral with regard to jurisdictional claims in published maps and institutional affiliations. |
© 2021 by the authors. Licensee MDPI, Basel, Switzerland. This article is an open access article distributed under the terms and conditions of the Creative Commons Attribution (CC BY) license (https://creativecommons.org/licenses/by/4.0/).
Share and Cite
Resch, A.; Höller, R. Electrical Efficiency Increase in CPVT Collectors by Spectral Splitting. Energies 2021, 14, 8128. https://doi.org/10.3390/en14238128
Resch A, Höller R. Electrical Efficiency Increase in CPVT Collectors by Spectral Splitting. Energies. 2021; 14(23):8128. https://doi.org/10.3390/en14238128
Chicago/Turabian StyleResch, Alois, and Robert Höller. 2021. "Electrical Efficiency Increase in CPVT Collectors by Spectral Splitting" Energies 14, no. 23: 8128. https://doi.org/10.3390/en14238128
APA StyleResch, A., & Höller, R. (2021). Electrical Efficiency Increase in CPVT Collectors by Spectral Splitting. Energies, 14(23), 8128. https://doi.org/10.3390/en14238128
