On the Use of Wearable Face and Neck Cooling Fans to Improve Occupant Thermal Comfort in Warm Indoor Environments
Abstract
:1. Introduction
2. Methodology
2.1. Participants
2.2. Face and Neck Cooling Fans
2.3. Test Protocol and Procedure
2.4. Test Conditions
2.5. Perceptual Response Questionnaire
2.6. Statistical Analysis
3. Results
3.1. Local Skin Temperatures at Forehead, Face and Neck
3.2. Overall Thermal Sensation Vote (TSV)
3.3. Overall Thermal Comfort Vote (TCV)
3.4. Local Thermal Sensation at Face and Neck
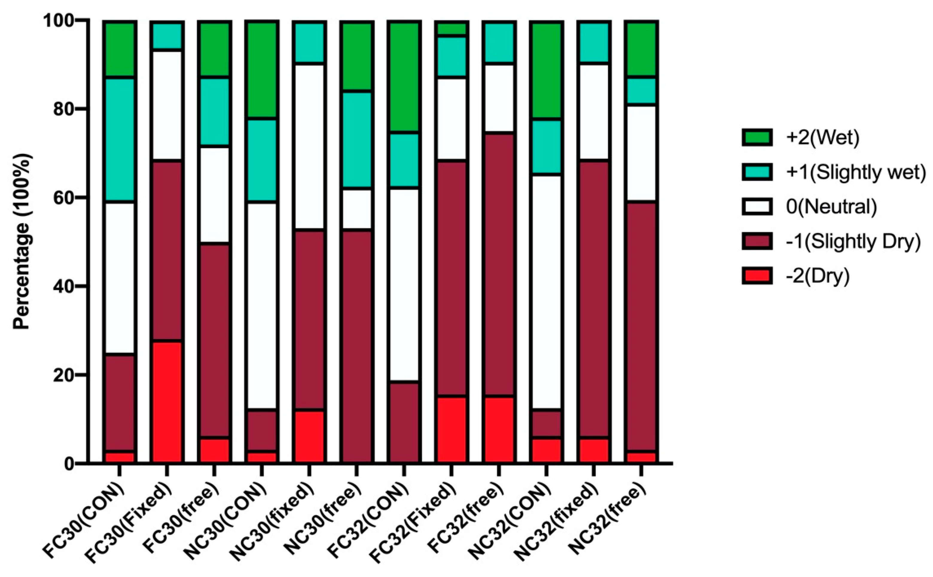
3.5. Dry Eye and Dry Lip Syndromes
4. Discussion
5. Limitations
6. Future Perspective and Practical Applications
7. Conclusions
Author Contributions
Funding
Institutional Review Board Statement
Informed Consent Statement
Data Availability Statement
Conflicts of Interest
References
- Tong, J.K.; Huang, X.; Boriskina, S.V.; Loomis, J.; Xu, Y.; Chen, G. Infrared-transparent visible-opaque fabrics for wearable personal thermal management. ACS Photon. 2015, 2, 769–778. [Google Scholar] [CrossRef] [Green Version]
- Peng, Y.; Cui, Y. Advanced textiles for personal thermal management and energy. Joule 2020, 4, 724–742. [Google Scholar] [CrossRef]
- Yang, B.; Ding, X.; Wang, F.; Li, A. A review of intensified conditioning of personal micro-environments: Moving closer to the human body. Energy Built Environ. 2021, 2, 260–270. [Google Scholar] [CrossRef]
- Zhang, H.; Arens, E.; Zhai, Y. A review of the corrective power of personal comfort systems in non-neutral ambient environments. Build. Environ. 2015, 91, 15–41. [Google Scholar] [CrossRef] [Green Version]
- Melikov, A.K. Personalized ventilation. Indoor Air 2004, 14, S157–S167. [Google Scholar] [CrossRef] [PubMed]
- Watanabe, S.; Shimomura, T.; Miyazaki, H. Thermal evaluation of a chair with fans as an individually controlled system. Build. Environ. 2009, 44, 1392–1398. [Google Scholar] [CrossRef] [Green Version]
- Watanabe, S.; Melikov, A.K.; Knudsen, G.L. Design of an individually controlled system for an optimal thermal microenvironment. Build. Environ. 2010, 45, 549–558. [Google Scholar] [CrossRef]
- Kaczmarczyk, J.; Melikov, A.; Bolashikov, Z.; Nikolaev, L.; Fanger, P.O. Human response to five designs of personalized ventilation. HVAC R Res. 2006, 12, 367–384. [Google Scholar] [CrossRef]
- Shahzad, S.; Calautit, J.K.; Calautit, K.; Hughes, B.; Aquino, A.I. Advanced personal comfort system (APCS) for the workplace: A review and case study. Energy Build. 2018, 173, 689–709. [Google Scholar] [CrossRef] [Green Version]
- Ke, Y.; Wang, F.; Xu, P.; Yang, B. On the use of a novel nanoporous polyethylene (nanoPE) passive cooling material for personal thermal comfort management under uniform indoor environments. Build. Environ. 2018, 145, 85–95. [Google Scholar] [CrossRef]
- Ma, Z.; Zhao, D.; Wang, F.; Yang, R. CFD analysis of thermal comfort and energy saving of novel radiative cooling and heating textiles. Energy Build. 2021, in press. [Google Scholar]
- Song, W.; Wang, F.; Wei, F. Hybrid cooling clothing to improve thermal comfort of office workers in a hot indoor environment. Build. Environ. 2016, 100, 92–101. [Google Scholar] [CrossRef]
- Li, Z.; Ke, Y.; Wang, F.; Yang, B. Personal cooling strategies to improve thermal comfort in warm indoor environments: Comparison of a conventional desk fan and air ventilation clothing. Energy Build. 2018, 174, 439–451. [Google Scholar]
- Wang, Z.; Warren, K.; Luo, M.; He, X.; Zhang, H.; Arens, E.; Chen, W.; He, Y.; Hu, Y.; Jin, L.; et al. Evaluating the comfort of thermally dynamic wearable devices. Build. Environ. 2020, 167, 106443. [Google Scholar] [CrossRef]
- Arens, E.; Zhang, H.; Huizenga, C. Partial- and whole-body thermal sensation and comfort-Part I: Uniform environmental conditions. J. Therm. Biol. 2006, 31, 53–59. [Google Scholar] [CrossRef] [Green Version]
- Ghaddar, N.; Ghali, K.; Chehaitly, S. Assessing thermal comfort of active people in transitional spaces in presence of air movement. Energy Build. 2011, 43, 2832–2842. [Google Scholar] [CrossRef]
- Cotter, J.D.; Taylor, N.A.S. The distribution of cutaneous sudomotor and alliesthesial thermosensitivity in mildly heat-stressed humans: An open-loop approach. J. Physiol. 2005, 565, 335–345. [Google Scholar] [CrossRef]
- Boerstra, A.C.; te Kulve, M.; Toftum, J.; Loomans, M.G.L.C.; Olesen, B.; Hensen, J.L.M. Comfort and performance impact of personal control over thermal environment in summer: Results from a laboratory study. Build. Environ. 2015, 87, 315–326. [Google Scholar] [CrossRef]
- Tartarini, F.; Schiavon, S.; Cheung, T.; Hoyt, T. CBE Thermal Comfort Tool: Online tool for thermal comfort calculations and visualizations. SoftwareX 2020, 12, 100563. [Google Scholar] [CrossRef]
- American Society of Heating, Refrigerating and Air-Conditioning Engineers. Thermal Environmental Conditions for Human Occupancy; ASHRAE Standard 55-2020; ASHRAE: Atlanta, GA, USA, 2020. [Google Scholar]
- Liu, Y.; Stowe, M.H.; Bello, D.; Sparer, J.; Gore, R.J.; Cullen, M.R.; Redlich, C.A.; Woskie, S.R. Skin exposure to aliphatic polyisocyanates in the auto body repair and refinishing industry: III. A personal exposure algorithm. Ann. Occup. Hyg. 2009, 53, 33–40. [Google Scholar]
- Schlader, Z.J.; Simmons, S.E.; Stannard, S.R.; Mündel, T. The independent roles of temperature and thermal perception in the control of human thermoregulatory behavior. Physiol. Behav. 2011, 103, 217–224. [Google Scholar] [CrossRef] [PubMed]
- Tyler, C.J.; Sunderland, C. Cooling the neck region during exercise in the heat. J. Athl. Train. 2011, 46, 61–68. [Google Scholar] [CrossRef] [PubMed]
- Stevens, C.J.; Kittel, A.; Sculley, D.V.; Callister, R.; Taylor, L.; Dascombe, B.J. Running performance in the heat is improved by similar magnitude with pre-exercise cold-water immersion and mid-exercise face water spray. J. Sport Sci. 2017, 35, 798–805. [Google Scholar] [CrossRef] [PubMed]
- Cao, Y.; Lei, T.H.; Wang, F.; Yang, B. Head, facial and neck cooling as per-cooling modalities to improve exercise performance in the heat: A narrative review and practical applications. medRxiv 2021. [Google Scholar] [CrossRef]
- Tyler, C.J.; Wild, P.; Sunderland, C. Practical neck cooling and time-trial running performance in a hot environment. Eur. J. Appl. Physiol. 2010, 110, 1063–1074. [Google Scholar] [CrossRef]
- Sunderland, C.; Stevens, R.; Everson, B.; Tyler, C.J. Neck-cooling improves repeated sprint performance in the heat. Front. Physiol. 2015, 6, 314. [Google Scholar] [CrossRef] [Green Version]
- Pasut, W.; Arens, E.; Zhang, H.; Zhai, Y. Enabling energy-efficient approaches to thermal comfort using room air motion. Build. Environ. 2014, 79, 13–19. [Google Scholar] [CrossRef] [Green Version]
- Ho, S.H.; Rosario, L.; Rahman, M.M. Thermal comfort enhancement by using a ceiling fan. Appl. Therm. Eng. 2009, 29, 1648–1656. [Google Scholar] [CrossRef]
- Yang, B.; Schiavon, S.; Sekhar, C.; Cheong, D.; Tham, K.W.; Nazaroff, W.W. Cooling efficiency of a brushless direct current stand fan. Build. Environ. 2015, 85, 196–204. [Google Scholar] [CrossRef] [Green Version]
- He, M.; Li, N.; He, Y.; He, D.; Song, C. The influence of personally controlled desk fan on comfort and energy consumption in hot and humid environments. Build. Environ. 2017, 123, 378–389. [Google Scholar] [CrossRef]
- He, Y.; Li, N.; Li, N.; Li, J.; Yan, J.; Tan, C. Control behaviors and thermal comfort in a shared room with desk fans and adjustable thermostat. Build. Environ. 2018, 136, 213–226. [Google Scholar] [CrossRef]
- Zhang, Y.; Zhao, R. Effect of local exposure on human responses. Build. Environ. 2007, 42, 2737–2745. [Google Scholar] [CrossRef]
- Ghahramani, A.; Zhang, K.; Dutta, K.; Yang, Z.; Becerik-Gerber, B. Energy saving from temperature setpoints and deadband: Quantifying the influence of building and system properties on savings. Appl. Energy 2016, 165, 930–942. [Google Scholar] [CrossRef] [Green Version]
- Fanger, P.O. Thermal environment-human requirements. Environmentalist 1986, 6, 275–278. [Google Scholar] [CrossRef]
- Taub, M.L. Power to People: Personal Control in Offices for Thermal Comfort and Energy Saving. Master’s Thesis, University of California, Berkeley, CA, USA, 2013. [Google Scholar]
- Luo, M.; Cao, B.; Ji, W.; Ouyang, Q.; Lin, B.; Zhu, Y. The underlying linkage between personal control and thermal comfort: Psychological or physical effects? Energy Build. 2016, 111, 56–63. [Google Scholar] [CrossRef]
- Kim, J.; Schiavon, S.; Brager, G. Personal comfort models—A new paradigm in thermal comfort for occupant-centric environmental control. Build. Environ. 2018, 132, 114–124. [Google Scholar] [CrossRef] [Green Version]
- Maier, J.; Zierke, O.; Hoermann, H.J.; Goerke, P. Effects of personal control for thermal comfort in long-distance trains. Energy Build. 2021, 247, 111125. [Google Scholar] [CrossRef]
- Rissetto, R.; Schweiker, M.; Wagner, A. Personalized ceiling fans: Effects of air motion, air direction and personal control on thermal comfort. Energy Build. 2021, 235, 110721. [Google Scholar] [CrossRef]
- Csáky, I. Air terminal devices developed for personal ventilation systems. Energies 2020, 13, 1688. [Google Scholar] [CrossRef] [Green Version]
- Song, W.; Zhang, Z.; Chen, Z.; Wang, F.; Yang, B. Thermal comfort and energy performance of personal comfort systems (PCS): A systematic review and meta-analysis. Energ. Build. 2021. [Google Scholar] [CrossRef]
- Van Hoof, J. Female thermal demand. Nat. Clim. Chang. 2015, 5, 1029–1030. [Google Scholar] [CrossRef]
- Kingma, B.; van Marken Lichtenbelt, W. Energy consumption in buildings and female thermal demand. Nat. Clim. Chang. 2015, 5, 1054–1056. [Google Scholar] [CrossRef]
- Karjalainen, S. Gender differences in thermal comfort and use of thermostats in everyday thermal environments. Build. Environ. 2007, 42, 1594–1603. [Google Scholar] [CrossRef]
- Jiao, Y.; Yu, H.; Wang, T.; An, Y.; Yu, Y. Thermal comfort and adaption of the elderly in free-running environments in Shanghai, China. Build. Environ. 2017, 118, 259–272. [Google Scholar] [CrossRef]
- Gagnon, D.; Romero, S.A.; Cramer, M.N.; Jay, O.; Crandall, C.G. Cardiac and thermal strain of elderly adults exposed to extreme heat and humidity with and without electric fan use. JAMA 2016, 316, 989–991. [Google Scholar] [CrossRef] [PubMed] [Green Version]
- Wolkoff, P. Dry eye symptoms in offices and deteriorated work performance-a perspective. Build. Environ. 2020, 172, 106704. [Google Scholar] [CrossRef]







| Gender | Age (yr) | Height (m) | Weight (kg) | Body Mass Index (kg/m2) | Body Surface Area (m2) |
|---|---|---|---|---|---|
| Males | 23.8 ± 1.7 | 1.76 ± 0.04 | 67.13 ± 8.29 | 21.70 ± 1.85 | 1.82 ± 0.13 |
| Females | 22.6 ± 2.0 | 1.64 ± 0.05 | 55.13 ± 3.87 | 20.62 ± 1.71 | 1.59 ± 0.07 |
| Overall | 23.1 ± 2.3 | 1.70 ± 0.08 | 66.13 ± 8.80 | 21.16 ± 1.81 | 1.70 ± 0.15 |
| Parameters | Instrument (Type and Manufacturer) | Accuracy |
|---|---|---|
| Air temperature | HOBO U12–012 (Onset Corp., Bourne, MA, USA) | ±0.35 °C |
| Relative humidity | HOBO U12–012 (Onset Corp., Bourne, MA, USA) | ±2.5% |
| Air speed | Swema 03 anemometer (Swema AB, Farsta, Sweden) | ±0.05 m/s |
| CO2 concentration | RTR-576 (T&D Corporation, Nagano, Japan) | ±50 ppm |
Publisher’s Note: MDPI stays neutral with regard to jurisdictional claims in published maps and institutional affiliations. |
© 2021 by the authors. Licensee MDPI, Basel, Switzerland. This article is an open access article distributed under the terms and conditions of the Creative Commons Attribution (CC BY) license (https://creativecommons.org/licenses/by/4.0/).
Share and Cite
Yang, B.; Lei, T.-H.; Yang, P.; Liu, K.; Wang, F. On the Use of Wearable Face and Neck Cooling Fans to Improve Occupant Thermal Comfort in Warm Indoor Environments. Energies 2021, 14, 8077. https://doi.org/10.3390/en14238077
Yang B, Lei T-H, Yang P, Liu K, Wang F. On the Use of Wearable Face and Neck Cooling Fans to Improve Occupant Thermal Comfort in Warm Indoor Environments. Energies. 2021; 14(23):8077. https://doi.org/10.3390/en14238077
Chicago/Turabian StyleYang, Bin, Tze-Huan Lei, Pengfei Yang, Kaixuan Liu, and Faming Wang. 2021. "On the Use of Wearable Face and Neck Cooling Fans to Improve Occupant Thermal Comfort in Warm Indoor Environments" Energies 14, no. 23: 8077. https://doi.org/10.3390/en14238077
APA StyleYang, B., Lei, T.-H., Yang, P., Liu, K., & Wang, F. (2021). On the Use of Wearable Face and Neck Cooling Fans to Improve Occupant Thermal Comfort in Warm Indoor Environments. Energies, 14(23), 8077. https://doi.org/10.3390/en14238077

