Cooperative Control of Microgrids: A Review of Theoretical Frameworks, Applications and Recent Developments
Abstract
:1. Introduction
2. Preliminaries: Graph Theory, Definitions, and Notation
3. Architectures for Voltage-Source Converter-Based Microgrids
3.1. Conventional Control Hierarchy for Automous Operation of Microgrids
3.2. Control of DC/AC Converters on Graphs
4. Theoretical Frameworks for Cooperative Control
4.1. Decomposition and Coordination Algorithms
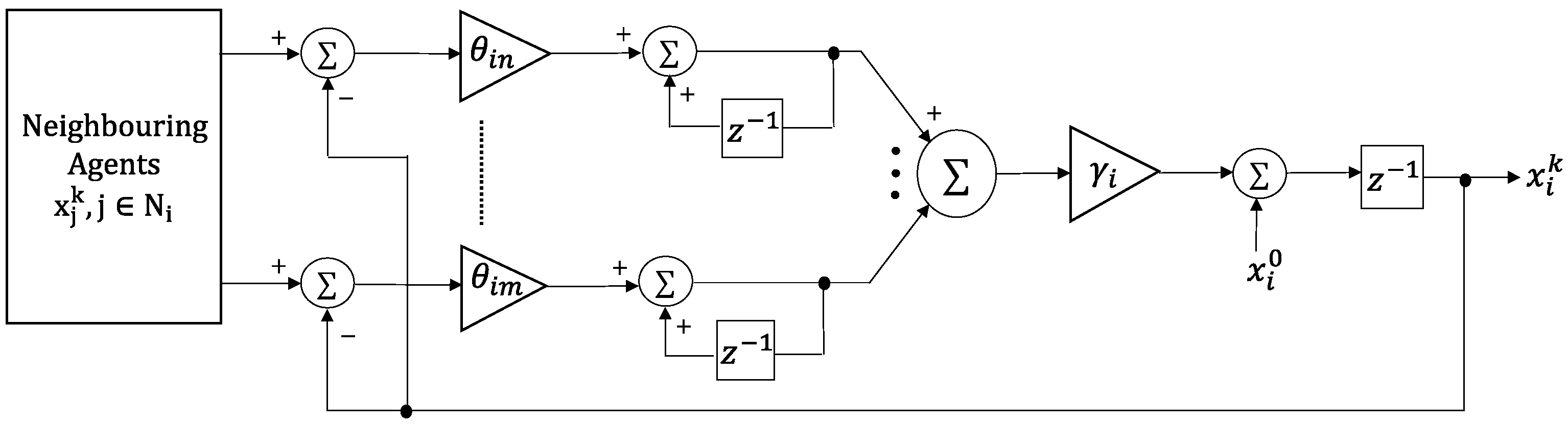
4.2. Multi-Agent Systems Theory and Consensus Problems
- A.
- Cooperative regulator problems (leader-less consensus) or
- B.
- Cooperative tracking problems (leader-follower consensus).
4.2.1. Information Discovery and Distributed Computation
- A.
- Discrete-time consensus problems on graphs.
- B.
- Synchronous versus asynchronous update.
- C.
- Distributed optimization, and the alternating direction multipliers method (ADMM).
4.2.2. Consensus-Based Feedback Control
- A.
- Synchronization tracking for agents with LTI dynamics.
- B.
- Cooperative regulator with single integrator dynamics.
- C.
- Cooperative regulator with second-order dynamics and PI controller [59].
- D.
- Finite-time consensus.
- E.
- Output consensus.
- F.
- Linear interconnected multi-agent systems (LIMAS).
- G.
- LIMAS with proportional and integral control action.
4.2.3. Dynamic Decoupling Assumptions
- Use standard MAS control methods, and either add a disturbance-decoupling control design for measurable disturbance inputs (i.e., bus voltages or output currents), or ignore the disturbance under reasonable boundedness assumptions (e.g., using robust techniques).
- Include both agent physical and communication coupling in the model, utilizing LIMAS methods as described above. The problem can be simplified using small-signal linearization and, for example, active and reactive power decoupling.
- Do not use the linearized model; instead, study the nonlinear dynamic model with cyber–physical interconnections. In this case, other techniques are required, which normally appeal to nonlinear Lyapunov methods, passivity-based control, and research into the synchronization of complex coupled networks, as described in the following paragraphs.
4.2.4. Feedback Linearization and Neuro-Adaptive Agents
4.3. Game-Theoretic Approaches to Distributed Control
4.4. Synchronization of Large-Scale Complex Systems, Passivity-Based Methods, Energy and Stability Functions
5. Information Exchange Using Wireless Networks
5.1. Design Considerations for Packet-Switched Cooperative Networks
5.2. Microgrid Automation Frameworks and Agent-Based Development Platforms
- Autonomy: internal control over actions and behavior
- Social ability: agent communication language
- Reactivity: interact with environment, including stimulus and response
- Pro-activeness: goal-directed behavior
- Reinforcement learning: self-assessment of decisions, performance improvement
6. Application Areas for Cooperative Control of Microgrids
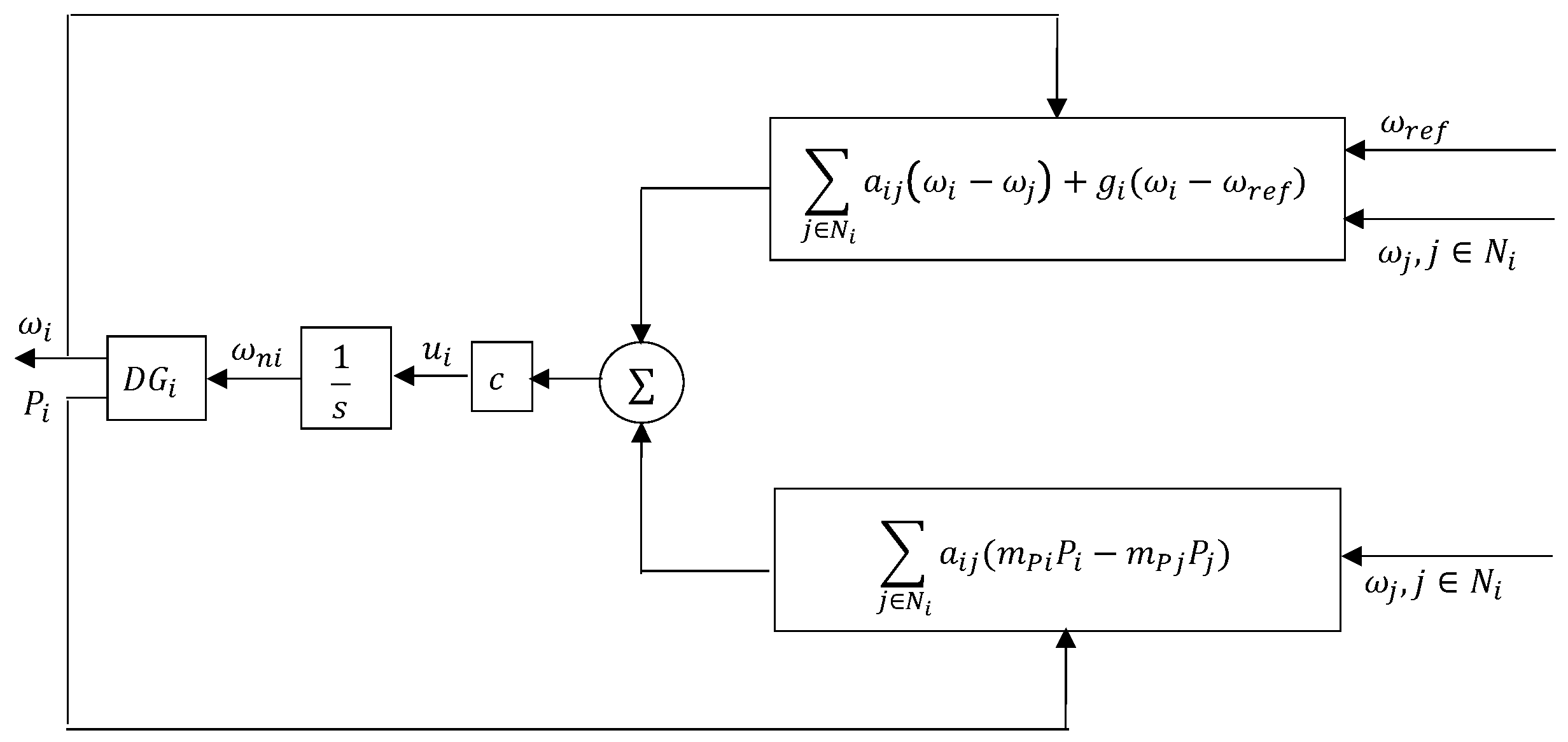
6.1. Secondary Voltage and Frequency Control
6.2. Load Sharing and Network Utilization
6.3. Remedial Action Schemes
6.4. Economic Dispatch and Scheduling
7. Recent Developments and Open Problems
8. Conclusions
Author Contributions
Funding
Institutional Review Board Statement
Informed Consent Statement
Conflicts of Interest
References
- Engler, A. Applicability of droops in low voltage grids. Int. J. Distrib. Energy Resour. 2005, 1, 1–5. [Google Scholar]
- Guerrero, J.M.; Chandorkar, M.; Lee, T.; Loh, P.C. Advanced Control Architectures for Intelligent Microgrids; Part I: Decentralized and Hierarchical Control. Ind. Electron. IEEE Trans. 2013, 60, 1254–1262. [Google Scholar] [CrossRef] [Green Version]
- Parhizi, S.; Lotfi, H.; Khodaei, A.; Bahramirad, S. State of the Art in Research on Microgrids: A Review. IEEE Access 2015, 3, 890–925. [Google Scholar] [CrossRef]
- Elmouatamid, A.; Ouladsine, R.; Bakhouya, M.; El Kamoun, N.; Khaidar, M.; Zine-Dine, K. Review of control and energy management approaches in micro-grid systems. Energies 2021, 14, 168. [Google Scholar] [CrossRef]
- Sofana Reka, S.; Dragičević, T.; Siano, P.; Sahaya Prabaharan, S.R. Future generation 5G wireless networks for smart grid: A comprehensive review. Energies 2019, 12, 2140. [Google Scholar] [CrossRef] [Green Version]
- Zhang, H.; Lewis, F.L.; Das, A. Optimal Design for Synchronization of Cooperative Systems: State Feedback, Observer and Output Feedback. IEEE Trans. Automat. Contr. 2011, 56, 1948–1952. [Google Scholar] [CrossRef]
- Lewis, F.L.; Zhang, H.; Hengster-Movric, K.; Das, A. Cooperative Control of Multi-Agent Systems: Optimal and Adaptive Design Approaches; Springer: London, UK, 2014; Volume 44, ISBN 978-1-4471-5573-7. [Google Scholar]
- Ma, J.; Ma, X.; Ilic, S. HVAC-based cooperative algorithms for demand side management in a microgrid. Energies 2019, 12, 4276. [Google Scholar] [CrossRef] [Green Version]
- Gu, W.; Liu, W.; Wu, Z.; Zhao, B.; Chen, W. Cooperative control to enhance the frequency stability of islanded microgrids with DFIG-SMES. Energies 2013, 6, 3951–3971. [Google Scholar] [CrossRef]
- Jia, Y.; Liu, X.J. Distributed model predictive control of wind and solar generation system. In Proceedings of the 33rd Chinese Control Conference, Nanjing, China, 28–30 July 2014; pp. 7795–7799. [Google Scholar] [CrossRef]
- Venkat, A.N.; Hiskens, I.A.; Rawlings, J.B.; Wright, S.J. Distributed MPC strategies with application to power system automatic generation control. IEEE Trans. Control. Syst. Technol. 2008, 16, 1192–1206. [Google Scholar] [CrossRef]
- Ilic, M.D. Dynamic Monitoring and Decision Systems for Enabling Sustainable Energy Services. Proc. IEEE 2011, 99, 58–79. [Google Scholar] [CrossRef]
- Rocabert, J.; Luna, A.; Blaabjerg, F.; Paper, I. Control of Power Converters in AC Microgrids.pdf. IEEE Trans. Power Electron. 2012, 27, 4734–4749. [Google Scholar] [CrossRef]
- De Brabandere, K.; Bolsens, B.; Van den Keybus, J.; Woyte, A.; Driesen, J.; Belmans, R. A Voltage and Frequency Droop Control Method for Parallel Inverters. IEEE Trans. Power Electron. 2007, 22, 1107–1115. [Google Scholar] [CrossRef]
- Schiffer, J.; Seel, T.; Raisch, J.; Sezi, T. Voltage Stability and Reactive Power Sharing in Inverter-Based Microgrids with Consensus-Based Distributed Voltage Control. IEEE Trans. Control Syst. Technol. 2016, 24, 96–109. [Google Scholar] [CrossRef] [Green Version]
- Delghavi, M.B.; Yazdani, A. A unified control strategy for electronically interfaced distributed energy resources. IEEE Trans. Power Deliv. 2012, 27, 803–812. [Google Scholar] [CrossRef]
- Vasquez, J.C.; Guerrero, J.M.; Savaghebi, M.; Teodorescu, R. Modeling, analysis, and design of stationary reference frame droop controlled parallel three-phase voltage source inverters. IEEE Trans. Ind. Electron. 2013, 60, 1271–1280. [Google Scholar] [CrossRef] [Green Version]
- Schiffer, J.; Zonetti, D.; Ortega, R.; Stanković, A.M.; Sezi, T.; Raisch, J. A survey on modeling of microgrids—From fundamental physics to phasors and voltage sources. Automatica 2016, 74, 135–150. [Google Scholar] [CrossRef] [Green Version]
- Dörfler, F.; Bullo, F. Kron reduction of graphs with applications to electrical networks. IEEE Trans. Circuits Syst. I Regul. Pap. 2013, 60, 150–163. [Google Scholar] [CrossRef] [Green Version]
- Guerrero, J.M.; de Vicuna, L.G.; Matas, J.; Castilla, M.; Miret, J. A wireless controller to enhance dynamic performance of parallel inverters in distributed generation systems. IEEE Trans. Power Electron. 2004, 19, 1205–1213. [Google Scholar] [CrossRef]
- Divshali, P.H.; Alimardani, A.; Hosseinian, S.H.; Abedi, M. Decentralized cooperative control strategy of microsources for stabilizing autonomous VSC-based microgrids. IEEE Trans. Power Syst. 2012, 27, 1949–1959. [Google Scholar] [CrossRef]
- Simpson-Porco, J.W.; Dorfler, F.; Bullo, F. Synchronization and power sharing for droop-controlled inverters in islanded microgrids. Automatica 2013, 49, 2603–2611. [Google Scholar] [CrossRef] [Green Version]
- Dorfler, F.; Chertkov, M.; Bullo, F. Synchronization in complex oscillator networks and smart grids. Proc. Natl. Acad. Sci. USA 2013, 110, 2005–2010. [Google Scholar] [CrossRef] [Green Version]
- Johnson, B.B.; Dhople, S.V.; Cale, J.L.; Hamadeh, A.O.; Krein, P.T. Oscillator-based inverter control for islanded three-phase microgrids. IEEE J. Photovolt. 2014, 4, 387–395. [Google Scholar] [CrossRef]
- Fattahi, J.; Schriemer, H. Algebraic connectivity conditions for synchronization in low-inertia microgrids with adaptive droop-controlled inverters. Int. J. Electr. Power Energy Syst. 2019, 111, 493–507. [Google Scholar] [CrossRef]
- Dhople, S.V.; Johnson, B.B.; Dorfler, F.; Hamadeh, A.O. Synchronization of Nonlinear Circuits in Dynamic Electrical Networks with General Topologies. IEEE Trans. Circuits Syst. I Regul. Pap. 2014, 61, 2677–2690. [Google Scholar] [CrossRef] [Green Version]
- Avila-Becerril, S.; Espinosa-Pérez, G.; Fernandez, P. Dynamic Characterization of Typical Electrical Circuits via Structural Properties. Math. Probl. Eng. 2016, 1–13. [Google Scholar] [CrossRef] [Green Version]
- Wang, J.; Chen, K.; Lewis, F.L. Coordination of multi-agent systems on interacting physical and communication topologies. Syst. Control Lett. 2017, 100, 56–65. [Google Scholar] [CrossRef]
- Tucci, M.; Meng, L.; Guerrero, J.M.; Ferrari-Trecate, G. Stable current sharing and voltage balancing in DC microgrids: A consensus-based secondary control layer. Automatica 2018, 95, 1–13. [Google Scholar] [CrossRef]
- Turan, M.S.; Xu, L.; Ferrari-Trecate, G. Consensusability of linear interconnected multi-agent systems. IFAC-PapersOnLine 2020, 53, 2915–2920. [Google Scholar] [CrossRef]
- Turan, M.S.; Xu, L.; Ferrari-Trecate, G. On Consensusability of Linear Interconnected Multi-Agent Systems and Simultaneous Stabilization. arXiv 2020, arXiv:2010.10632. [Google Scholar] [CrossRef]
- Chen, Y.; Lu, J.; Yu, X.; Hill, D.J. Multi-agent systems with dynamical topologies: Consensus and applications. IEEE Circuits Syst. Mag. 2013, 13, 21–34. [Google Scholar] [CrossRef] [Green Version]
- Ho, Y.C. Team decision theory and information structures. Proc. IEEE 1980, 68, 644–654. [Google Scholar] [CrossRef]
- Cohen, G.; Miara, B. Optimization with an Auxiliary Constraint and Decomposition. SIAM J. Control Optim. 1990, 28, 137–157. [Google Scholar] [CrossRef]
- Arrow, K.J.; Hurwicz, L.; Uzawa, H. Studies in Linear and Non-Linear Programming; Stanford University Press: Stanford, CA, USA, 1958. [Google Scholar]
- Rantzer, A. Dynamic dual decomposition for distributed control. In Proceedings of the American Control Conference, Hyatt Regency Riverfront, St. Louis, MO, USA, 10–12 June 2009; pp. 884–888. [Google Scholar]
- Singh, M.G.; Hassan, M.F.; Titli, A. Multilevel Feedback Control for Interconnected Dynamical Systems Using the Prediction Principle. IEEE Trans. Syst. Man. Cybern. 1976, SMC-6, 233–239. [Google Scholar] [CrossRef]
- Camponogara, E.; Jia, D.; Krogh, B.H.; Talukdar, S. Distributed model predictive control. IEEE Control Syst. Mag. 2002, 22, 44–52. [Google Scholar]
- Venkat, A.N.; Hiskens, I.A.; Rawlings, J.B.; Wright, S.J. Distributed output feedback MPC for power system control. In Proceedings of the 45th IEEE Conference on Decision and Control, San Diego, CA, USA, 13–15 December 2006; pp. 4038–4045. [Google Scholar]
- Swigart, J.; Lall, S. A graph-theoretic approach to distributed control over networks. In Proceedings of the 48th IEEE Conference on Decision and Control (CDC) Held Jointly with the 28th Chinese Control Conference, Shanghai, China, 15–18 December 2009; pp. 5409–5414. [Google Scholar] [CrossRef]
- Dagdougui, H.; Sacile, R. Decentralized control of the power flows in a network of smart microgrids modeled as a team of cooperative agents. IEEE Trans. Control Syst. Technol. 2014, 22, 510–519. [Google Scholar] [CrossRef]
- Deroo, F.; Ulbrich, M.; Anderson, B.D.O.; Hirche, S. Accelerated iterative distributed controller synthesis with a Barzilai-Borwein step size. In Proceedings of the IEEE Conference on Decision and Control, Maui, HI, USA, 10–13 December 2012; pp. 4864–4870. [Google Scholar]
- Elizabeth, F.Q.; Karl, M.; Rantzer, A. A Scalable Method for Continuous-Time Distributed Control Synthesis. In Proceedings of the 2012 American Control Conference (ACC), Montreal, QC, Canada, 27–29 June 2012; pp. 6308–6313. [Google Scholar]
- Fax, J.A.; Murray, R.M. Information Flow and Cooperative Control of Vehicle Formations. IEEE Trans. Autom. Control 2004, 49, 1465–1476. [Google Scholar] [CrossRef] [Green Version]
- Olfati-Saber, R.; Fax, J.A.; Murray, R.M. Consensus and cooperation in networked multi-agent systems. Proc. IEEE 2007, 95, 215–233. [Google Scholar] [CrossRef] [Green Version]
- Tsitsiklis, J.N.; Bertsekas, D.P.; Athans, M. Distributed Asynchronous Deterministic and Stochastic Gradient Optimization Algorithms. IEEE Trans. Automat. Control 1986, 31, 803–812. [Google Scholar] [CrossRef] [Green Version]
- Cortés, J. Distributed algorithms for reaching consensus on general functions. Automatica 2008, 44, 726–737. [Google Scholar] [CrossRef]
- Lewis, F.L.; Zhang, H.; Hengster-Movric, K.; Das, A. Cooperative Control of Multi-Agent Systems: Optimal and Adaptive Design Approaches; Springer: London, UK, 2013; ISBN 9781447155744. [Google Scholar]
- Liang, H.; Choi, B.J.; Zhuang, W.; Shen, X.; Awad, A.S.A.; Abdr, A. Multiagent coordination in microgrids via wireless networks. IEEE Wirel. Commun. 2012, 19, 14–22. [Google Scholar] [CrossRef] [Green Version]
- Liang, H.; Choi, B.J.; Abdrabou, A.; Zhuang, W.; Shen, X. Decentralized economic dispatch in microgrids via heterogeneous wireless networks. IEEE J. Sel. Areas Commun. 2012, 30, 1061–1074. [Google Scholar] [CrossRef] [Green Version]
- Mehyar, M.; Spanos, D.; Pongsajapan, J.; Low, S.H.; Murray, R.M. Asynchronous distributed averaging on communication networks. IEEE/ACM Trans. Netw. 2007, 15, 512–520. [Google Scholar] [CrossRef] [Green Version]
- Meng, L.; Zhao, X.; Tang, F.; Savaghebi, M.; Dragicevic, T.; Vasquez, J.C.; Guerrero, J.M. Distributed Voltage Unbalance Compensation in Islanded Microgrids by Using a Dynamic Consensus Algorithm. IEEE Trans. Power Electron. 2016, 31, 827–838. [Google Scholar] [CrossRef] [Green Version]
- Šulc, P.; Backhaus, S.; Chertkov, M. Optimal distributed control of reactive power via the alternating direction method of multipliers. IEEE Trans. Energy Convers. 2014, 29, 968–977. [Google Scholar] [CrossRef] [Green Version]
- Lu, L.Y.; Chu, C.C. Consensus-based distributed droop control of VSGs for isolated AC micro-grids by ADMMs. In Proceedings of the 2016 IEEE International Symposium on Circuits and Systems (ISCAS), Montreal, QC, Canada, 22–25 May 2016; pp. 2138–2141. [Google Scholar] [CrossRef]
- Wang, H.; Chen, X. A fast alternating direction method of multipliers algorithm for big data applications. IEEE Access 2020, 8, 20607–20615. [Google Scholar] [CrossRef]
- Li, Z.; Wen, G.; Duan, Z.; Ren, W. Designing Fully Distributed Consensus Protocols for Linear Multi-Agent Systems with Directed Graphs. IEEE Trans. Automat. Control 2015, 60, 1152–1157. [Google Scholar] [CrossRef] [Green Version]
- ROlfati-Saber, R.; Murray, R.M. Consensus Problems in Networks of Agents with Switching Topology and Time-Delays. IEEE Trans. Automat. Control 2004, 49, 1520–1533. [Google Scholar] [CrossRef] [Green Version]
- Mumtaz, M.A.; Khan, M.M.; Fang, X.; Shahid, M.U.; Faiz, M.T. Structural improvements in consensus-based cooperative control of DC microgrids. Electronics 2019, 8, 187. [Google Scholar] [CrossRef] [Green Version]
- Andreasson, M.; Dimarogonas, D.V.; Sandberg, H.; Johansson, K.H. Distributed control of networked dynamical systems: Static feedback, integral action and consensus. IEEE Trans. Automat. Control 2014, 59, 1750–1764. [Google Scholar] [CrossRef] [Green Version]
- Networks, S.M.; Guan, Z.; Sun, F.; Wang, Y.; Li, T. Finite-Time Consensus for Leader-Following second-order multi-agent networks. IEEE Trans. Circuits Syst. I Regul. Pap. 2012, 59, 2646–2654. [Google Scholar]
- Bidram, A.; Davoudi, A.; Lewis, F.L. Finite-time frequency synchronization in microgrids. In Proceedings of the 2014 IEEE Energy Conversion Congress and Exposition (ECCE), Pittsburgh, PA, USA, 14–18 September 2014; Volume 111, pp. 2648–2654. [Google Scholar] [CrossRef] [Green Version]
- Isidori, A.; Marconi, L.; Casadei, G. Robust output synchronization of a network of heterogeneous nonlinear agents via nonlinear regulation theory. IEEE Trans. Automat. Control 2014, 59, 2680–2691. [Google Scholar] [CrossRef] [Green Version]
- Burbano Lombana, D.A.; Di Bernardo, M. Multiplex PI control for consensus in networks of heterogeneous linear agents. Automatica 2016, 67, 310–320. [Google Scholar] [CrossRef] [Green Version]
- Bidram, A.; Davoudi, A.; Lewis, F.L.; Guerrero, J.M. Distributed Cooperative Secondary Control of Microgrids Using Feedback Linearization. IEEE Trans. Power Syst. 2013, 28, 3462–3470. [Google Scholar] [CrossRef] [Green Version]
- Zhang, H.; Lewis, F.L.; Qu, Z. Lyapunov, adaptive, and optimal design techniques for cooperative systems on directed communication graphs. IEEE Trans. Ind. Electron. 2012, 59, 3026–3041. [Google Scholar] [CrossRef]
- Fan, L.L.; Nasirian, V.; Modares, H.; Lewis, F.L.; Song, Y.D.; Davoudi, A. Game-Theoretic Control of Active Loads in DC Microgrids. IEEE Trans. Energy Convers. 2016, 31, 882–895. [Google Scholar] [CrossRef]
- Vamvoudakis, K.G.; Lewis, F.L. Multi-player non-zero-sum games: Online adaptive learning solution of coupled HamiltonJacobi equations. Automatica 2011, 47, 1556–1569. [Google Scholar] [CrossRef]
- Pecora, L.M.; Carroll, T.L. Master stability functions for synchronized coupled systems. Phys. Rev. Lett. 1998, 80, 2109–2112. [Google Scholar] [CrossRef]
- Li, X.; Wang, X.; Chen, G. Pinning a complex dynamical network to its equilibrium. IEEE Trans. Circuits Syst. I Regul. Pap. 2004, 51, 2074–2087. [Google Scholar] [CrossRef]
- Liu, Y.; Zhao, J. Generalized output synchronization of dynamical networks using output quasi-passivity. IEEE Trans. Circuits Syst. I Regul. Pap. 2012, 59, 1290–1298. [Google Scholar] [CrossRef]
- Bai, H.; Arcak, M.; Wen, J. Passivity As a design tool for cooperative control. Commun. Control Eng. 2011, 89, 19–49. [Google Scholar] [CrossRef]
- Lu, L.Y.; Chu, C.C. Consensus-Based Droop Control Synthesis for Multiple DICs in Isolated Micro-Grids. IEEE Trans. Power Syst. 2015, 30, 2243–2256. [Google Scholar] [CrossRef]
- Cupelli, M.; Gurumurthy, S.K.; Bhanderi, S.K.; Yang, Z.; Joebges, P.; Monti, A.; De Doncker, R.W. Port controlled hamiltonian modeling and ida-pbc control of dual active bridge converters for dc microgrids. IEEE Trans. Ind. Electron. 2019, 66, 9065–9075. [Google Scholar] [CrossRef]
- Lee, S.J.; Oh, K.K.; Ahn, H.S. Passivity-based output synchronisation of port-controlled Hamiltonian and general linear interconnected systems. IET Control Theory Appl. 2013, 7, 234–245. [Google Scholar] [CrossRef]
- Jubin, J.; Tornow, J.D. The DARPA packet radio network protocols. Proc. IEEE 1987, 75, 21–32. [Google Scholar] [CrossRef]
- Vanka, S.; Haenggi, M.; Gupta, V. Convergence speed of the consensus algorithm with interference and sparse long-range connectivity. IEEE J. Sel. Top. Signal. Process. 2011, 5, 855–865. [Google Scholar] [CrossRef] [Green Version]
- Liu, E.; Zhang, Q.; Leung, K.K. Clique-based utility maximization in wireless mesh networks. IEEE Trans. Wirel. Commun. 2011, 10, 948–957. [Google Scholar] [CrossRef]
- Bianchi, G. Performance analysis of the IEEE 802.11 distributed coordination\nfunction. IEEE J. Sel. Areas Commun. 2000, 18, 535–547. [Google Scholar] [CrossRef]
- Wang, Q.; Jaffres-Runser, K.; Xu, Y.; Scharbarg, J.; An, Z.; Fraboul, C. TDMA Versus CSMA/CA for Wireless Multihop Communications: A Stochastic Worst-Case Delay Analysis. IEEE Trans. Ind. Inform. 2017, 13, 877–887. [Google Scholar] [CrossRef] [Green Version]
- Wang, P.; Jiang, H.; Zhuang, W. A new MAC scheme supporting voice/data traffic in wireless ad hoc networks. IEEE Trans. Mob. Comput. 2008, 7, 1491–1503. [Google Scholar] [CrossRef] [Green Version]
- Wang, P.; Zhuang, W. A collision-free MAC scheme for multimedia wireless mesh backbone. IEEE Trans. Wirel. Commun. 2009, 8, 3577–3589. [Google Scholar] [CrossRef] [Green Version]
- Gao, J.; Zhuang, W.; Li, M.; Shen, X.; Li, X. MAC for Machine-Type Communications in Industrial IoT—Part I: Protocol Design and Analysis. IEEE Internet Things J. 2021, 8, 9945–9957. [Google Scholar] [CrossRef]
- Aijaz, A.; Aghvami, A.H. PRMA-Based Cognitive Machine-to-Machine Communications in Smart Grid Networks. IEEE Trans. Veh. Technol. 2015, 64, 3608–3623. [Google Scholar] [CrossRef]
- Khan, A.A.; Rehmani, M.H.; Reisslein, M. Cognitive radio for smart grids: Survey of architectures, spectrum sensing mechanisms, and networking protocols. IEEE Commun. Surv. Tutor. 2016, 18, 860–898. [Google Scholar] [CrossRef]
- Siris, V.A.; Stamatakis, G.; Tragos, E. A simple end-to-end throughput model for 802.11 multi-radio multi-rate wireless mesh networks. IEEE Commun. Lett. 2011, 15, 635–637. [Google Scholar] [CrossRef] [Green Version]
- Xing, M.; Deng, F.; Hu, Z. Sampled-Data Consensus for Multiagent Systems with Time Delays and Packet Losses. IEEE Trans. Syst. Man. Cybern. Syst. 2020, 50, 203–210. [Google Scholar] [CrossRef]
- Xu, H.; Jagannathan, S.; Lewis, F.L. Stochastic optimal control of unknown linear networked control system in the presence of random delays and packet losses. Automatica 2012, 48, 1017–1030. [Google Scholar] [CrossRef]
- Munz, U.; Papachristodoulou, A.; Allgower, F. Multi-agent system consensus in packet-switched networks. In Proceedings of the 2007 European Control Conference (ECC), Kos, Greece, 2–5 July 2007; pp. 4598–4603. [Google Scholar] [CrossRef]
- Selim, S.Z.; Mahmoud, M.S.; Baig, M.H.; Shi, P. New results on networked control systems with non-stationary packet dropouts. IET Control Theory Appl. 2012, 6, 2442–2452. [Google Scholar] [CrossRef]
- Fridman, E. Tutorial on Lyapunov-based methods for time-delay systems. Eur. J. Control 2014, 20, 271–283. [Google Scholar] [CrossRef]
- Pilloni, A.; Pisano, A. Robust Distributed Secondary Voltage Restoration Control of AC Microgrids under Multiple Communication Delays. Energies 2021, 14, 1165. [Google Scholar]
- Lou, G.; Gu, W.; Xu, Y.; Jin, W.; Du, X. Stability Robustness for Secondary Voltage Control in Autonomous Microgrids with Consideration of Communication Delays. IEEE Trans. Power Syst. 2018, 33, 4164–4178. [Google Scholar] [CrossRef]
- Coelho, E.A.A.; Wu, D.; Guerrero, J.M.; Vasquez, J.C.; Dragičević, T.; Stefanović, Č.; Popovski, P. Small-Signal Analysis of the Microgrid Secondary Control Considering a Communication Time Delay. IEEE Trans. Ind. Electron. 2016, 63, 6257–6269. [Google Scholar] [CrossRef] [Green Version]
- Liu, J.; Gusrialdi, A.; Obradovic, D.; Hirche, S. Study on the effect of time delay on the performance of Distributed Power Grids with networked cooperative control. IFAC Proc. Vol. 2009, 42, 168–173. [Google Scholar] [CrossRef] [Green Version]
- Narayanan, V.; Jagannathan, S. Event-triggered distributed approximate optimal state and output control of affine nonlinear interconnected systems. IEEE Trans. Neural Netw. Learn. Syst. 2018, 29, 2846–2856. [Google Scholar] [CrossRef] [PubMed]
- Wan, X.; Tian, Y.; Wu, J.; Ding, X.; Tu, H. Distributed event-triggered secondary recovery control for islanded microgrids. Electronics 2021, 10, 1749. [Google Scholar] [CrossRef]
- Blair, S.M.; Coffele, F.; Booth, C.D.; Burt, G.M. An open platform for rapid-prototyping protection and control schemes with IEC 61850. IEEE Trans. Power Deliv. 2013, 28, 1103–1110. [Google Scholar] [CrossRef] [Green Version]
- Deng, W.; Pei, W.; Shen, Z.; Zhao, Z. IEC 61850 based testbed for micro-grid operation, control and protection. In Proceedings of the 5th IEEE International Conference on Electric Utility Deregulation, Restructuring and Power Technologies, DRPT, Changsha, China, 26–29 November 2015; pp. 2154–2159. [Google Scholar]
- Rinaldi, S.; Ferrari, P.; Ali, N.M.; Gringoli, F. IEC 61850 for micro grid automation over heterogeneous network: Requirements and real case deployment. In Proceedings of the 2015 IEEE 13th International Conference on Industrial Informatics (INDIN), Cambridge, UK, 22–24 July 2015; pp. 923–930. [Google Scholar] [CrossRef]
- Deng, W.; Pei, W.; Shen, Z.; Zhao, Z.; Qu, H. Adaptive micro-grid operation based on IEC 61850. Energies 2015, 8, 4455–4475. [Google Scholar] [CrossRef] [Green Version]
- Huang, K.; Cartes, D.A.; Srivastava, S.K. A Multiagent-Based Algorithm for Ring-Structured Shipboard Power System Reconfiguration. IEEE Trans. Syst. Man. Cybern. Part C (Appl. Rev.) 2007, 37, 1016–1021. [Google Scholar] [CrossRef]
- McArthur, S.D.J.; Davidson, E.M.; Catterson, V.M.; Dimeas, A.L.; Hatziargyriou, N.D.; Ponci, F.; Funabashi, T. Multi-agent systems for power engineering applications—Part I: Concepts, approaches, and technical challenges. IEEE Trans. Power Syst. 2007, 22, 1743–1752. [Google Scholar] [CrossRef] [Green Version]
- McArthur, S.D.J.; Davidson, E.M.; Catterson, V.M.; Dimeas, A.L.; Hatziargyriou, N.D.; Ponci, F.; Funabashi, T. Multi-agent systems for power engineering applications—Part II: Technologies, standards, and tools for building multi-agent systems. IEEE Trans. Power Syst. 2007, 22, 1753–1759. [Google Scholar] [CrossRef] [Green Version]
- Ma, Z.; Schultz, M.J.; Christensen, K.; Værbak, M.; Demazeau, Y.; Jørgensen, B.N. The application of ontologies in multi-agent systems in the energy sector: A scoping review. Energies 2019, 12, 3200. [Google Scholar] [CrossRef] [Green Version]
- Arbab-Zavar, B.; Palacios-Garcia, E.J.; Vasquez, J.C.; Guerrero, J.M. Message Queuing Telemetry Transport Communication Infrastructure for Grid-Connected AC Microgrids Management. Energies 2021, 14, 5610. [Google Scholar] [CrossRef]
- Bani-Ahmed, A.; Weber, L.; Nasiri, A.; Hosseini, H.; Ahmed, A.B.; Weber, L.; Nasiri, A. Microgrid communications: State of the art and future trends. In Proceedings of the 2014 International Conference on Renewable Energy Research and Application (ICRERA), Milwaukee, WI, USA, 19–22 October 2014; pp. 780–785. [Google Scholar] [CrossRef]
- Liu, Y.; Yang, X.; Wen, W.; Xia, M. Smarter Grid in the 5G Era: A Framework Integrating Power Internet of Things with a Cyber Physical System. Front. Commun. Netw. 2021, 2, 23. [Google Scholar] [CrossRef]
- Pogaku, N.; Prodanović, M.; Green, T.C. Modeling, analysis and testing of autonomous operation of an inverter-based microgrid. IEEE Trans. Power Electron. 2007, 22, 613–625. [Google Scholar] [CrossRef] [Green Version]
- Slotine, J.; Li, W. Applied Nonlinear Control; Prentice-Hall, Inc.: Upper Saddle River, NJ, USA, 1991; ISBN 0-13-040890-5. [Google Scholar]
- Bidram, A.; Davoudi, A.; Lewis, F.L.; Ge, S.S. Distributed adaptive voltage control of inverter-based microgrids. IEEE Trans. Energy Convers. 2014, 29, 862–872. [Google Scholar] [CrossRef]
- Smith, E.; Robinson, D.A.; Agalgaonkar, A. Cooperative secondary voltage control of static converters in a microgrid using model-free reinforcement learning. In Proceedings of the 21st European Conference on Power Electronics and Applications (EPE’19 ECCE Europe), Genova, Italy, 3–5 September 2019. [Google Scholar] [CrossRef]
- Mahmoud, M.S.; AL-Sunni, F.M. Control and Optimization of Distributed Generation Systems; Springer International Publishing: Cham, Switzerland, 2015; ISBN 978-3-319-16909-5. [Google Scholar]
- Ullah, S.; Khan, L.; Jamil, M.; Jafar, M.; Mumtaz, S.; Ahmad, S. A finite-time robust distributed cooperative secondary control protocol for droop-based islanded ac microgrids. Energies 2021, 14, 2936. [Google Scholar] [CrossRef]
- Dehkordi, N.M.; Sadati, N.; Hamzeh, M. Fully Distributed Cooperative Secondary Frequency and Voltage Control of Islanded Microgrids. IEEE Trans. Energy Convers. 2017, 32, 675–685. [Google Scholar] [CrossRef]
- Zhou, J.; Tsai, M.J.; Cheng, P.T. Consensus-Based Cooperative Droop Control for Accurate Reactive Power Sharing in Islanded AC Microgrid. IEEE J. Emerg. Sel. Top. Power Electron. 2020, 8, 1108–1116. [Google Scholar] [CrossRef]
- Alhasnawi, B.N.; Jasim, B.H.; Sedhom, B.E.; Hossain, E.; Guerrero, J.M. A new decentralized control strategy of microgrids in the internet of energy paradigm. Energies 2021, 14, 2183. [Google Scholar] [CrossRef]
- Xin, H.; Qu, Z.; Seuss, J.; Maknouninejad, A. A self-organizing strategy for power flow control of photovoltaic generators in a distribution network. IEEE Trans. Power Syst. 2011, 26, 1462–1473. [Google Scholar] [CrossRef]
- Liu, W.; Gu, W.; Sheng, W.; Meng, X.; Xue, S.; Chen, M. Pinning-Based Distributed Cooperative Control for Autonomous Microgrids Under Uncertain Communication Topologies. IEEE Trans. Power Syst. 2015, 31, 1320–1329. [Google Scholar] [CrossRef]
- Chen, F.; Chen, Z.; Xiang, L.; Liu, Z.; Yuan, Z. Reaching a consensus via pinning control. Automatica 2009, 45, 1215–1220. [Google Scholar] [CrossRef]
- Erseghe, T.; Zennaro, D.; Dall’Anese, E.; Vangelista, L. Fast Consensus by the Alternating Direction Multipliers Method. IEEE Trans. Signal. Process. 2011, 59, 5523–5537. [Google Scholar] [CrossRef]
- Kim, J.Y.; Jeon, J.H.; Kim, S.K.; Cho, C.; Park, J.H.; Kim, H.M.; Nam, K.Y. Cooperative control strategy of energy storage system and microsources for stabilizing the microgrid during islanded operation. IEEE Trans. Power Electron. 2010, 25, 3037–3048. [Google Scholar] [CrossRef]
- Sheng, W.; Hong, Y.; Wu, M.; Ji, Y. A cooperative control scheme for AC/DC hybrid autonomous microgrids. Processes 2020, 8, 311. [Google Scholar] [CrossRef] [Green Version]
- He, J.; Wu, X.; Wu, X.; Xu, Y.; Guerrero, J.M. Small-Signal Stability Analysis and Optimal Parameters Design of Microgrid Clusters. IEEE Access 2019, 7, 36896–36909. [Google Scholar] [CrossRef]
- Cintuglu, M.H.; Ma, T.; Mohammed, O. Protection of Autonomous Microgrids using Agent-Based Distributed Communication. IEEE Trans. Power Deliv. 2016, 8977, 351–360. [Google Scholar] [CrossRef]
- Xu, Y.; Liu, W. Novel multiagent based load restoration algorithm for microgrids. IEEE Trans. Smart Grid 2011, 2, 140–149. [Google Scholar] [CrossRef]
- Yi, P.; Hong, Y.; Liu, F. Distributed gradient algorithm for constrained optimization with application to load sharing in power systems. Syst. Control Lett. 2015, 83, 45–52. [Google Scholar] [CrossRef]
- Deng, Z.; Liang, S.; Hong, Y. Distributed continuous-time algorithms for resource allocation problems over weight-balanced digraphs. IEEE Trans. Cybern. 2018, 48, 3116–3125. [Google Scholar] [CrossRef]
- Yildirim, K.S.; Carli, R.; Schenato, L.; Todescato, M. A distributed dual-ascent approach for power control of wireless power transfer networks. In Proceedings of the 2017 IEEE 56th Annual Conference on Decision and Control (CDC), Melbourne, VIC, Australia, 12–15 December 2017; pp. 3507–3512. [Google Scholar]
- Hosseinzadeh, M.; Schenato, L.; Garone, E. A distributed optimal power management system for microgrids with plug & play capabilities. Adv. Control Appl. 2021, 3, e65. [Google Scholar] [CrossRef]
- Lee, J.W.; Kim, M.K.; Kim, H.J. A multi-agent based optimization model for microgrid operation with hybrid method using game theory strategy. Energies 2021, 14, 603. [Google Scholar] [CrossRef]
- Harmouch, F.Z.; Ebrahim, A.F.; Esfahani, M.M.; Krami, N.; Hmina, N.; Mohammed, O.A. An optimal energy management system for real-time operation of multiagent-based microgrids using a T-cell algorithm. Energies 2019, 14, 3004. [Google Scholar] [CrossRef] [Green Version]
- Saad, W.; Han, Z.; Poor, H.V. Coalitional game theory for cooperative micro-grid distribution networks. In Proceedings of the IEEE International Conference on Communications, Kyoto, Japan, 5–9 June 2011; pp. 6–10. [Google Scholar]
- Fathi, M.; Bevrani, H. Statistical cooperative power dispatching in interconnected microgrids. IEEE Trans. Sustain. Energy 2013, 4, 586–593. [Google Scholar] [CrossRef]
- Varaiya, P.P.; Wu, F.F.; Bialek, J.W. Smart Operation of Smart Grid: Risk-Limiting Dispatch. Proc. IEEE 2008, 99, 40–57. [Google Scholar] [CrossRef]
- Kang, W.; Chen, M.; Lai, W.; Luo, Y. Distributed real-time power management of high-penetrated PV sources with voltage regulation over time-varying networks. Int. J. Electr. Power Energy Syst. 2021, 129, 106720. [Google Scholar] [CrossRef]
- Wang, Y.; Syed, M.H.; Guillo-Sansano, E.; Xu, Y.; Burt, G.M. Inverter-Based Voltage Control of Distribution Networks: A Three-Level Coordinated Method and Power Hardware-in-The-Loop Validation. IEEE Trans. Sustain. Energy 2020, 11, 2380–2391. [Google Scholar] [CrossRef] [Green Version]
- Li, J.; Liu, C.; Khodayar, M.E.; Wang, M.H.; Xu, Z.; Zhou, B.; Li, C. Distributed Online VAR Control for Unbalanced Distribution Networks with Photovoltaic Generation. IEEE Trans. Smart Grid 2020, 11, 4760–4772. [Google Scholar] [CrossRef]
- Hebal, S.; Harous, S.; Mechta, D. Energy Routing Challenges and Protocols in Energy Internet: A Survey. J. Electr. Eng. Technol. 2021, 16, 3197–3212. [Google Scholar] [CrossRef]
- Kim, S.; Hyon, S.; Kim, C. Distributed virtual negative-sequence impedance control for accurate imbalance power sharing in islanded microgrids. Sustain. Energy Grids Netw. 2018, 16, 28–36. [Google Scholar] [CrossRef]
- Smith, E.; Robinson, D.A.; Ciufo, P. Secondary control of voltage & current unbalance in a multi-bus microgrid using cooperative adjustment of Q-droop gains. In Proceedings of the 2017 Australasian Universities Power Engineering Conference (AUPEC), Melbourne, VIC, Australia, 19–22 November 2017. [Google Scholar] [CrossRef] [Green Version]
- Vamvoudakis, K.G.; Hespanha, J.P. Online Optimal Operation of Parallel Voltage-Source Inverters Using Partial Information. IEEE Trans. Ind. Electron. 2017, 64, 4296–4305. [Google Scholar] [CrossRef]
- Massenio, P.R.; Naso, D.; Lewis, F.L.; Davoudi, A. Assistive Power Buffer Control via Adaptive Dynamic Programming. IEEE Trans. Energy Convers. 2020, 35, 1534–1546. [Google Scholar] [CrossRef]
- Uslar, M.; Rohjans, S.; Neureiter, C.; Andrén, F.P.; Velasquez, J.; Steinbrink, C.; Efthymiou, V.; Migliavacca, G.; Horsmanheimo, S.; Brunner, H.; et al. Applying the smart grid architecture model for designing and validating system-of-systems in the power and energy domain: A European perspective. Energies 2019, 12, 258. [Google Scholar] [CrossRef] [Green Version]
- Ahmad, A.; Rehmani, M.H.; Tembine, H.; Mohammed, O.A.; Jamalipour, A. IEEE Access Special Section Editorial: Optimization for Emerging Wireless Networks: IoT, 5G, and Smart Grid Communication Networks. IEEE Access 2017, 5, 2096–2099. [Google Scholar] [CrossRef]











| Symbol | Definition |
|---|---|
| Index variable for agent number i | |
| Index variable for agent number j | |
| Total number of agents N | |
| Communication graph | |
| Laplacian matrix | |
| Performance cost | |
| Active power | |
| Reactive power | |
| Power angle | |
| Phase angle | |
| Frequency | |
| Eigenvalue or Lagrange multiplier | |
| Voltage | |
| Current | |
| Gain |
| Technology | Standards | Data Rate | Distance | Latency | Fixed Cost |
|---|---|---|---|---|---|
| ZigBee | IEEE 802.15.4 | <1 Mbps | 100 m | 50 ms | Low |
| IEEE 802.11ax | >1 Gbps | 70 m | 3 ms | Medium | |
| WLAN | IEEE 802.11ac | 100 Mbps–1 Gbps) | 70 m | 10 ms | Low |
| IEEE 802.11n | 1–100 Mbps | 50 m | 15 ms | Low | |
| IEEE 802.11g | 1–100 Mbps | 50 m | 15 ms | Low | |
| Cellular | 3G | 100 Mbps–1 Gbps | 100 ms | Low | |
| 4G | 100 Mbps–1 Gbps | 35 km | 10 ms | Low | |
| 5G | >1 Gbps | <1 ms | Medium | ||
| WiMAX | IEEE 802.16 | 1–100 Mbps | 30 km | 50 ms | High |
| No. | Priority | |||
|---|---|---|---|---|
| 1 | 40 | 0 | 40 | - |
| 2 | 40 | 0 | 40 | - |
| 3 | 50 | 0 | 50 | - |
| 4 | 0 | 20 | −25 | P2 |
| 5 | 0 | 35 | −35 | P2 |
| 6 | 0 | 20 | −20 | P1 |
| 7 | 0 | 15 | −15 | P2 |
| 8 | 0 | 25 | −25 | P1 |
| 9 | 0 | 5 | −5 | P1 |
| 10 | 0 | 30 | −30 | P2 |
| 11 | 40 | 0 | 40 | - |
| 12 | 0 | 45 | −45 | P2 |
| 13 | 0 | 10 | −10 | P2 |
| 14 | 0 | 40 | −40 | P2 |
| 15 | 30 | 0 | 30 | - |
| 16 | 50 | 0 | 50 | - |
Publisher’s Note: MDPI stays neutral with regard to jurisdictional claims in published maps and institutional affiliations. |
© 2021 by the authors. Licensee MDPI, Basel, Switzerland. This article is an open access article distributed under the terms and conditions of the Creative Commons Attribution (CC BY) license (https://creativecommons.org/licenses/by/4.0/).
Share and Cite
Smith, E.; Robinson, D.; Agalgaonkar, A. Cooperative Control of Microgrids: A Review of Theoretical Frameworks, Applications and Recent Developments. Energies 2021, 14, 8026. https://doi.org/10.3390/en14238026
Smith E, Robinson D, Agalgaonkar A. Cooperative Control of Microgrids: A Review of Theoretical Frameworks, Applications and Recent Developments. Energies. 2021; 14(23):8026. https://doi.org/10.3390/en14238026
Chicago/Turabian StyleSmith, Edward, Duane Robinson, and Ashish Agalgaonkar. 2021. "Cooperative Control of Microgrids: A Review of Theoretical Frameworks, Applications and Recent Developments" Energies 14, no. 23: 8026. https://doi.org/10.3390/en14238026
APA StyleSmith, E., Robinson, D., & Agalgaonkar, A. (2021). Cooperative Control of Microgrids: A Review of Theoretical Frameworks, Applications and Recent Developments. Energies, 14(23), 8026. https://doi.org/10.3390/en14238026

