A Validation Roadmap of Multi-Physics Simulators of the Resonator of MW-Class CW Gyrotrons for Fusion Applications
Abstract
:1. Introduction
- A porous metal matrix made of mm-size copper Raschig rings (RR) [11], brazed together using an Au alloy. This solution has been adopted so far for the tubes manufactured in Europe. Cavities cooled using RR are inserted in the 140 GHz, 1 MW gyrotrons currently installed at W7-X [12], in the dual frequency devices commissioned in the TCV at the EPFL (Lausanne Switzerland) [11,13], and in the EU 1 MW 170 GHz first industrial prototype gyrotron [14] targeting ITER specifications [15,16]. RR-cooled cavities are also under design for the upgraded 1.5 MW gyrotron for W7-X [17] and for the next version of the EU 1 MW 170 GHz gyrotron. A sketch of this cooling configuration is shown in Figure 2a.
- Longitudinal mini-channels (i.e., channels with a characteristic dimension of the cross section of the order of the millimeter, see Figure 2b), probably adopted in the 170 GHz, 1 MW Japanese gyrotrons [18] for ITER [19]. This technique is under consideration in Europe as an alternative for the upgrade of the W7-X gyrotrons to 1.5 MW.
- Azimuthal micro-channels (i.e., channels with a characteristic dimension of the cross section below the millimeter), most likely adopted in the Russian design of the MW-class gyrotrons, on which very rare info in published literature is present. A sketch of this configuration is reported in Figure 2c.
2. Status of the Simulator Calibration
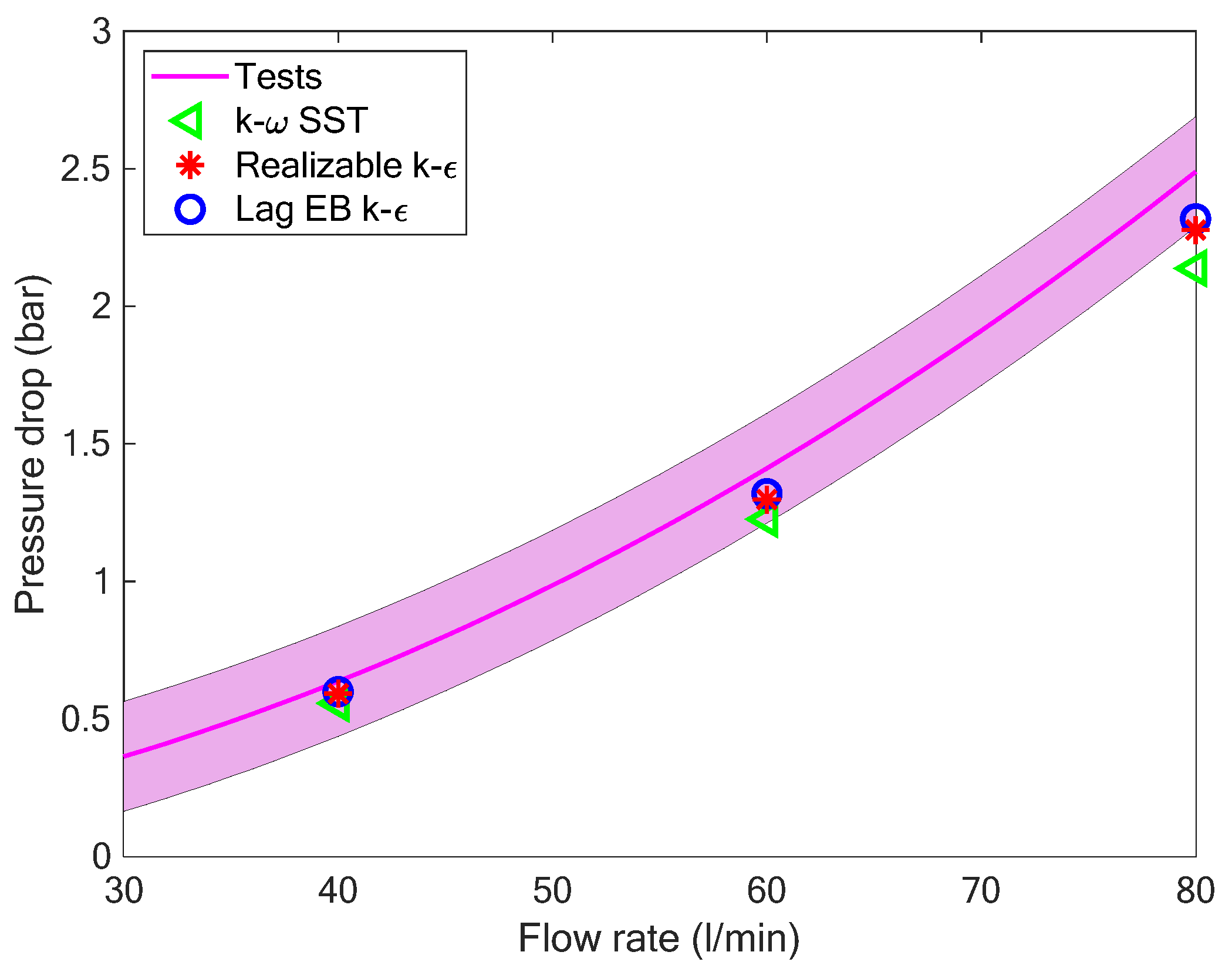
2.1. Calibration of the ED Model
2.2. Calibration of the TH Model
2.3. Calibration of the TM Model
2.4. Calibration of the Whole Simulator
3. Status of the Simulator Validation
3.1. Validation of the ED Model
3.2. Validation of the TH Model
3.3. Validation of the TM Model
3.4. Validation of the Whole Simulator
4. Opportunities for Further Validation
4.1. Available Experimental Data
4.2. Planned Experimental Campaigns
Author Contributions
Funding
Institutional Review Board Statement
Informed Consent Statement
Data Availability Statement
Acknowledgments
Conflicts of Interest
References
- Thumm, M. MW gyrotron development for fusion plasma applications. Plasma Phys. Control. Fusion 2003, 45, A143–A161. [Google Scholar] [CrossRef] [Green Version]
- Wolf, R.C.; Bozhenkov, S.; Dinklage, A.; Fuchert, G.; Kazakov, Y.O.; Laqua, H.P.; Marsen, S.; Marushchenko, N.B.; Stange, T.; Zanini, M.; et al. Electron-cyclotron-resonance heating in Wendelstein 7-X: A versatile heating and current-drive method and a tool for in-depth physics studies. Plasma Phys. Control. Fusion 2018, 61, 014037. [Google Scholar] [CrossRef]
- Zohm, H.; Stober, J.; Reisner, M.; Angioni, C.; Navarro, A.B.; Bobkov, V.; Bock, A.; Denisov, G.; Fable, E.; Fischer, R.; et al. Exploring fusion-reactor physics with high-power electron cyclotron resonance heating on ASDEX Upgrade. Plasma Phys. Control. Fusion 2020, 62, 024012. [Google Scholar] [CrossRef]
- Moro, A.; Bruschi, A.; Darcourt, O.; Fanale, F.; Farina, D.; Figini, L.; Gandini, F.; Henderson, M.; Hunt, R.; Lechte, C.; et al. Design of Electron Cyclotron Resonance Heating protection components for first plasma operations in ITER. Fusion Eng. Des. 2020, 154, 111547. [Google Scholar] [CrossRef]
- Ruess, S.; Avramidis, K.A.; Fuchs, M.; Gantenbein, G.; Ioannidis, Z.; Illy, S.; Jin, J.; Kalaria, P.C.; Kobarg, T.; Pagonakis, I.G.; et al. KIT coaxial gyrotron development: From ITER toward DEMO. Int. J. Microw. Wirel. Technol. 2018, 10, 547–555. [Google Scholar] [CrossRef] [Green Version]
- Thumm, M.K.A.; Denisov, G.G.; Sakamoto, K.; Tran, M.Q. High-power gyrotrons for electron cyclotron heating and current drive. Nucl. Fusion 2019, 59, 073001. [Google Scholar] [CrossRef]
- Kuftin, A.N.; Lygin, V.K.; Manuilov, V.N.; Raisky, B.V.; Solujanova, E.A.; Tsimring, S.E. Theory of helical electron beams in gyrotrons. Int. J. Infrared Millim. Waves 1993, 14, 783–816. [Google Scholar] [CrossRef]
- Avramidis, K.A.; Gantenbein, G.; Ioannidis, Z.C.; Pagonakis, I.G.; Rzesnicki, T.; Thumm, M.; Jelonnek, J.; Albajar, F.; Cau, F.; Cismondi, F.; et al. Numerical STUDIES on the influence of Cavity Thermal Expansion on the Performance of a High-Power Gyrotron. In Proceedings of the IVEC 2017–18th International Vacuum Electronics Conference, London, UK, 24–26 April 2017. [Google Scholar]
- Zani, L.; Lacroix, B.; Torre, A.; Vallet, J.-C.; Berthinier, C.; Bourcier, C.; Misiara, N.; Nunio, F.; Vallcorba, R.; Van Wambeke, C.; et al. OLYMPE, a multi-physic platform for fusion magnet design: Development status and first applications. Cryogenics 2020, 108, 103086. [Google Scholar] [CrossRef]
- Bottura, L.; Rosso, C.; Breschi, M. A general model for thermal, hydraulic and electric analysis of superconducting cables. Cryogenics 2000, 40, 617–626. [Google Scholar] [CrossRef] [Green Version]
- Marchesin, R.; Albert, S.; Avramidis, K.A.; Bertinetti, A.; Dubrav, J.; Fascl, D.; Gantenbein, G.; Genoud, J.; Hogge, J.P.; Jelonnek, J.; et al. Manufacturing and Test of the 1 MW Long-Pulse 84/126 GHz Dual-Frequency Gyrotron for TCV. In Proceedings of the 2019 International Vacuum Electronics Conference (IVEC), Busan, Korea, 28 April–1 May 2019. [Google Scholar] [CrossRef]
- Thumm, M.; Alberti, S.; Arnold, A.; Brand, P.; Braune, H.; Dammertz, G.; Erckmann, V.; Gantenbein, G.; Giguet, E.; Heidinger, R.; et al. EU megawatt-class 140-GHz CW gyrotron. IEEE Trans. Plasma Sci. 2007, 35, 143–153. [Google Scholar] [CrossRef]
- Alberti, S.; Genoud, J.; Goodman, T.; Hogge, J.P.; Silva, M.; Tran, T.M.; Tran, M.Q.; Avramidis, K.; Pagonakis, I.G.; Jin, J.; et al. Progress on the upgrade of the TCV EC-system with two 1MW dual-frequency gyrotrons. In Proceedings of the 2016 41st International Conference on Infrared, Millimeter, and Terahertz waves (IRMMW-THz), Copenhagen, Denmark, 25–30 September 2016. [Google Scholar] [CrossRef]
- Ioannidis, Z.C.; Rzesnicki, T.; Avramidis, K.; Gantenbein, G.; Illy, S.; Jin, J.; Kobarg, T.; Pagonakis, I.G.; Schmid, M.; Thumm, M.; et al. First CW experiments with the EU ITER 1 MW, 170 GHz industrial prototype gyrotron. In Proceedings of the 2017 Eighteenth International Vacuum Electronics Conference (IVEC), London, UK, 24–26 April 2017. [Google Scholar] [CrossRef]
- Jelonnek, J.; Aiello, G.; Albaiar, F.; Alberti, S.; Avramidis, K.A.; Bertinetti, A.; Brucker, P.T.; Bruschi, A.; Chclis, I.; Dubray, J.; et al. From W7-X Towards ITER and Beyond: 2019 Status on EU Fusion Gyrotron Developments. In Proceedings of the 2019 International Vacuum Electronics Conference, IVEC 2019, Busan, Korea, 28 April–1 May 2019. [Google Scholar]
- Darbos, C.; Albajar, F.; Bonicelli, T.; Carannante, G.; Cavinato, M.; Cismondi, F.; Denisov, G.; Farina, D.; Gagliardi, M.; Gandini, F.; et al. Status of the ITER electron cyclotron heating and current drive system. J. Infrared Millim. Terahertz Waves 2016, 37, 4–20. [Google Scholar] [CrossRef]
- Avramidis, K.A.; Ioannidis, Z.C.; Aiello, G.; Bénin, P.; Chelis, I.; Dinklage, A.; Gantenbein, G.; Illy, S.; Jelonnek, J.; Jin, J.; et al. Towards a 1.5 MW, 140 GHz gyrotron for the upgraded ECRH system at W7-X. Fusion Eng. Des. 2021, 164, 112173. [Google Scholar] [CrossRef]
- Sakamoto, K.; Ikeda, R.; Oda, Y.; Kobayashi, T.; Kajiwara, K.; Shidara, H.; Takahashi, K.; Moriyama, S. Status of high power gyrotron development in JAEA. In Proceedings of the 2015 IEEE International Vacuum Electronics Conference (IVEC), Beijing, China, 27–29 April 2015. [Google Scholar] [CrossRef]
- Sakamoto, K.; Kajiwara, K.; Takahashi, K.; Oda, Y.; Kasugai, A.; Kobayashi, T.; Kobayashi, N.; Henderson, M.; Darbos, C. Development of high power gyrotron for ITER application. In Proceedings of the 35th International Conference on Infrared, Millimeter, and Terahertz Waves, Rome, Italy, 5–10 September 2010. [Google Scholar] [CrossRef]
- Savoldi, L.; Albajar, F.; Alberti, S.; Avramidis, K.A.; Bertinetti, A.; Cau, F.; Cismondi, F.; Gantenbein, G.; Hogge, J.P.; Ioannidis, Z.C.; et al. Assessment and Optimization of the Cavity Thermal Performance for the European Continuous Wave Gyrotrons. In Proceedings of the 27th IAEA Fusion Energy Conference (FEC 2018), Gāndhināgar, Indien, 22–27 October 2018. [Google Scholar]
- Bertinetti, A.; Avramidis, K.A.; Albajar, F.; Cau, F.; Cismondi, F.; Rozier, Y.; Savoldi, L.; Zanino, R. Multi-physics analysis of a 1 MW gyrotron cavity cooled by mini-channels. Fusion Eng. Des. 2017, 123, 313–316. [Google Scholar] [CrossRef]
- Cordova, M. Thermo-Mechanical Study of the Cavity of the 1 MW–140 GHz Gyrotron for W7-X. Master’s Thesis, Karlsruhe Institute Technology, Karlsruhe, Germany, 2013. [Google Scholar]
- Avramidis, K.A.; Bertinetti, A.; Albajar, F.; Cau, F.; Cismondi, F.; Gantenbein, G.; Illy, S.; Ioannidis, Z.C.; Jelonnek, J.; Legrand, F.; et al. Numerical Studies on the Influence of Cavity Thermal Expansion on the Performance of a High-Power Gyrotron. IEEE Trans. Electron Devices 2018, 65, 2308–2315. [Google Scholar] [CrossRef]
- Leggieri, A.; Albajar, F.; Alberti, S.; Allio, A.; Avramidis, K.A.; Bariou, D.; Bin, W.; Bruschi, A.; Chelis, I.; Difonzo, R.; et al. Upgrade of The European ITER 170 GHz 1 MW CW Industrial Gyrotron (TH1509). In Proceedings of the 7th IVEW 2020 and 13th IVeSC 2020, Monterey, CA, USA, 26–29 May 2020. [Google Scholar]
- Leggieri, A.; Albajar, F.; Albert, S.; Allio, A.; Avramidis, K.A.; Bariou, D.; Bin, W.; Bruschi, A.; Chelis, J.; Difonzo, R.; et al. TH1509U European 170 GHz 1 MW CW Industrial Gyrotron Upgrade. In Proceedings of the IEEE IVEC 2021, Virtual Event, 27–30 April 2021. [Google Scholar]
- Avramides, K.A.; Pagonakis, I.G.; Iatrou, C.T.; Vomvoridis, J.L. EURIDICE: A code-package for gyrotron interaction simulations and cavity design. EPJ Web Conf. 2012, 32, 04016. [Google Scholar] [CrossRef] [Green Version]
- Ginzburg, N.S.; Nusinovich, G.S.; Zavolsky, N.A. Theory of non-stationary processes in gyrotrons with low Q resonators. Int. J. Electron. 1986, 61, 881–894. [Google Scholar] [CrossRef]
- Jackson, J.D. Wave guides and resonant cavities. In Classical Electrodynamics; Wiley: Hoboken, NJ, USA, 1975. [Google Scholar]
- ITER. Material Properties Handbook for Glidcop, available upon request.
- Tsang, L.; Braunisch, H.; Ding, R.; Gu, X. Random rough surface effects on wave propagation in interconnects. IEEE Trans. Adv. Packag. 2010, 33, 839–856. [Google Scholar] [CrossRef]
- Allio, A.; Difonzo, R.; Leggieri, A.; Legrand, F.; Marchesin, R.; Savoldi, L. Test and Modeling of the Hydraulic Performance of High-Efficiency Cooling Configurations for Gyrotron Resonance Cavities. Energies 2020, 13, 1163. [Google Scholar] [CrossRef] [Green Version]
- Savoldi, L.; Allio, A.; Bonvento, A.; Cantone, M.; Fernandez Reche, J. Experimental and numerical investigation of a porous receiver equipped with Raschig Rings for CSP applications. Sol. Energy 2020, 212, 309–325. [Google Scholar] [CrossRef]
- Savoldi, L.; Bertinetti, A.; Nallo, G.F.; Zappatore, A.; Zanino, R.; Cau, F.; Cismondi, F.; Rozier, Y. CFD Analysis of Different Cooling Options for a Gyrotron Cavity. IEEE Trans. Plasma Sci. 2016, 44, 3432–3438. [Google Scholar] [CrossRef]
- Cantone, M.; Cagnoli, M.; Fernandez Reche, J.; Savoldi, L. One-side heating test and modeling of tubular receivers equipped with turbulence promoters for solar tower applications. Appl. Energy 2020, 277, 115519. [Google Scholar] [CrossRef]
- Savoldi, L. Support in the Design and Analysis of the Gyrotron Full-Size Cavity and Mock-Ups, F4E_D_24Q2PG. 2015; available upon request.
- Rohsenow, W.M. Boiling. Annu. Rev. Fluid Mech. 2003, 3, 211–236. [Google Scholar] [CrossRef]
- Hirt, C.W.; Nichols, B.D. Volume of fluid (VOF) method for the dynamics of free boundaries. J. Comput. Phys. 1981, 39, 201–225. [Google Scholar] [CrossRef]
- Savoldi, L. Experimental and Simulation Results on the Mock-Ups Equipped with Raschig Rings and Mini-Channels, F4E_D_28KSJG. 2017; available upon request.
- Bertinetti, A.; Albajar, F.; Cau, F.; Leggieri, A.; Legrand, F.; Perial, E.; Ritz, G.; Savoldi, L.; Zanino, R.; Zappatore, A. Design, Test and Analysis of a Gyrotron Cavity Mock-Up Cooled Using Mini Channels. IEEE Trans. Plasma Sci. 2018, 46, 2207–2215. [Google Scholar] [CrossRef]
- Ioannidis, Z.C.; Rzesnicki, T.; Albajar, F.; Alberti, S.; Avramidis, K.A.; Bin, W.; Bonicelli, T.; Bruschi, A.; Chelis, I.; Frigot, P.E.; et al. CW Experiments with the EU 1-MW, 170-GHz Industrial Prototype Gyrotron for ITER at KIT. IEEE Trans. Electron Devices 2017, 64, 3885–3892. [Google Scholar] [CrossRef]
- Ioannidis, Z.C.; Albajar, F.; Alberti, S.; Avramidis, K.A.; Bin, W.; Bonicelli, T.; Bruschi, A.; Chelis, J.; Fanale, F.; Gantenbein, G.; et al. Recent experiments with the European 1MW, 170GHz industrial CW and short-pulse gyrotrons for ITER. Fusion Eng. Des. 2019, 146, 349–352. [Google Scholar] [CrossRef] [Green Version]
- Menachilis, P. Simplified Approach for the Calibration of the RR Conductivity, F4E_D_2HBAC8. 2019; available upon request.
- Avramidis, K.A.; Pagonakis, I.G.; Chelis, I.G.; Gantenbein, G.; Ioannidis, Z.C.; Peponis, D.V.; Rzesnicki, T.; Jelonnek, J. Simulations of the experimental operation of the EU 170 GHz, 1 MW short-pulse prototype gyrotron for ITER. In Proceedings of the 2016 41st International Conference on Infrared, Millimeter, and Terahertz Waves (IRMMW-THz), Copenhagen, Denmark, 25–30 September 2016. [Google Scholar] [CrossRef]
- Avramidis, K.A.; Aiello, G.; Alberti, S.; Brücker, P.T.; Bruschi, A.; Chelis, I.; Franke, T.; Gantenbein, G.; Garavaglia, S.; Genoud, J.; et al. Overview of recent gyrotron R&D towards DEMO within EUROfusion Work Package Heating and Current Drive. Nucl. Fusion 2019, 59, 066014. [Google Scholar] [CrossRef] [Green Version]
- Avramidis, K.A.; Ioannidis, Z.C.; Illy, S.; Jin, J.; Ruess, T.; Aiello, G.; Thumm, M.; Jelonnek, J. Multifaceted Simulations Reproducing Experimental Results from the 1.5-MW 140-GHz Preprototype Gyrotron for W7-X. IEEE Trans. Electron Devices 2021, 68, 3063–3069. [Google Scholar] [CrossRef]
- Schlaich, A.; Wu, C.; Pagonakis, I.; Avramidis, K.; Illy, S.; Gantenbein, G.; Jelonnek, J.; Thumm, M.; Schlaich, A.; Wu, C.; et al. Frequency-Based Investigation of Charge Neutralization Processes and Thermal Cavity Expansion in Gyrotrons. JIMTW 2015, 36, 797–818. [Google Scholar] [CrossRef]
- Chelis, I.G.; Avramidis, K.A.; Ioannidis, Z.C.; Tigelis, I.G. Improved Suppression of Parasitic Oscillations in Gyrotron Beam Tunnels by Proper Selection of the Lossy Ceramic Material. IEEE Trans. Electron Devices 2018, 65, 2301–2307. [Google Scholar] [CrossRef]
- Difonzo, R.; Allio, A.; Savoldi, L. Multivariate metric assessment of the suitability of different RANS turbulence models for the simulation of mini-channels cooling systems for the fusion gyrotron resonator. In Proceedings of the AMSE V&V Symposium 2021, Virtual Event, 10–13 May 2021. [Google Scholar]
- Stanculovic, S.; Difonzo, R.; Allio, A.; Avramidis, K.A.; Brücker, P.; Gantenbein, G.; Illy, S.; Jelonnek, J.; Kalaria, P.C.; Misko, M.; et al. Calibration of the KIT test setup for the cooling tests of a gyrotron cavity full-size mock-up equipped with mini-channels. Fusion Eng. Des. 2021, 172, 112744. [Google Scholar] [CrossRef]
- Laqua, H.P.; Max Planck Institute for Plasma Physics, Garching bei München, Germany. Personal communication, 2021.
- Abuserwal, A.F.; Elizondo Luna, E.M.; Goodall, R.; Woolley, R. The effective thermal conductivity of open cell replicated aluminium metal sponges. Int. J. Heat Mass Transf. 2017, 108, 1439–1448. [Google Scholar] [CrossRef]
Test Case | Parameter | Experimental Value | Computed Value |
---|---|---|---|
126 GHz | RF @ cavity exit [MW] | 1.20 ± 5% | 1.07 |
Cavity wall power [kW] | 42 ± 5% | 38 | |
Actual frequency [GHz] | 125.76 | 125.89 | |
Frequency shift [MHz] | 360 | 330 1 |
Publisher’s Note: MDPI stays neutral with regard to jurisdictional claims in published maps and institutional affiliations. |
© 2021 by the authors. Licensee MDPI, Basel, Switzerland. This article is an open access article distributed under the terms and conditions of the Creative Commons Attribution (CC BY) license (https://creativecommons.org/licenses/by/4.0/).
Share and Cite
Savoldi, L.; Avramidis, K.A.; Albajar, F.; Alberti, S.; Leggieri, A.; Sanchez, F. A Validation Roadmap of Multi-Physics Simulators of the Resonator of MW-Class CW Gyrotrons for Fusion Applications. Energies 2021, 14, 8027. https://doi.org/10.3390/en14238027
Savoldi L, Avramidis KA, Albajar F, Alberti S, Leggieri A, Sanchez F. A Validation Roadmap of Multi-Physics Simulators of the Resonator of MW-Class CW Gyrotrons for Fusion Applications. Energies. 2021; 14(23):8027. https://doi.org/10.3390/en14238027
Chicago/Turabian StyleSavoldi, Laura, Konstantinos A. Avramidis, Ferran Albajar, Stefano Alberti, Alberto Leggieri, and Francisco Sanchez. 2021. "A Validation Roadmap of Multi-Physics Simulators of the Resonator of MW-Class CW Gyrotrons for Fusion Applications" Energies 14, no. 23: 8027. https://doi.org/10.3390/en14238027
APA StyleSavoldi, L., Avramidis, K. A., Albajar, F., Alberti, S., Leggieri, A., & Sanchez, F. (2021). A Validation Roadmap of Multi-Physics Simulators of the Resonator of MW-Class CW Gyrotrons for Fusion Applications. Energies, 14(23), 8027. https://doi.org/10.3390/en14238027