Density Functional Theory Calculations of Pinus brutia Derivatives and Its Response to Light in a Au/n-Si Device
Abstract
1. Introduction
2. Materials and Methods
3. Results and Discussion
3.1. DFT Calculations
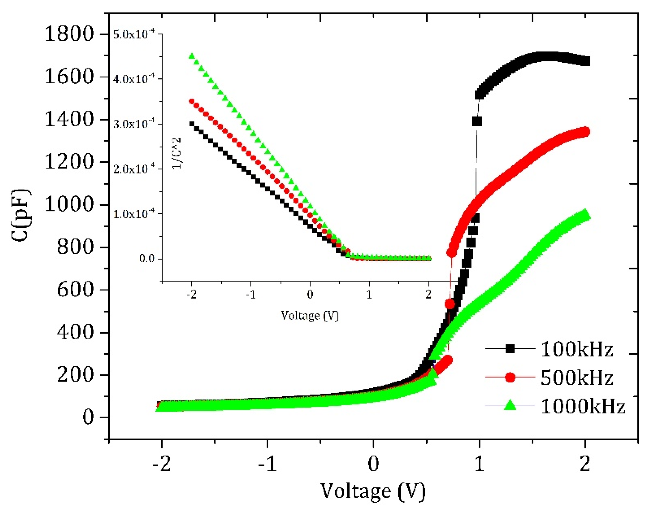
3.2. Au/n-Si and Au/Pinus brutia/n-Si Devices Performaces
4. Conclusions
Author Contributions
Funding
Data Availability Statement
Acknowledgments
Conflicts of Interest
References
- Lin, Y.-K.; Hong, Y.-T.; Shyue, J.-J.; Hsueh, C.-H. Construction of Schottky junction solar cell using silicon nanowires and multi-layered graphene. Superlattices Microstruct. 2018, 126, 42–48. [Google Scholar] [CrossRef]
- Yahya, A.H.; Klein, A.; Balal, N.; Borodin, D.; Friedman, A. Comparison between Up-Conversion Detection in Glow-Discharge Detectors and the Schottky Diode for MMW/THz High-Power Single Pulse. Appl. Sci. 2021, 11, 4172. [Google Scholar] [CrossRef]
- Ahmad, Z.; Sayyad, M.H. Extraction of electronic parameters of Schottky diode based on an organic semiconductor methyl-red. Phys. E Low-Dimens. Syst. Nanostruct. 2009, 41, 631–634. [Google Scholar] [CrossRef]
- Çetinkaya, H.; Demirezen, S.; Yerişkin, S.A. Electrical parameters of Au/(%1Ni-PVA)/n-Si (MPS) structure: Surface states and their lifetimes. Phys. B Condens. Matter 2021, 621, 413207. [Google Scholar] [CrossRef]
- Kim, H.J.; Park, S.P.; Min, W.K.; Kim, D.; Park, K.; Kim, H.J. Modulation of the Al/Cu2O Schottky Barrier Height for p-Type Oxide TFTs Using a Polyethylenimine Interlayer. ACS Appl. Mater. Interfaces 2021, 13, 31077–31085. [Google Scholar] [CrossRef]
- Daş, E.; Incekara, U.; Aydoğan, Ş. A comparative study on electrical characteristics of Ni/n-Si and Ni/p-Si Schottky diodes with Pinus Sylvestris Resin interfacial layer in dark and under illumination at room temperature. Opt. Mater. 2021, 119, 111380. [Google Scholar] [CrossRef]
- Brütting, W. Introduction to the Physics of Organic Semiconductors. In Physics of Organic Semiconductors; FRG: Wiley-VCH Verlag GmbH & Co. KGaA: Weinheim, Germany, 2006; pp. 1–14. [Google Scholar] [CrossRef]
- Zhenghao, M. Molecular Structures and Device Properties of Organic Solar Cells; Case Western Reserve University: Cleveland, OH, USA, 2014. [Google Scholar]
- Ongun, O.; Taşcı, E.; Emrullahoğlu, M.; Akın, Ü.; Tuğluoğlu, N.; Eymur, S. Fabrication, illumination dependent electrical and photovoltaic properties of Au/BOD-Pyr/n-Si/In schottky diode. J. Mater. Sci. Mater. Electron. 2021, 32, 15707–15717. [Google Scholar] [CrossRef]
- Tan, S.O.; Tecimer, H.; Çiçek, O. Comparative Investigation on the Effects of Organic and Inorganic Interlayers in Au/n-GaAs Schottky Diodes. IEEE Trans. Electron Devices 2017, 64, 984–990. [Google Scholar] [CrossRef]
- Öztürk, T. Effect of various PCBM doping on the interfacial layer of Al/PCBM:ZnO/p-Si photodiodes. J. Mater. Sci. Mater. Electron. 2021, 32, 10180–10193. [Google Scholar] [CrossRef]
- Imer, A.G.; Kaya, E.; Dere, A.; Al-Sehemi, A.G.; Al-Ghamdi, A.A.; Karabulut, A.; Yakuphanoglu, F. Illumination impact on the electrical characteristics of Au/Sunset Yellow/n-Si/Au hybrid Schottky diode. J. Mater. Sci. Mater. Electron. 2020, 31, 14665–14673. [Google Scholar] [CrossRef]
- Şahin, M.F.; Taşcı, E.; Emrullahoğlu, M.; Gökce, H.; Tuğluoğlu, N.; Eymur, S. Electrical, photodiode, and DFT studies of newly synthesized π-conjugated BODIPY dye-based Au/BOD-Dim/n-Si device. Phys. B Condens. Matter 2021, 614, 413029. [Google Scholar] [CrossRef]
- El-Mahalawy, A.M.; Abdou, M.M.; Wassel, A.R. Structural, spectroscopic and electrical investigations of novel organic thin films bearing push-pull azo—Phenol dye for UV photodetection applications. Spectrochim. Acta Part A Mol. Biomol. Spectrosc. 2020, 248, 119243. [Google Scholar] [CrossRef]
- Şensöz, S.; Can, M. Pyrolysis of Pine (Pinus Brutia Ten.) Chips: 1. Effect of Pyrolysis Temperature and Heating Rate on the Product Yields. Energy Sources 2002, 24, 347–355. [Google Scholar] [CrossRef]
- Kern, W.; Puotinen, D. Cleaning Solutions Based on Hydrogen for Use in Silicon Semiconductor Technology. RCA Rev. 1970, 31, 187–205. [Google Scholar]
- Verenkar, N.; Krishnana, S. Extraction of natural dye from Mammea suriga and its application on silk and cotton fabrics. Indian J. Fibre Text Res. 2020, 45, 402–410. [Google Scholar]
- Yesil-Celiktas, O.; Ganzera, M.; Akgun, I.; Sevimli, C.; Korkmaz, K.S.; Bedir, E. Determination of polyphenolic constituents and biological activities of bark extracts from different Pinus species. J. Sci. Food Agric. 2009, 89, 1339–1345. [Google Scholar] [CrossRef]
- Zulfiqar, S.; Sharif, S.; Saeed, M.; Tahir, A. Role of Carotenoids in Photosynthesis. In Carotenoids: Structure and Function in the Human Body; Springer International Publishing: Cham, Switzerland, 2021; pp. 147–187. [Google Scholar] [CrossRef]
- Mehmood, U.; Hussein, I.A.; Harrabi, K.; Reddy, B.V.S. Density functional theory study on dye-sensitized solar cells using oxadiazole-based dyes. J. Photon. Energy 2015, 5, 053097. [Google Scholar] [CrossRef]
- Mehmood, U.; Hussein, I.A.; Harrabi, K.; Mekki, M.; Ahmed, S.; Tabet, N. Hybrid TiO2–multiwall carbon nanotube (MWCNTs) photoanodes for efficient dye sensitized solar cells (DSSCs). Sol. Energy Mater. Sol. Cells 2015, 140, 174–179. [Google Scholar] [CrossRef]
- Kaplan, N.; Taşcı, E.; Emrullahoğlu, M.; Gökce, H.; Tuğluoğlu, N.; Eymur, S. Analysis of illumination dependent electrical characteristics of α- styryl substituted BODIPY dye-based hybrid heterojunction. J. Mater. Sci. Mater. Electron. 2021, 32, 16738–16747. [Google Scholar] [CrossRef]
- Wang, D.; Narusawa, T.; Kawaharamura, T.; Furuta, M.; Li, C. Influence of sputtering pressure on band gap of Zn1−xMgxO thin films prepared by radio frequency magnetron sputtering. J. Vac. Sci. Technol. B 2011, 29, 051205. [Google Scholar] [CrossRef]
- Costa, J.C.; Taveira, R.J.; Lima, C.F.R.A.C.; Mendes, A.; Santos, L.M. Optical band gaps of organic semiconductor materials. Opt. Mater. 2016, 58, 51–60. [Google Scholar] [CrossRef]
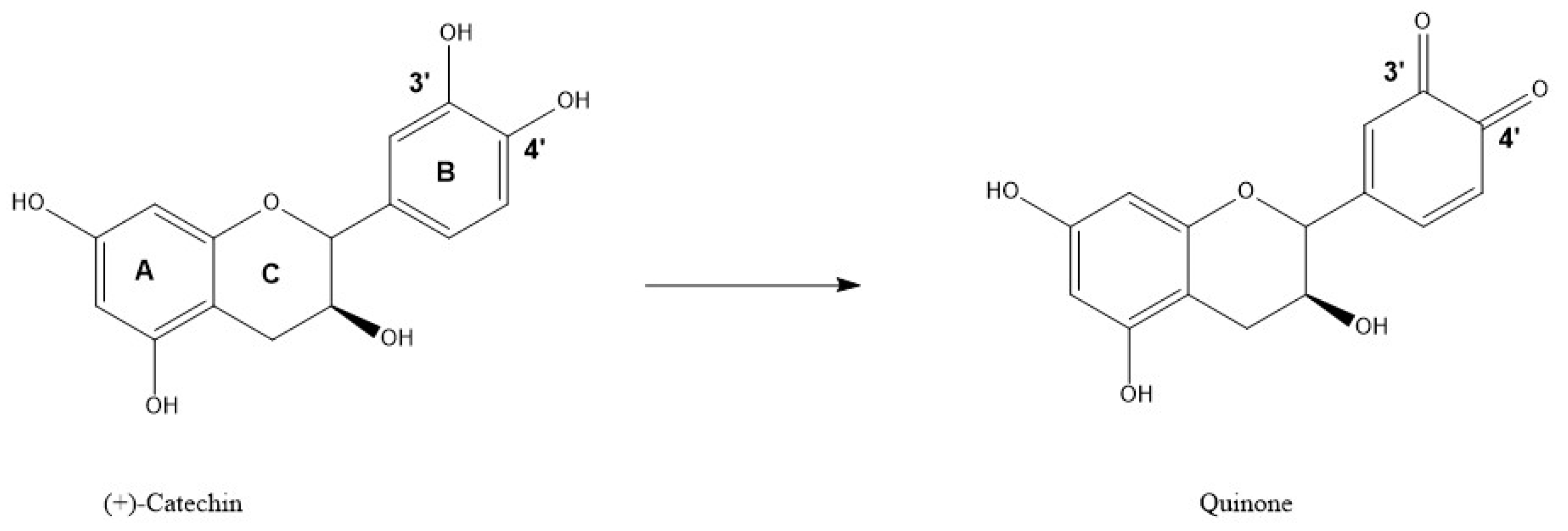
- Janeiro, P.; Brett, A.M.O. Catechin electrochemical oxidation mechanisms. Anal. Chim. Acta 2004, 518, 109–115. [Google Scholar] [CrossRef]
- Sharma, S.N.; Periasamy, C. A study on the electrical characteristic of n-ZnO/p-Si heterojunction diode prepared by vacuum coating technique. Superlattices Microstruct. 2014, 73, 12–21. [Google Scholar] [CrossRef]
- Nasim, F.; Bhatti, A. Influence of different metal over-layers on the electrical behaviour of the MIS Schottky diodes. Int. J. Electron. 2013, 100, 1228–1239. [Google Scholar] [CrossRef]
- Tataroğlu, A.; Altındal, Ş. Analysis of interface states and series resistance of MIS Schottky diodes using the current–voltage (I–V) characteristics. Microelectron. Eng. 2008, 85, 233–237. [Google Scholar] [CrossRef]
- Ocak, Y.; Genisel, M.; Kılıçoğlu, T. Ta/Si Schottky diodes fabricated by magnetron sputtering technique. Microelectron. Eng. 2010, 87, 2338–2342. [Google Scholar] [CrossRef]
- Wetzelaer, G.A.H.; Kuik, M.; Lenes, M.; Blom, P.W.M. Origin of the dark-current ideality factor in polymer: Fullerene bulk heterojunction solar cells. Appl. Phys. Lett. 2011, 99, 153506. [Google Scholar] [CrossRef]
- Mahato, S.; Puigdollers, J. Temperature dependent current-voltage characteristics of Au/n-Si Schottky barrier diodes and the effect of transition metal oxides as an interface layer. Phys. B Condens. Matter 2018, 530, 327–335. [Google Scholar] [CrossRef]
- Güllü, Ö.; Türüt, A. Electronic parameters of MIS Schottky diodes with DNA biopolymer interlayer. Mater. Sci. 2015, 33, 593–600. [Google Scholar] [CrossRef]
- Duman, S.; Turgut, G.; Ozcelik, F.S.; Gürbulak, B. Electrical properties of Al/p–Ge and Al/Methyl Green/p–Ge diodes. Philos. Mag. 2015, 95, 1646–1655. [Google Scholar] [CrossRef]
- Güllü, Ö.; Çankaya, M.; Biber, M.; Türüt, A. Fabrication and electrical properties of organic-on-inorganic Schottky devices. J. Phys. Condens. Matter 2008, 20, 215210. [Google Scholar] [CrossRef]
- Güllü, Ö. Barrier Modification by Methyl Violet Organic Dye Molecules of Ag/P-Inp Structures. Eur. J. Interdiscip. Stud. 2016, 5. [Google Scholar] [CrossRef][Green Version]
- Zahn, D.R.; Kampen, T.U.; Méndez, H. Transport gap of organic semiconductors in organic modified Schottky contacts. Appl. Surf. Sci. 2003, 212–213, 423–427. [Google Scholar] [CrossRef]
- Demir, H.O.; Caldıran, Z.; Meral, K.; Şahin, Y.; Acar, M.; Aydogan, S. The effect of temperature on the electrical characterization of a poly(phenoxy-imine)/p-silicon heterojunction. e-Polymers 2016, 16, 75–82. [Google Scholar] [CrossRef]
- Kampen, T.; Bekkali, A.; Thurzo, I.; Zahn, D.R.; Bolognesi, A.; Ziller, T.; Di Carlo, A.; Lugli, P. Barrier heights of organic modified Schottky contacts: Theory and experiment. Appl. Surf. Sci. 2004, 234, 313–320. [Google Scholar] [CrossRef]
- Gezgin, S.Y.; Kepceoğlu, A.; Toprak, A.; Gündoğdu, Y.; Kiliç, H.Ş. Diode Property Of n-ZnO/p-Si Heterojunction Structure in the Dark and Illumination Condition. J. Selcuk 2018, 17, 19–30. [Google Scholar]
- Sharma, S.K.; Singh, S.P.; Kim, D.Y. Fabrication of the heterojunction diode from Y-doped ZnO thin films on p-Si substrates by sol-gel method. Solid State Commun. 2018, 270, 124–129. [Google Scholar] [CrossRef]
- Nadenau, V.; Rau, U.; Jasenek, A.; Schock, H.W. Electronic properties of CuGaSe2-based heterojunction solar cells. Part I. Transport analysis. J. Appl. Phys. 2000, 87, 584–593. [Google Scholar] [CrossRef]
- Bayhan, H.; Bayhan, M. A simple approach to determine the solar cell diode ideality factor under illumination. Sol. Energy 2011, 85, 769–775. [Google Scholar] [CrossRef]
- Aydoğan, Ş.; Yilmaz, M.; Çaldıran, Z. Improving the rectifying properties of metal/semiconductor junction using novel material: Zam-zam. Sensors Actuators A Phys. 2016, 248, 22–28. [Google Scholar] [CrossRef]
- Kim, S.H.; Jung, C.Y.; Kim, H.; Cho, Y.; Kim, D.-W. Forward Current Transport Mechanism of Cu Schottky Barrier Formed on n-type Ge Wafer. Trans. Electr. Electron. Mater. 2015, 16, 151–155. [Google Scholar] [CrossRef]
- Çaldıran, Z.; Biber, M.; Metin, O.; Aydoğan, Ş. Improving the performance of the organic solar cell and the inorganic heterojunction devices using monodisperse Fe3O4 nanoparticles. Optik 2017, 142, 134–143. [Google Scholar] [CrossRef]
- Sitek, A.; Torfason, K.; Manolescu, A.; Valfells, Á. Space-Charge Effects in the Field-Assisted Thermionic Emission from Nonuniform Cathodes. Phys. Rev. Appl. 2021, 15, 014040. [Google Scholar] [CrossRef]
- Patel, H.; Patel, K.; Patel, A.; Jagani, H.; Solanki, G.K.; Pathak, V.M. Temperature-Dependent I–V Characteristics of In/p-SnSe Schottky Diode. J. Electron. Mater. 2021, 50, 5217–5225. [Google Scholar] [CrossRef]
- Gümuüş, A.; Turut, A.; Yalcin, N. Temperature dependent barrier characteristics of CrNiCo alloy Schottky contacts on n-type molecular-beam epitaxy GaAs. J. Appl. Phys. 2002, 91, 245. [Google Scholar] [CrossRef]
- Singh, J.; Singh, R.G.; Gautam, S.K.; Singh, F. Multifunctional hybrid diode: Study of photoresponse, high responsivity, and charge injection mechanisms. J. Appl. Phys. 2018, 123, 174503. [Google Scholar] [CrossRef]
- Minemoto, T.; Okamoto, C.; Kawai, H.; Murozono, M.; Takakura, H.; Hamakawa, Y. Effect of bulk resistivity on the performance of spherical Si solar cells. In Proceedings of the 2006 IEEE 4th World Conference on Photovoltaic Energy Conference, Waikoloa, HI, USA, 7–12 May 2006; pp. 1081–1084. [Google Scholar] [CrossRef]
- Olyaee, H.G.B.; Foot, P.J.S.; Montgomery, V. Electrical properties and I–V characteristics of 5,14-dihydro-5,7,12,14-tetraazapentacene doped Schottky barrier diode. J. Theor. Appl. Phys. 2015, 9, 315–319. [Google Scholar] [CrossRef]
- Güler, G.; Güllü, Ö.; Karataş, Ş.; Bakkaloğlu, Ö.F. Analysis of the series resistance and interface state densities in metal semiconductor structures. J. Phys. Conf. Ser. 2009, 153. [Google Scholar] [CrossRef]
- Aldemir, D.A.; Kökce, A.; Özdemir, A.F. Schottky diyot parametrelerini belirlemede kullanılan metotların geniş bir sıcaklık aralığı için kıyaslanması. Sak. Univ. J. Sci. 2017, 21, 1. [Google Scholar] [CrossRef][Green Version]
- Sönmezoğlu, S.; Şenkul, S.; Taş, R.; Çankaya, G.; Can, M. Electrical and interface state density properties of polyaniline–poly-3-methyl thiophene blend/p-Si Schottky barrier diode. Solid State Sci. 2010, 12, 706–711. [Google Scholar] [CrossRef]
- Yilmaz, M.; Kocyigit, A.; Çırak, B.B.; Kacus, H.; Incekara, U.; Aydogan, S. The comparison of Co/hematoxylin/n-Si and Co/hematoxylin/p-Si devices as rectifier for a wide range temperature. Mater. Sci. Semicond. Process. 2020, 113, 105039. [Google Scholar] [CrossRef]
- Şahin, M.; Kaplan, R. Intensity and temperature dependence of photocurrent of a-Si:H Schottky diodes. Curr. Appl. Phys. 2006, 6, 114–118. [Google Scholar] [CrossRef]
- Huang, S.-M.; Huang, S.-J.; Yan, Y.-J.; Yu, S.-H.; Chou, M.; Yang, H.-W.; Chang, Y.-S.; Chen, R.-S. Highly responsive photoconductance in a Sb2SeTe2 topological insulator nanosheet at room temperature. RSC Adv. 2017, 7, 39057–39062. [Google Scholar] [CrossRef]
- Yuan, S.; Zhang, H.; Wang, P.; Ling, L.; Tu, L.; Lu, H.; Wang, J.; Zhan, Y.; Zheng, L. High-gain broadband organolead trihalide perovskite photodetector based on a bipolar heterojunction phototransistor. Org. Electron. 2018, 57, 7–13. [Google Scholar] [CrossRef]
- Han, Q.; Bae, S.; Sun, P.; Hsieh, Y.; Yang, Y.; Rim, Y.S.; Zhao, H.; Chen, Q.; Shi, W.; Li, G. Single Crystal Formamidinium Lead Iodide (FAPbI 3): Insight into the Structural, Optical, and Electrical Properties. Adv. Mater. 2016, 28, 2253–2258. [Google Scholar] [CrossRef] [PubMed]
- Grilli, M.L.; Aydogan, S.; Yilmaz, M. A study on non-stoichiometric p-NiOx/n-Si heterojunction diode fabricated by RF sputtering: Determination of diode parameters. Superlattices Microstruct. 2016, 100, 924–933. [Google Scholar] [CrossRef]
- Aytac, Y. Time-Resolved Measurements of Charge Carrier Dynamics in MWIR to LWIR InAs/InAsSb Superlattices. Ph.D. Thesis, The University of Iowa, Iowa City, IA, USA, 2016. [Google Scholar] [CrossRef]
- Kaçuş, H.; Çırak, Ç.; Aydoğan, Ş. Effect of illumination intensity on the characteristics of Co/Congo Red/p-Si/Al hybrid photodiode. Appl. Phys. A 2020, 126, 139. [Google Scholar] [CrossRef]












| (+)-Catechin (1) | Catechin (+)-Ferulate (2) | Taxifolin (3) | Taxifolin Ferulate (4) | ||||||
|---|---|---|---|---|---|---|---|---|---|
| Molecular structure | ![]() | ![]() | ![]() | ![]() | |||||
| Molecular orbital surface | HOMO | ![]() | ![]() | ![]() | ![]() | ||||
| LUMO | ![]() | ![]() | ![]() | ![]() | |||||
| Dimer 1 (5) | Dimer 2 (6) | Dimer 3 (7) | Trimer 1 (8) | Trimer 2 (9) | |||||
| Molecular structure | ![]() | ![]() | ![]() | ![]() | ![]() | ||||
| Molecular orbital surface | HOMO | ![]() | ![]() | ![]() | ![]() | ![]() | |||
| LUMO | ![]() | ![]() | ![]() | ![]() | ![]() | ||||
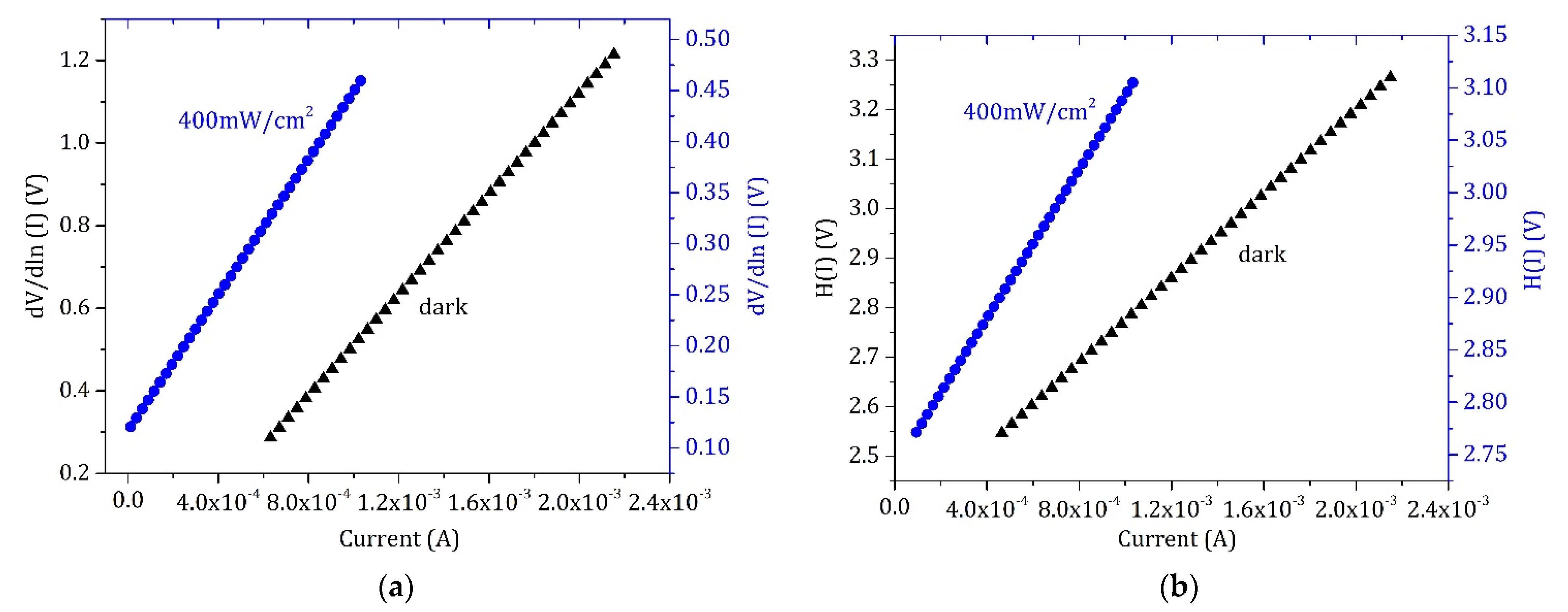
| dV/dln(I) vs. (I) | H(I) vs.(I) | |||
|---|---|---|---|---|
| Rs (Ω) | φB (eV) | Rs (Ω) | ||
| Au/Pinus brutia/n-Si (dark) | 3.80 | 609 | 0.61 | 425 |
| Au/Pinus brutia/n-Si (400 mW/cm2 illumination) | 4.52 | 332 | 0.60 | 354 |
Publisher’s Note: MDPI stays neutral with regard to jurisdictional claims in published maps and institutional affiliations. |
© 2021 by the authors. Licensee MDPI, Basel, Switzerland. This article is an open access article distributed under the terms and conditions of the Creative Commons Attribution (CC BY) license (https://creativecommons.org/licenses/by/4.0/).
Share and Cite
Yilmaz, M.; Demir, Y.; Aydogan, S.; Grilli, M.L. Density Functional Theory Calculations of Pinus brutia Derivatives and Its Response to Light in a Au/n-Si Device. Energies 2021, 14, 7983. https://doi.org/10.3390/en14237983
Yilmaz M, Demir Y, Aydogan S, Grilli ML. Density Functional Theory Calculations of Pinus brutia Derivatives and Its Response to Light in a Au/n-Si Device. Energies. 2021; 14(23):7983. https://doi.org/10.3390/en14237983
Chicago/Turabian StyleYilmaz, Mehmet, Yasar Demir, Sakir Aydogan, and Maria Luisa Grilli. 2021. "Density Functional Theory Calculations of Pinus brutia Derivatives and Its Response to Light in a Au/n-Si Device" Energies 14, no. 23: 7983. https://doi.org/10.3390/en14237983
APA StyleYilmaz, M., Demir, Y., Aydogan, S., & Grilli, M. L. (2021). Density Functional Theory Calculations of Pinus brutia Derivatives and Its Response to Light in a Au/n-Si Device. Energies, 14(23), 7983. https://doi.org/10.3390/en14237983




























