Modified Analytical Approach for PV-DGs Integration into a Radial Distribution Network Considering Loss Sensitivity and Voltage Stability
Abstract
:1. Introduction
2. Mathematical Models and Research Methods
2.1. Backward/Forward Sweep Load Flow for Radial Distribution System
2.2. Solar PV System Output Dynamics and DG Net Power Injection
2.3. Modified Analytical Approach for Solar PV-DGs Placement Based on Line Loss Sensitivity
2.4. Voltage Stability Margin and Optimal DG Sizing
3. Problem Formulations
3.1. Objective Functions
- (a).
- : Total system cost
- (i).
- Cost of investment:
- (ii).
- Cost of operation and maintenance:
- (iii).
- Resale cost of salvageable component (after project lifetime):
where is the inflation rate, is the interest rate, is the project lifetime, is the site capacity factor, is the number of the identified/selected PV sites, is the converter’s efficiency, is the unit cost of investment, is the unit operation and maintenance cost and is the unit salvage cost. The full details of all parameters and their values are provided in Table 1. - (b).
- : Total active power loss
- (c).
- : Voltage stability margin
- Scenario 1: Total cost minimization and power loss minimization-minimize [, ]
- Scenario 2: Total cost minimization and stability margin maximization-minimize [, ]
- Scenario 3: Total cost minimization, power loss minimization and stability margin maximization-minimize [, , ].
3.2. Network Constraints
- (i).
- Power flow constraint: Power flow constraint in each line must be less than the maximum limit of power flow on each line as:
- (ii).
- Bus Voltage constraint The voltage at each bus must be within their permissible minimum and maximum limit as:
- (iii).
- Voltage stability limit The critical boundary index value for each branch should be greater than a specific limit:The critical stability limits are considered to be at least 10% of the line’s thermal limit [54].
3.3. Overview of Multiobjective Particle Swarm Optimization Algorithm
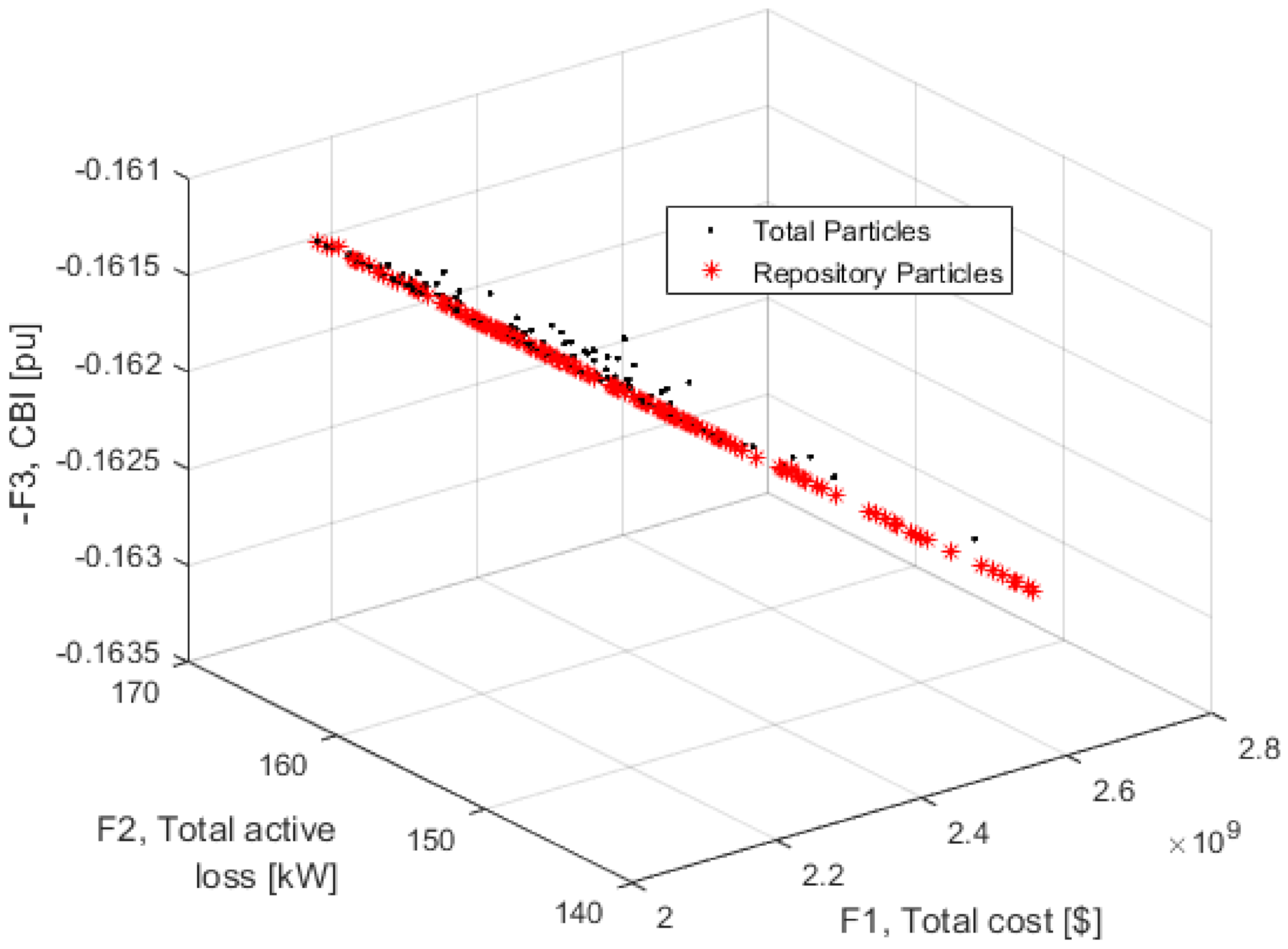
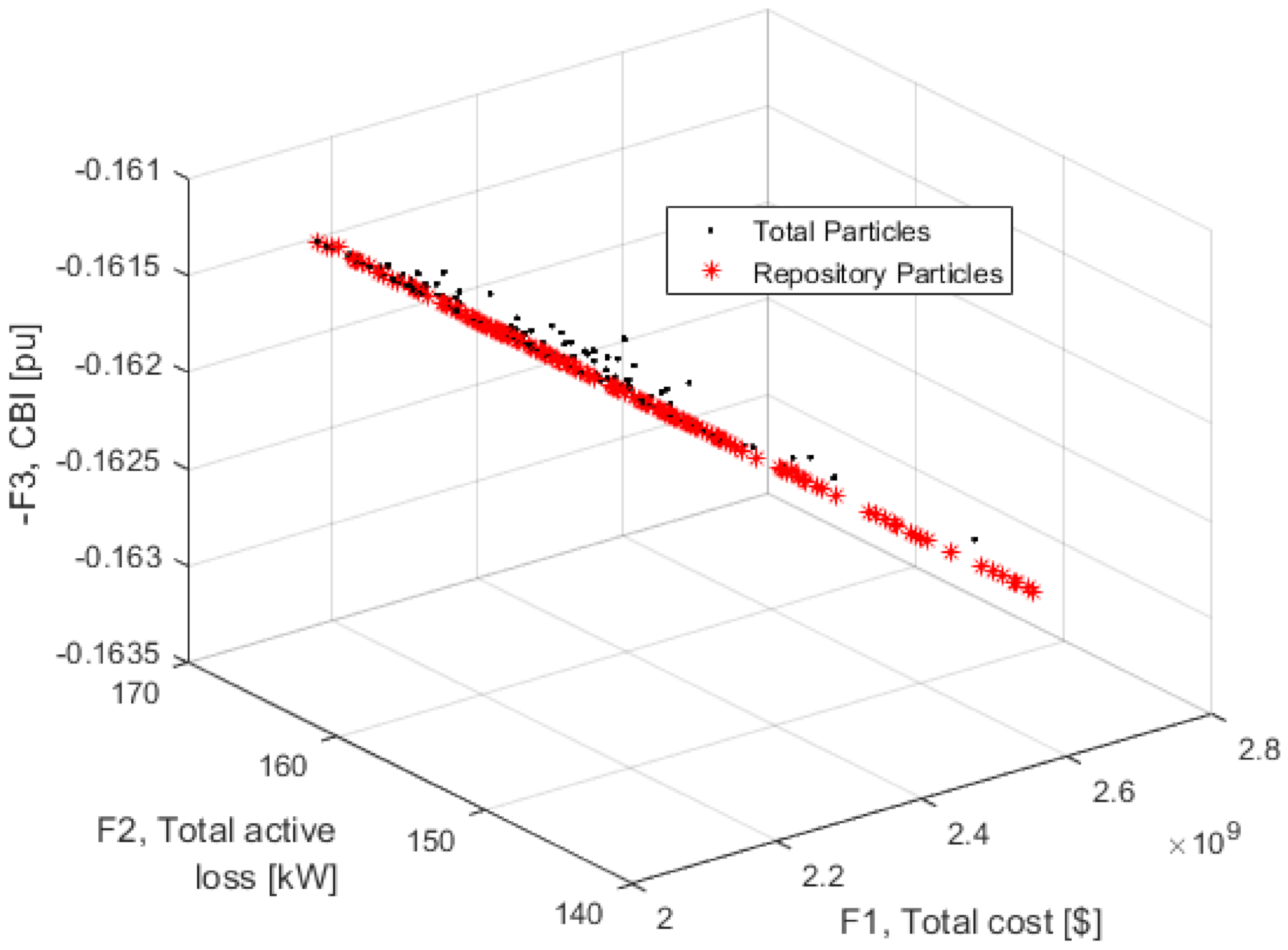
4. Simulation Conditions, Results and Discussion
5. Conclusions
Author Contributions
Funding
Institutional Review Board Statement
Informed Consent Statement
Data Availability Statement
Acknowledgments
Conflicts of Interest
References
- Howlader, H.O.R.; Adewuyi, O.B.; Hong, Y.Y.; Mandal, P.; Mohamed Hemeida, A.; Senjyu, T. Energy storage system analysis review for optimal unit commitment. Energies 2020, 13, 158. [Google Scholar] [CrossRef] [Green Version]
- Monti, A.; Ponci, F. Electric power systems. In Intelligent Monitoring, Control, and Security of Critical Infrastructure Systems, 1st ed.; Kyriakides, E., Polycarpou, M., Eds.; Springer: Berlin/Heidelberg, Germany, 2015. [Google Scholar]
- Seifi, H.; Sepasian, M.S. Electric Power System Planning:Issues, Algorithms and Solutions, 1st ed.; Springer: Berlin/Heidelberg, Germany, 2011. [Google Scholar] [CrossRef]
- Adewuyi, O.B.; Shigenobu, R.; Senjyu, T.; Lotfy, M.E.; Howlader, A.M. Multiobjective mix generation planning considering utility-scale solar PV system and voltage stability: Nigerian case study. Electr. Power Syst. Res. 2019, 168, 269–282. [Google Scholar] [CrossRef]
- Ghosh, S.; Ghoshal, S.; Ghosh, S. Optimal sizing and placement of distributed generation in a network system. Int. J. Electr. Power Energy Syst. 2010, 32, 849–856. [Google Scholar] [CrossRef]
- Natarajan, M.; Ramadoss, B.; Lakshmanarao, L. Optimal location and sizing of MW and MVAR based DG units to improve voltage stability margin in distribution system using a chaotic artificial bee colony algorithm. Int. Trans. Electr. Energy Syst. 2017, 27, e2287. [Google Scholar] [CrossRef]
- Venkatraman, R.; Khaitan, S.K. A survey of techniques for designing and managing microgrids. In Proceedings of the 2015 IEEE Power & Energy Society General Meeting, Denver, CO, USA, 26–30 July 2015; pp. 1–5. [Google Scholar]
- Jagtap, K.M.; Khatod, A.K. Impact of different types of distributed generation on radial distribution network. In Proceedings of the 2014 International Conference on Reliability Optimization and Information Technology (ICROIT), Faridabad, India, 6–8 February 2014; pp. 473–476. [Google Scholar]
- Bischoping, G.T. Providing Optimal Value to Energy Consumers through Microgrids. Univ. Pa. J. Law Public Aff. 2018, 4, 473. [Google Scholar]
- Ahmadi, M.; Lotfy, M.E.; Danish, M.S.S.; Ryuto, S.; Yona, A.; Senjyu, T. Optimal multi-configuration and allocation of SVR, capacitor, centralised wind farm, and energy storage system: A multi-objective approach in a real distribution network. IET Renew. Power Gener. 2019, 13, 762–773. [Google Scholar] [CrossRef]
- Ogunjuyigbe, A.; Ayodele, T.; Akinola, O. Impact of distributed generators on the power loss and voltage profile of sub-transmission network. J. Electr. Syst. Inf. Technol. 2016, 3, 94–107. [Google Scholar] [CrossRef] [Green Version]
- Prabha, D.R.; Jayabarathi, T. Determining the optimal location and sizing of distributed generation unit using plant Growth simulation algorithm in a radial distribution network. WSEAS Trans. Syst. 2014, 13, 543–550. [Google Scholar]
- Rani, P.S.; Devi, A.L. Optimal sizing of DG units using exact loss formula at optimal power factor. Int. J. Eng. Sci. Technol. 2012, 4, 4043–4050. [Google Scholar]
- Poornazaryan, B.; Karimyan, P.; Gharehpetian, G.; Abedi, M. Optimal allocation and sizing of DG units considering voltage stability, losses and load variations. Int. J. Electr. Power Energy Syst. 2016, 79, 42–52. [Google Scholar] [CrossRef]
- Li, Z.; Cao, Y.; Dai, L.V.; Yang, X.; Nguyen, T.T. Finding solutions for optimal reactive power dispatch problem by a novel improved ant lion optimization algorithm. Energies 2019, 12, 2968. [Google Scholar] [CrossRef] [Green Version]
- Nguyen, T.T.; Vo, D.N.; Vu Quynh, N.; Van Dai, L. Modified cuckoo search algorithm: A novel method to minimize the fuel cost. Energies 2018, 11, 1328. [Google Scholar] [CrossRef] [Green Version]
- Karunarathne, E.; Pasupuleti, J.; Ekanayake, J.; Almeida, D. Optimal Placement and Sizing of DGs in Distribution Networks Using MLPSO Algorithm. Energies 2020, 13, 6185. [Google Scholar] [CrossRef]
- Ramamoorthy, A.; Ramachandran, R. Optimal siting and sizing of multiple DG units for the enhancement of voltage profile and loss minimization in transmission systems using nature inspired algorithms. Sci. World J. 2016, 2016. [Google Scholar] [CrossRef] [PubMed] [Green Version]
- Vita, V. Development of a decision-making algorithm for the optimum size and placement of distributed generation units in distribution networks. Energies 2017, 10, 1433. [Google Scholar] [CrossRef] [Green Version]
- Duong, M.Q.; Pham, T.D.; Nguyen, T.T.; Doan, A.T.; Tran, H.V. Determination of Optimal Location and Sizing of Solar Photovoltaic Distribution Generation Units in Radial Distribution Systems. Energies 2019, 12, 174. [Google Scholar] [CrossRef] [Green Version]
- Suresh, M.; Edward, J.B. A hybrid algorithm based optimal placement of DG units for loss reduction in the distribution system. Appl. Soft Comput. 2020, 91, 106191. [Google Scholar] [CrossRef]
- Kayal, P.; Chanda, C. Placement of wind and solar based DGs in distribution system for power loss minimization and voltage stability improvement. Int. J. Electr. Power Energy Syst. 2013, 53, 795–809. [Google Scholar] [CrossRef]
- Huy, P.D.; Ramachandaramurthy, V.K.; Yong, J.Y.; Tan, K.M.; Ekanayake, J.B. Optimal placement, sizing and power factor of distributed generation: A comprehensive study spanning from the planning stage to the operation stage. Energy 2020, 195, 117011. [Google Scholar] [CrossRef]
- Raut, U.; Mishra, S. An improved Elitist–Jaya algorithm for simultaneous network reconfiguration and DG allocation in power distribution systems. Renew. Energy Focus 2019, 30, 92–106. [Google Scholar] [CrossRef]
- Murty, V.; Kumar, A. Optimal placement of DG in radial distribution systems based on new voltage stability index under load growth. Int. J. Electr. Power Energy Syst. 2015, 69, 246–256. [Google Scholar] [CrossRef]
- Singh, A.; Parida, S. Novel sensitivity factors for DG placement based on loss reduction and voltage improvement. Int. J. Electr. Power Energy Syst. 2016, 74, 453–456. [Google Scholar] [CrossRef]
- Murthy, V.; Kumar, A. Comparison of optimal DG allocation methods in radial distribution systems based on sensitivity approaches. Int. J. Electr. Power Energy Syst. 2013, 53, 450–467. [Google Scholar] [CrossRef]
- Aman, M.; Jasmon, G.; Mokhlis, H.; Bakar, A. Optimal placement and sizing of a DG based on a new power stability index and line losses. Int. J. Electr. Power Energy Syst. 2012, 43, 1296–1304. [Google Scholar] [CrossRef]
- Barik, S.; Das, D. A novel Q-PQV bus pair method of biomass DGs placement in distribution networks to maintain the voltage of remotely located buses. Energy 2020, 194, 116880. [Google Scholar] [CrossRef]
- Duong, T.L.; Nguyen, P.T.; Vo, N.D.; Le, M.P. A newly effective method to maximize power loss reduction in distribution networks with highly penetrated distributed generations. Ain Shams Eng. J. 2020, 12, 1787–1808. [Google Scholar] [CrossRef]
- Das, B.; Mukherjee, V.; Das, D. Optimum DG placement for known power injection from utility/substation by a novel zero bus load flow approach. Energy 2019, 175, 228–249. [Google Scholar] [CrossRef]
- Babu, P.V.; Singh, S. Optimal Placement of DG in Distribution Network for Power Loss Minimization Using NLP & PLS Technique. Energy Procedia 2016, 90, 441–454. [Google Scholar] [CrossRef]
- Nagaballi, S.; Kale, V.S. Pareto optimality and game theory approach for optimal deployment of DG in radial distribution system to improve techno-economic benefits. Appl. Soft Comput. 2020, 92, 106234. [Google Scholar] [CrossRef]
- Mukhopadhyay, B.; Das, D. Multi-objective dynamic and static reconfiguration with optimized allocation of PV-DG and battery energy storage system. Renew. Sustain. Energy Rev. 2020, 124, 109777. [Google Scholar] [CrossRef]
- Reddy, P.D.P.; Reddy, V.C.V.; Manohara, T.G. Optimal renewable resources placement in distribution networks by combined power loss index and whale optimization algorithms. J. Electr. Syst. Inf. Technol. 2018, 5, 175–191. [Google Scholar] [CrossRef]
- Saini, P.; Gidwani, L. An environmental based techno-economic assessment for battery energy storage system allocation in distribution system using new node voltage deviation sensitivity approach. Int. J. Electr. Power Energy Syst. 2021, 128, 106665. [Google Scholar] [CrossRef]
- Ahmed, A.; Nadeem, M.F.; Sajjad, I.A.; Bo, R.; Khan, I.A.; Raza, A. Probabilistic generation model for optimal allocation of wind DG in distribution systems with time varying load models. Sustain. Energy Grids Netw. 2020, 22, 100358. [Google Scholar] [CrossRef]
- Danish, M.S.S.; Yona, A.; Senjyu, T. A review of voltage stability assessment techniques with an improved voltage stability indicator. Int. J. Emerg. Electr. Power Syst. 2015, 16, 107–115. [Google Scholar] [CrossRef]
- Tah, A.; Das, D. Novel analytical method for the placement and sizing of distributed generation unit on distribution networks with and without considering P and PQV buses. Int. J. Electr. Power Energy Syst. 2016, 78, 401–413. [Google Scholar] [CrossRef]
- Furukakoi, M.; Adewuyi, O.B.; Shah Danish, M.S.; Howlader, A.M.; Senjyu, T.; Funabashi, T. Critical Boundary Index (CBI) based on active and reactive power deviations. Int. J. Electr. Power Energy Syst. 2018, 100, 50–57. [Google Scholar] [CrossRef]
- Chang, G.W.; Chu, S.Y.; Wang, H.L. An Improved Backward/Forward Sweep Load Flow Algorithm for Radial Distribution Systems. IEEE Trans. Power Syst. 2007, 22, 882–884. [Google Scholar] [CrossRef]
- Bompard, E.; Carpaneto, E.; Chicco, G.; Napoli, R. Convergence of the backward/forward sweep method for the load-flow analysis of radial distribution systems. Int. J. Electr. Power Energy Syst. 2000, 22, 521–530. [Google Scholar] [CrossRef]
- Rupa, J.A.M.; Ganesh, S. Power Flow Analysis for Radial Distribution System Using Backward/Forward Sweep Method. Int. J. Electr. Comput. Eng. 2014, 8, 1628–1632. [Google Scholar]
- Adebayo, I.G.; Sun, Y. Voltage Stability Enhancement Capabilities of LTCT and STATCOM in a Power System. In Proceedings of the 2018 IEEE PES/IAS PowerAfrica, Cape Town, South Africa, 28–29 June 2018; pp. 1–560. [Google Scholar]
- Adewuyi, O.B.; Danish, M.S.S.; Howlader, A.M.; Senjyu, T.; Lotfy, M.E. Network structure-based critical bus identification for power system considering line voltage stability margin. J. Power Energy Eng. 2018, 6, 97. [Google Scholar] [CrossRef] [Green Version]
- Moghavvemi, M.; Faruque, M. Power system security and voltage collapse: A line outage based indicator for prediction. Int. J. Electr. Power Energy Syst. 1999, 21, 455–461. [Google Scholar] [CrossRef]
- Bui, L.T.; Soliman, O.; Abbass, H.A. A modified strategy for the constriction factor in particle swarm optimization. In Australian Conference on Artificial Life; Springer: Berlin/Heidelberg, Germany, 2007; pp. 333–344. [Google Scholar]
- Adewuyi, O.B.; Howlader, H.O.R.; Olaniyi, I.O.; Konneh, D.A.; Senjyu, T. Comparative analysis of a new VSC-optimal power flow formulation for power system security planning. Int. Trans. Electr. Energy Syst. 2020, 30, e12250. [Google Scholar] [CrossRef]
- Amara, T.; Asefi, S.; Adewuyi, O.B.; Ahmadi, M.; Yona, A.; Senjyu, T. Technical and economic performance evaluation for efficient capacitors sizing and placement in a real distribution network. In Proceedings of the 2019 IEEE Student Conference on Research and Development (SCOReD), Bandar Seri Iskandar, Malaysia, 15–17 October 2019; pp. 100–105. [Google Scholar] [CrossRef]
- Adewuyi, O.B.; Lotfy, M.E.; Akinloye, B.O.; Howlader, H.O.R.; Senjyu, T.; Narayanan, K. Security-constrained optimal utility-scale solar PV investment planning for weak grids: Short reviews and techno-economic analysis. Appl. Energy 2019, 245, 16–30. [Google Scholar] [CrossRef]
- Moraes, L., Jr.; Bussar, C.; Stoecker, P.; Jacqué, K.; Chang, M.; Sauer, D. Comparison of long-term wind and photovoltaic power capacity factor datasets with open-license. Appl. Energy 2018, 225, 209–220. [Google Scholar] [CrossRef]
- Mittal, M.; Kamboj, R.; Sehgal, S. Analytical approaches for Optimal Placement and sizing of Distributed generation in Power System. IOSR J. Electr. Electron. Eng. 2012, 1, 20–30. [Google Scholar] [CrossRef]
- Hung, D.Q.; Mithulananthan, N.; Lee, K.Y. Determining PV penetration for distribution systems with time-varying load models. IEEE Trans. Power Syst. 2014, 29, 3048–3057. [Google Scholar] [CrossRef]
- Lauria, D.; Mottola, F.; Quaia, S. Analytical description of overhead transmission lines loadability. Energies 2019, 12, 3119. [Google Scholar] [CrossRef] [Green Version]
- Valle, Y.D.; Venayagamoorthy, G.K.; Mohagheghi, S.; Hernandez, J.C.; Harley, R.G. Particle swarm optimization: Basic concepts, variants and applications in power systems. IEEE Trans. Evol. Comput. 2008, 12, 171–195. [Google Scholar] [CrossRef]
- Clerc, M.; Kennedy, J. The particle swarm—Explosion, stability, and convergence in a multidimensional complex space. IEEE Trans. Evol. Comput. 2002, 6, 58–73. [Google Scholar] [CrossRef] [Green Version]
- Deb, K.; Pratap, A.; Agarwal, S.; Meyarivan, T. A fast and elitist multiobjective genetic algorithm: NSGA-II. IEEE Trans. Evol. Comput. 2002, 6, 182–197. [Google Scholar] [CrossRef] [Green Version]
- Coello, C.A.C.; Pulido, G.T.; Lechuga, M.S. Handling multiple objectives with particle swarm optimization. IEEE Trans. Evol. Comput. 2004, 8, 256–279. [Google Scholar] [CrossRef]
- Dolatabadi, S.H.; Ghorbanian, M.; Siano, P.; Hatziargyriou, N.D. An Enhanced IEEE 33 Bus Benchmark Test System for Distribution System Studies. IEEE Trans. Power Syst. 2020, 36, 2565–2572. [Google Scholar] [CrossRef]
- Mahmoud, K.; Yorino, N.; Ahmed, A. Optimal distributed generation allocation in distribution systems for loss minimization. IEEE Trans. Power Syst. 2015, 31, 960–969. [Google Scholar] [CrossRef]
- Kansal, S.; Kumar, V.; Tyagi, B. Hybrid approach for optimal placement of multiple DGs of multiple types in distribution networks. Int. J. Electr. Power Energy Syst. 2016, 75, 226–235. [Google Scholar] [CrossRef]
- Sultana, S.; Roy, P.K. Multi-objective quasi-oppositional teaching learning based optimization for optimal location of distributed generator in radial distribution systems. Int. J. Electr. Power Energy Syst. 2014, 63, 534–545. [Google Scholar] [CrossRef]












| Symbol | Meaning | Value | Unit |
|---|---|---|---|
| Inflation rate | 4% | ||
| Interest rate | 10% | ||
| Project lifetime | 25 | years | |
| Site capacity factor | 25.50% | ||
| Converter’s efficiency | 95% | ||
| Unit investment cost | 1695 | $/kW | |
| Unit oper. and maint. cost | 26 | $/kW/year | |
| Unit salvage cost | 0.25 × | $/kW |
| Parameter | Values |
|---|---|
| Population size | 200 |
| Repository Particles | 200 |
| Number of Iterations | 500 |
| Cognitive factor, | 2.05 |
| Social factor, | 2.05 |
| Inertia weight, w | 0.9–0.4 |
| PARAMETERS | No DG | Scenario 1 | Scenario 2 | Scenario 3 | |
|---|---|---|---|---|---|
| Optimal size [MW] Location/Bus number | (Bus 8) | n/a | 0.7503 | 0.7506 | 0.7542 |
| (Bus 30) | n/a | 0.7501 | 0.7504 | 0.8354 | |
| (Bus 24) | n/a | 1.4611 | 1.2179 | 1.4608 | |
| Total DG size [MW] | n/a | n/a | 2.9615 | 2.7189 | 3.0504 |
| Total investment cost [$] | n/a | 2.4839 | 2.4576 × 10 | 2.5528 | |
| Total active power loss [kW] | 202.66 | 74.44 | 74.34 | 74.33 | |
| Total reactive power loss [kVAR] | 135.22 | 51.17 | 50.94 | 50.63 | |
| Minimum CBI [pu] | (Line 16) | 0.1591 | 0.1492 | 0.1702 | 0.2311 |
| Minimum voltage [pu] | (Bus 18) | 0.9131 | 0.9345 | 0.9408 | 0.9467 |
| METHOD | DG Location and (Size in MW) | Total DG Size (MW) | Total Loss (kW) | ||
|---|---|---|---|---|---|
| SFS [30] | 13 (0.8020) | 24 (1.0910) | 30 (1.0530) | 2.9470 | 72.7850 |
| CMSFS [30] | 13 (0.8020) | 30 (1.0540) | 24 (1.0910) | 2.9470 | 72.7850 |
| EA [60] | 13 (0.7980) | 24 (1.0990) | 30 (1.0500) | 2.9470 | 72.7870 |
| EA-OPF [60] | 13 (0.8020) | 24 (1.0910) | 30 (1.0540) | 2.9470 | 72.7900 |
| AM-PSO [61] | 13 (0.7900) | 24 (1.0700) | 30 (1.0100) | 2.8700 | 72.8900 |
| TLBO [62] | 10 (0.8246) | 24 (1.0311) | 31 (0.8862) | 2.7419 | 75.5400 |
| QOTLBO [62] | 12 (0.8808) | 24 (1.0592) | 29 (1.0714) | 3.0114 | 74.1010 |
| Scenario 1 | 8 (0.7503) | 30 (0.7501) | 24 (1.4611) | 2.9615 | 74.4400 |
| Scenario 2 | 8 (0.7506) | 30 (0.7504) | 24 (1.2179) | 2.7189 | 74.3400 |
| Scenario 3 | 8 (0.7542) | 30 (0.8354) | 24 (1.4608) | 3.0504 | 74.3300 |
Publisher’s Note: MDPI stays neutral with regard to jurisdictional claims in published maps and institutional affiliations. |
© 2021 by the authors. Licensee MDPI, Basel, Switzerland. This article is an open access article distributed under the terms and conditions of the Creative Commons Attribution (CC BY) license (https://creativecommons.org/licenses/by/4.0/).
Share and Cite
Adewuyi, O.B.; Adeagbo, A.P.; Adebayo, I.G.; Howlader, H.O.R.; Sun, Y. Modified Analytical Approach for PV-DGs Integration into a Radial Distribution Network Considering Loss Sensitivity and Voltage Stability. Energies 2021, 14, 7775. https://doi.org/10.3390/en14227775
Adewuyi OB, Adeagbo AP, Adebayo IG, Howlader HOR, Sun Y. Modified Analytical Approach for PV-DGs Integration into a Radial Distribution Network Considering Loss Sensitivity and Voltage Stability. Energies. 2021; 14(22):7775. https://doi.org/10.3390/en14227775
Chicago/Turabian StyleAdewuyi, Oludamilare Bode, Ayooluwa Peter Adeagbo, Isaiah Gbadegesin Adebayo, Harun Or Rashid Howlader, and Yanxia Sun. 2021. "Modified Analytical Approach for PV-DGs Integration into a Radial Distribution Network Considering Loss Sensitivity and Voltage Stability" Energies 14, no. 22: 7775. https://doi.org/10.3390/en14227775
APA StyleAdewuyi, O. B., Adeagbo, A. P., Adebayo, I. G., Howlader, H. O. R., & Sun, Y. (2021). Modified Analytical Approach for PV-DGs Integration into a Radial Distribution Network Considering Loss Sensitivity and Voltage Stability. Energies, 14(22), 7775. https://doi.org/10.3390/en14227775

