Co-Optimization of CO2 Storage and Enhanced Gas Recovery Using Carbonated Water and Supercritical CO2
Abstract
:1. Introduction
2. Governing Equations
2.1. Flow Model
2.2. CO2-Water Phase Behavior
3. Mechanistic Simulations
3.1. Synthetic Reservoir 2D Cross-Section
- Productivity ratio—is the ratio of the production rate to the injection rate.
- Depletion pressure ratio—is the ratio of the pressure at the start of EGR to the original reservoir pressure.
3.2. Real Reservoir 3D Sector
4. DoE Framework
5. Results and Discussion
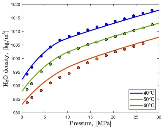
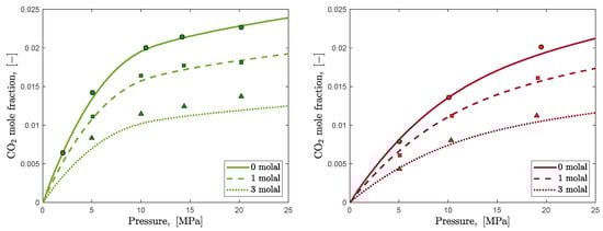
5.1. Simulator Validation
- -
- CO2 solubility in water as a function of pressure, temperature, and salinity.
- -
- CO2 density (molar volume) as a function of pressure and temperature.
- -
- CO2-saturated water density as a function of pressure and temperature.
- -
- Water vaporization as a function of pressure and temperature.

5.2. Benefit of Carbonated Water Injection
5.3. Sensitivity Analysis, Uncertainty Assessment, and Optimization
- -
- Dykstra–Parsons coefficient;
- -
- Production rate;
- -
- EGR commencement pressure;
- -
- Carbonated water slug volume injected;
- -
- Average permeability;
- -
- Vertical to horizontal permeability ratio.
- -
- Productivity ratio: 0.5;
- -
- Depletion pressure ratio: 0.115;
- -
- Carbonated water PV injected: 1.5%.
5.4. Field Case (Viking Field)
5.5. Potential Field Applications, Economics, and Limitations
- Altmark Field in Germany is a gas field that has reached the tail end of its production phase, with a recovery factor > 78%. The reservoir pressure in the more productive Altensazwedel compartment of this field has dropped to 4000 kPa. Altmark Field has been considered as a candidate for CO2 EGR coupled with storage, and several studies have been done to investigate the feasibility of this [18,65,66]. The permeability distribution in the Altensazwedel compartment is such that higher permeability layers are lower in the compartment. Studies showed that the CO2 distribution in the reservoir after injection was strongly linked to the heterogeneity configuration, and breakthrough was likely to occur after ~96 months from the beginning of injection [67].
- K12-B Field is an offshore gas field located in the Dutch sector of the North Sea, which was close to depletion when CO2 injection field tests were conducted [68,69]. Gas production was from the Rotliegendes formation, with a heterogeneity configuration similar to the Viking Field. Monitoring studies for the CO2 injection pilot showed CO2 breakthrough to the production wells after 130 days for the first well and after 463 days for the second well [70].
- Otway CO2 storage project was the first CCS project implemented in Australia. Natural gas was produced from the Naylor Field, and CO2 injection was done into a 25–30 m thick sandstone reservoir in this field [71,72]. Monitoring studies showed the injected CO2 form a plume that migrated up-dip to the production wells through the more permeable layers in the mid-bottom of the reservoir. Tracers injected along with the CO2 were observed at the production wells after ~150 days, pointing to an early breakthrough [73].
- The proposed method is dependent on the individual reservoir heterogeneity. Therefore, each case must be individually evaluated in detail to determine whether this method could be applicable and beneficial or not.
- Results have shown that up to 3% PV of injected carbonated water is beneficial. This is a significant amount of water required for injection and could be a challenge for fields that do not have an existing water supply available.
- The preparation of carbonated water in large quantities under desired pressure and temperature conditions may require specialized processing facilities. This could be an additional cost to the overall project expenses.
- The dissolution of CO2 in water leads to the formation of carbonic acid. Carbonic acid could lead to corrosion of steel tubes that are not corrosion-resistant.
6. Conclusions
- Injection of a slug of carbonated water followed by CO2 injection is beneficial to some extent considering three factors; recovery factor, CO2 stored, and CO2 breakthrough/recycling. In this study, injection of up to ~3% PV of carbonated water was most beneficial considering all three factors. Injection volumes more than this resulted in no benefit compared to only CO2 injection.
- The recovery factor was mostly affected by the reservoir heterogeneity, depletion pressure, and production rates. The CO2 stored was mainly affected by the pore volume of carbonated water injected. This is because injection of any amount of water occupied potential storage space in the reservoir. The CO2 breakthrough and recycling were primarily affected by the production rates and reservoir heterogeneity as high permeability paths allowed much faster CO2 breakthrough.
- In general, the proposed hybrid EGR method is significantly influenced by reservoir heterogeneity. Compared to only CO2 injection, the method performs best in reservoirs with high permeability paths in the bottom layers. For CO2 floods in gas reservoirs, CO2 is denser than methane and flows to the bottom of the reservoir due to gravity segregation. When it encounters high permeability paths at the lower layers, it is likely to break through much faster. Injection of carbonated water becomes beneficial in such reservoirs because water, also denser than methane and the in-situ brine, flows down to the bottom of the reservoir. This water plugs the high permeability channels and thus hinders the mobility of CO2, therefore, delaying breakthrough. This also forces the CO2 injected after the water to go through lower permeability layers resulting in more even sweep profiles.
- From the Monte Carlo simulations performed, the recovery factor is generally high, and P10, P50, and P90 values fall above 90%. The CO2 stored ranges between ~70% to ~90% of the maximum storable CO2 at the reservoir conditions. The CO2 recycled ranges between ~10% to ~30%. These results are promising and show that with the proposed EGR method, high recovery factors can be achieved while storing most of the CO2 injected with low recycling rates.
- While the proposed method is promising in terms of improving recovery with high storage ratios, it is necessary to weigh this benefit against the cost of implementing the method. This should be done considering both environmental value and external incentives in order to get an overall quantification of its effectiveness and feasibility.
- Modern reservoir simulators are powerful tools that can contribute to CO2 storage research advancement. These simulators incorporate many mathematical and empirical models that capture different physical phenomena. However, these models are limited to particular ranges of conditions. It is crucial to first verify and properly calibrate simulation models to ensure representativeness and reliability of results before moving to complex multi-dimensional problems. In this study, we take the time to properly validate the simulator used and carefully select appropriate empirical models to calculate important properties such as CO2 solubility for the range of expected pressure, temperature, and salinity conditions.
- Careful design of experiments combined with proxy modeling is a useful method to exploit computational resources in an efficient manner. Proxy models, when carefully built and verified, allow us to explore multitudes more scenarios compared to full-physics simulations. Optimal solutions are arrived at much faster with proxy models, and thousands of Monte Carlo simulations can be performed within a fraction of the time taken on reservoir simulators. However, it is crucial to validate the results from proxy models as they are not constrained by physics and sometimes give results that violate fundamental physical relations, for instance, recovery factors greater than 1.
Author Contributions
Funding
Data Availability Statement
Acknowledgments
Conflicts of Interest
Appendix A
| Parameter | Value/Range | Unit |
|---|---|---|
| Original reservoir pressure | 20,000 | kPa |
| Reservoir temperature | 75 | °C |
| Porosity | 0.3 | - |
| Average permeability | 50–500 | mD |
| Dykstra-Parsons coefficient | 0.5–0.9 | - |
| kv/kh | 0.1–0.5 | - |
| Initial methane saturation | 0.8 | - |
| Irreducible water saturation | 0.2 | - |
| Salinity | 0–3 | molal |
| Molecular diffusion coefficient (aq) | 0–1 × 10−5 | cm2/s |
| CO2 injection rate | 10 | % PV/year |
| Carbonated water slug volume | 0–20 | % PV |
| Productivity ratio | 0.5–1.5 | - |
| Depletion pressure ratio | 0.1–0.25 | - |
| Constraint | Value | Unit |
|---|---|---|
| Simulation time | 100 | years |
| Minimum allowed producer bottom hole pressure (BHP) | 2000 | kPa |
| Maximum allowed injector BHP | 20,000 | kPa |
| Maximum allowed CO2 cut in production stream | 50 | % |
| Parameter | Value/Range | Unit |
|---|---|---|
| Original reservoir pressure | 3000 | psi |
| Reservoir temperature | 75 | °C |
| kv/kh | 0.2 | - |
| Initial methane saturation | 0.8 | - |
| Irreducible water saturation | 0.2 | - |
| Salinity | 1 | molal |
| Molecular diffusion coefficient (aq) | 1 × 10−5 | cm2/s |
| CO2 injection rate | 4 | % PV/year |
| Carbonated water slug volume | 2 | % PV |
| Productivity ratio | 0.25 | - |
| Depletion pressure ratio | 0.1 | - |
| Constraint | Value | Unit |
|---|---|---|
| Simulation time | 100 | years |
| Minimum allowed producer bottom hole pressure (BHP) | 300 | psi |
| Maximum allowed injector BHP | 3000 | psi |
| Maximum allowed CO2 cut in production stream | 50 | % |
References
- IEA. Global Energy Review 2021; IEA: Paris, France, 2021. [Google Scholar]
- EIA. Global Electricity Consumption Continues to Rise Faster Than Population; Today in Energy: 2020. Available online: https://www.eia.gov/todayinenergy/detail.php?id=44095 (accessed on 17 August 2021).
- Martins, F.; Felgueiras, C.; Smitková, M. Fossil fuel energy consumption in European countries. Energy Procedia 2018, 153, 107–111. [Google Scholar] [CrossRef]
- Covert, T.; Greenstone, M.; Knittel, C.R. Will We Ever Stop Using Fossil Fuels? J. Econ. Perspect. 2016, 30, 117–138. [Google Scholar] [CrossRef] [Green Version]
- Abas, N.; Kalair, A.; Khan, N. Review of fossil fuels and future energy technologies. Futures 2015, 69, 31–49. [Google Scholar] [CrossRef]
- BP. Energy Outlook; BP: London, UK, 2020. [Google Scholar]
- BP. Statistical Review of World Energy; BP: London, UK, 2020. [Google Scholar]
- Walker, S.B.; Van Lanen, D.; Mukherjee, U.; Fowler, M. Greenhouse gas emissions reductions from applications of Power-to-Gas in power generation. Sustain. Energy Technol. Assess. 2017, 20, 25–32. [Google Scholar] [CrossRef]
- Ezekiel, J.; Ebigbo, A.; Adams, B.M.; Saar, M.O. Combining natural gas recovery and CO2-based geothermal energy extraction for electric power generation. Appl. Energy 2020, 269, 115012. [Google Scholar] [CrossRef]
- Al-Shayji, K.; Aleisa, E. Characterizing the fossil fuel impacts in water desalination plants in Kuwait: A Life Cycle Assessment approach. Energy 2018, 158, 681–692. [Google Scholar] [CrossRef]
- Turta, A.; Sim, S.; Singhal, A.; Hawkins, B. Basic Investigations on Enhanced Gas Recovery by Gas-Gas Displacement. J. Can. Pet. Technol. 2008, 47. [Google Scholar] [CrossRef]
- Oldenburg, C.M.; Pruess, K.; Benson, S.M. Process Modeling of CO2 Injection into Natural Gas Reservoirs for Carbon Sequestration and Enhanced Gas Recovery. Energy Fuels 2001, 15, 293–298. [Google Scholar] [CrossRef]
- EIA. Monthly Energy Review; EIA: Washington, DC, USA, 2021. Available online: https://www.eia.gov/totalenergy/data/monthly/previous.php (accessed on 17 August 2021).
- IPCC. IPCC Fifth Assessment Report; IPCC: Geneva, Switzerland, 2014. [Google Scholar]
- Mamora, D.; Seo, J. Enhanced Gas Recovery by Carbon Dioxide Sequestration in Depleted Gas Reservoirs. OnePetro 2002. [Google Scholar] [CrossRef]
- Oldenburg, C.M.; Benson, S.M. CO2 Injection for Enhanced Gas Production and Carbon Sequestration. OnePetro 2002. [Google Scholar] [CrossRef]
- Patel, M.J.; May, E.F.; Johns, M.L. High-fidelity reservoir simulations of enhanced gas recovery with supercritical CO2. Energy 2016, 111, 548–559. [Google Scholar] [CrossRef]
- Gou, Y.; Hou, M.Z.; Liu, H.; Zhou, L.; Were, P. Numerical simulation of carbon dioxide injection for enhanced gas recovery (CO2-EGR) in Altmark natural gas field. Acta Geotech. 2013, 9, 49–58. [Google Scholar] [CrossRef]
- Polak, S.; Grimstad, A.-A. Reservoir simulation study of CO2 storage and CO2 -EGR in the Atzbach–Schwanenstadt gas field in Austria. Energy Procedia 2009, 1, 2961–2968. [Google Scholar] [CrossRef] [Green Version]
- Clemens, T.; Wit, K. CO2 Enhanced Gas Recovery Studied for an Example Gas Reservoir. OnePetro 2002. [Google Scholar] [CrossRef]
- Leeuwenburgh, O.; Neele, F.; Hofstee, C.; Weijermans, P.-J.; Boer, H.; Oosthoek, P.; Lefebvre, A.; Godderij, R.; Gutierrez-Neri, M. Enhanced gas recovery–a potential ‘U’ for CCUS in The Netherlands. Energy Procedia 2014, 63, 7809–7820. [Google Scholar] [CrossRef] [Green Version]
- Abba, M.; Abbas, A.; Nasr, G.G. Enhanced Gas Recovery by CO2 Injection and Sequestration: Effect of Connate Water Salinity on Displacement Efficiency. OnePetro 2017. [Google Scholar] [CrossRef]
- Omar, A.A.; Addassi, M.; Hoteit, H.; Vahrenkamp, V. A New Enhanced Gas Recovery Scheme Using Carbonated Water and Supercritical CO2. SSRN Electron. J. 2021, 1–11. [Google Scholar] [CrossRef]
- Honari, A.; Hughes, T.J.; Fridjonsson, E.O.; Johns, M.L.; May, E.F. Dispersion of supercritical CO2 and CH4 in consolidated porous media for enhanced gas recovery simulations. Int. J. Greenh. Gas Control. 2013, 19, 234–242. [Google Scholar] [CrossRef]
- Pooladi-Darvish, M.; Hong, H.; Theys, S.O.P.; Stocker, R.; Bachu, S.; Dashtgard, S. CO2 Injection for Enhanced Gas Recovery and Geological Storage of CO2 in the Long Coulee Glauconite F Pool, Alberta. OnePetro 2008. [Google Scholar] [CrossRef]
- Hoteit, H.; Fahs, M.; Soltanian, M.R. Assessment of CO2 Injectivity During Sequestration in Depleted Gas Reservoirs. Geosciences 2019, 9, 199. [Google Scholar] [CrossRef] [Green Version]
- Hoteit, H. Modeling diffusion and gas–oil mass transfer in fractured reservoirs. J. Pet. Sci. Eng. 2013, 105, 1–17. [Google Scholar] [CrossRef]
- Hughes, T.; Honari, A.; Graham, B.F.; Chauhan, A.S.; Johns, M.L.; May, E.F. CO2 sequestration for enhanced gas recovery: New measurements of supercritical CO2–CH4 dispersion in porous media and a review of recent research. Int. J. Greenh. Gas Control. 2012, 9, 457–468. [Google Scholar] [CrossRef]
- Blok, K.; Williams, R.; Katofsky, R.; Hendriks, C. Hydrogen production from natural gas, sequestration of recovered CO2 in depleted gas wells and enhanced natural gas recovery. Energy 1997, 22, 161–168. [Google Scholar] [CrossRef]
- Al-Hasami, A.; Ren, S.; Tohidi, B. CO2 Injection for Enhanced Gas Recovery and Geo-Storage: Reservoir Simulation and Economics. OnePetro 2005. [Google Scholar] [CrossRef]
- Ackerer, P.; Younès, A.; Mancip, M. A new coupling algorithm for density-driven flow in porous media. Geophys. Res. Lett. 2004, 31. [Google Scholar] [CrossRef] [Green Version]
- Shao, Q.; Fahs, M.; Hoteit, H.; Carrera, J.; Ackerer, P.; Younes, A. A 3-D Semianalytical Solution for Density-Driven Flow in Porous Media. Water Resour. Res. 2018, 54, 10-094–10-116. [Google Scholar] [CrossRef]
- Younes, A.; Fahs, M.; Ataie-Ashtiani, B.; Simmons, C.T. Effect of distance-dependent dispersivity on density-driven flow in porous media. J. Hydrol. 2020, 589, 125204. [Google Scholar] [CrossRef]
- Koohbor, B.; Fahs, M.; Ataie-Ashtiani, B.; Belfort, B.; Simmons, C.T.; Younes, A. Uncertainty analysis for seawater intrusion in fractured coastal aquifers: Effects of fracture location, aperture, density and hydrodynamic parameters. J. Hydrol. 2019, 571, 159–177. [Google Scholar] [CrossRef]
- Zhang, W.; Diab, W.; Hajibeygi, H.; Al Kobaisi, M. A Computational Workflow for Flow and Transport in Fractured Porous Media Based on a Hierarchical Nonlinear Discrete Fracture Modeling Approach. Energies 2020, 13, 6667. [Google Scholar] [CrossRef]
- Hoteit, H.; Firoozabadi, A. Numerical Modeling of Diffusion in Fractured Media for Gas-Injection and -Recycling Schemes. SPE J. 2009, 14, 323–337. [Google Scholar] [CrossRef] [Green Version]
- Amin, R.; Sidiq, H.; Kennaird, T.; Van Der Steen, E. Gas–gas experimental interfacial tension measurement. Fluid Phase Equilibria 2010, 295, 230–236. [Google Scholar] [CrossRef]
- Darcy, H.P.G. Les Fontaines Publiques de la Ville de Dijon. Exposition et Application des Principes à Suivre et des Formules à Employer Dans les Questions de Distribution d’eau, Etc.; Dalamont, V., Ed.; Dijon, France, 1856. [Google Scholar]
- Fick, A. Ueber diffusion. Ann. Phys. 1855, 170, 59–86. [Google Scholar] [CrossRef]
- Cussler, E.L. Multicomponent Diffusion; Elsevier: Amsterdam, The Netherlands, 2013; Volume 3. [Google Scholar]
- Acs, G.; Doleschall, S.; Farkas, E. General Purpose Compositional Model. Soc. Pet. Eng. J. 1985, 25, 543–553. [Google Scholar] [CrossRef]
- Peng, D.-Y.; Robinson, D.B. A New Two-Constant Equation of State. Ind. Eng. Chem. Fundam. 1976, 15, 59–64. [Google Scholar] [CrossRef]
- Henry, W., III. Experiments on the quantity of gases absorbed by water, at different temperatures, and under different pressures. Philos. Trans. R. Soc. Lond. 1803, 93, 29–274. [Google Scholar]
- Addassi, M.; Omar, A.; Ghorayeb, K.; Hoteit, H. Comparison of various reactive transport simulators for geological carbon sequestration. Int. J. Greenh. Gas Control. 2021, 110, 103419. [Google Scholar] [CrossRef]
- Dykstra, H.; Parsons, R.L. The prediction of oil recovery by waterflood. In Secondary Recovery of Oil in The United States; American Petroleum Institute: Washington, DC, USA, 1950; Volume 2, pp. 160–174. [Google Scholar]
- Plackett, R.L.; Burman, J.P. The Design of Optimum Multifactorial Experiments. Biometrika 1946, 33, 305. [Google Scholar] [CrossRef]
- Santoso, R.; Torrealba, V.; Hoteit, H. Investigation of an Improved Polymer Flooding Scheme by Compositionally-Tuned Slugs. Processes 2020, 8, 197. [Google Scholar] [CrossRef] [Green Version]
- Santoso, R.K.; Hoteit, H.; Vahrenkamp, V. Optimization of Energy Recovery from Geothermal Reservoirs Undergoing Re-Injection: Conceptual Application in Saudi Arabia. OnePetro 2019. [Google Scholar] [CrossRef]
- Sobol, I. Sensitivity Estimates for Nonlinear Mathematical Models. Mat. Model. 1993, 2, 112–118. [Google Scholar]
- CMG. CMOST: Intelligent Optimization & Analysis Tool; CMG: Calgary, Canada, 2019. [Google Scholar]
- Li, Y.; Nghiem, L.X. Phase equilibria of oil, gas and water/brine mixtures from a cubic equation of state and Henry’s law. Can. J. Chem. Eng. 1986, 64, 486–496. [Google Scholar] [CrossRef]
- Appelo, C.; Parkhurst, D.; Post, V. Equations for calculating hydrogeochemical reactions of minerals and gases such as CO2 at high pressures and temperatures. Geochim. Cosmochim. Acta 2014, 125, 49–67. [Google Scholar] [CrossRef]
- Koschel, D.; Coxam, J.-Y.; Rodier, L.; Majer, V. Enthalpy and solubility data of CO2 in water and NaCl(aq) at conditions of interest for geological sequestration. Fluid Phase Equilibria 2006, 247, 107–120. [Google Scholar] [CrossRef]
- Rowe, A.M.; Chou, J.C.S. Pressure-volume-temperature-concentration relation of aqueous sodium chloride solutions. J. Chem. Eng. Data 1970, 15, 61–66. [Google Scholar] [CrossRef]
- Miri, R.; Hellevang, H. Salt precipitation during CO2 storage—A review. Int. J. Greenh. Gas Control 2016, 51, 136–147. [Google Scholar] [CrossRef]
- Tang, Y.; Yang, R.; Kang, X. Modeling the effect of water vaporization and salt precipitation on reservoir properties due to carbon dioxide sequestration in a depleted gas reservoir. Petroleum 2018, 4, 385–397. [Google Scholar] [CrossRef]
- Hebach, A.; Oberhof, A.; Dahmen, N. Density of Water + Carbon Dioxide at Elevated Pressures: Measurements and Correlation. J. Chem. Eng. Data 2004, 49, 950–953. [Google Scholar] [CrossRef]
- Salas, S.; Corrales, M.; Hoteit, H.; Alafifi, A. Quantifying Uncertainty through 3D Geological Modeling for Carbon Capture Utilization and Storage in the Unayzah Formation in Saudi Arabia. EGU Gen. Assem. 2021. [Google Scholar] [CrossRef]
- Janssen, H. Monte-Carlo based uncertainty analysis: Sampling efficiency and sampling convergence. Reliab. Eng. Syst. Saf. 2013, 109, 123–132. [Google Scholar] [CrossRef]
- Adepoju, O.O.; Hussein, H.; Chawathe, A. Assessment of Chemical Performance Uncertainty in Chemical EOR Simulations. OnePetro 2017. [Google Scholar] [CrossRef]
- Lee, W.J.; Wattenbarger, R.A. Gas Reservoir Engineering; Henry L. Doherty Memorial Fund of AIME, Society of Petroleum Engineers: Richardson, TX, USA, 1996; Volume 5. [Google Scholar]
- Palmer, J.R.; Tybero, G.; Riches, H.A.; Dudley, G.; Marsh, M.M. Renewed Exploration And Appraisal of the Viking Area: A Case Study. OnePetro 1995. [Google Scholar] [CrossRef]
- Gage, M. A Review of the Viking Gas Field. In Giant Oil and Gas Fields of the Decade 1968–1978; AAPG: Tulsa, OK, USA, 1980; Volume A012, pp. 39–57. [Google Scholar]
- King, W.R.; Taylor, F.R. Field Evaluation of Corrosion Control Chemicals in the Viking Gas Field. OnePetro 1975. [Google Scholar] [CrossRef]
- Kuhn, M.; Forster, A.; Großmann, J.; Lillie, J.; Pilz, P.; Reinicke, K.; Schäfer, D.; Tesmer, M. The Altmark Natural Gas Field is prepared for the Enhanced Gas Recovery Pilot Test with CO2. Energy Procedia 2013, 37, 6777–6785. [Google Scholar] [CrossRef] [Green Version]
- Kühn, M.; Partners, C.; Tesmer, M.; Pilz, P.; Meyer, R.; Reinicke, K.; Förster, A.; Kolditz, O.; Schäfer, D. CLEAN: Project overview on CO2 large-scale enhanced gas recovery in the Altmark natural gas field (Germany). Environ. Earth Sci. 2012, 67, 311–321. [Google Scholar] [CrossRef]
- Ganzer, L.; Reitenbach, V.; Pudlo, D.; Albrecht, D.; Singhe, A.T.; Awemo, K.N.; Wienand, J.; Gaupp, R. Experimental and numerical investigations on CO2 injection and enhanced gas recovery effects in Altmark gas field (Central Germany). Acta Geotech. 2013, 9, 39–47. [Google Scholar] [CrossRef]
- Van Der Meer, L.; Kreft, E.; Geel, C.; Hartman, J. K12-B a Test Site for CO2 Storage and Enhanced Gas Recovery (SPE94128). In Proceedings of the 67th EAGE Conference & Exhibition, Madrid, Spain, 13–16 June 2005. [Google Scholar]
- Vandeweijer, V.; van der Meer, B.; Hofstee, C.; Mulders, F.; D’Hoore, D.; Graven, H. Monitoring the CO2 injection site: K12-B. Energy Procedia 2011, 4, 5471–5478. [Google Scholar] [CrossRef] [Green Version]
- van der Meer, B.L.G.H.; Arts, R.J.; Geel, C.R.; Hofstee, C.; Winthaegen, P.; Hartman, J.; D’Hoore, D. K12-B: Carbon dioxide injection in a nearly depleted gas field offshore the Netherlands. AAPG 2009, 379–390. [Google Scholar] [CrossRef]
- Urosevic, M.; Pevzner, R.; Kepic, A.; Wisman, P.; Shulakova, V.; Sharma, S. Time-lapse seismic monitoring of CO2 injection into a depleted gas reservoir—Naylor Field, Australia. Lead. Edge 2010, 29, 164–169. [Google Scholar] [CrossRef]
- Urosevic, M.; Pevzner, R.; Shulakova, V.; Kepic, A.; Caspari, E.; Sharma, S. Seismic monitoring of CO2 injection into a depleted gas reservoir–Otway Basin Pilot Project, Australia. Energy Procedia 2011, 4, 3550–3557. [Google Scholar] [CrossRef] [Green Version]
- Jenkins, C.R.; Cook, P.J.; Ennis-King, J.; Undershultz, J.; Boreham, C.; Dance, T.; de Caritat, P.; Etheridge, D.M.; Freifeld, B.; Hortle, A.; et al. Safe storage and effective monitoring of CO2 in depleted gas fields. Proc. Natl. Acad. Sci. USA 2011, 109, E35–E41. [Google Scholar] [CrossRef] [Green Version]

















Publisher’s Note: MDPI stays neutral with regard to jurisdictional claims in published maps and institutional affiliations. |
© 2021 by the authors. Licensee MDPI, Basel, Switzerland. This article is an open access article distributed under the terms and conditions of the Creative Commons Attribution (CC BY) license (https://creativecommons.org/licenses/by/4.0/).
Share and Cite
Omar, A.; Addassi, M.; Vahrenkamp, V.; Hoteit, H. Co-Optimization of CO2 Storage and Enhanced Gas Recovery Using Carbonated Water and Supercritical CO2. Energies 2021, 14, 7495. https://doi.org/10.3390/en14227495
Omar A, Addassi M, Vahrenkamp V, Hoteit H. Co-Optimization of CO2 Storage and Enhanced Gas Recovery Using Carbonated Water and Supercritical CO2. Energies. 2021; 14(22):7495. https://doi.org/10.3390/en14227495
Chicago/Turabian StyleOmar, Abdirizak, Mouadh Addassi, Volker Vahrenkamp, and Hussein Hoteit. 2021. "Co-Optimization of CO2 Storage and Enhanced Gas Recovery Using Carbonated Water and Supercritical CO2" Energies 14, no. 22: 7495. https://doi.org/10.3390/en14227495
APA StyleOmar, A., Addassi, M., Vahrenkamp, V., & Hoteit, H. (2021). Co-Optimization of CO2 Storage and Enhanced Gas Recovery Using Carbonated Water and Supercritical CO2. Energies, 14(22), 7495. https://doi.org/10.3390/en14227495

