Semi-Analytical Rate Decline Solutions for a Refractured Horizontal Well Intercepted by Multiple Reorientation Fractures with Fracture Face Damage in an Anisotropic Tight Reservoir
Abstract
:1. Introduction
2. Physical Model
- (1)
- This is a closed, anisotropic, and rectangular reservoir with the side lengths xe and ye, porosity ϕ, and thickness h. Its x- and y-axis permeabilities are kx and ky respectively, and the average reservoir permeability is , equal to .
- (2)
- The horizontal wellbore is parallel to the x-axis (the minimum horizontal principal stress direction), and is intercepted by N reorientation fractures, including completely newly formed reorientation fractures and reorientation fractures transformed from initial fracturing fractures.
- (3)
- All reorientation fractures are vertical and fully penetrate this tight formation. Each reorientation fracture reorients twice and is mainly composed of three sections, namely one principal fracture section and two reoriented fracture sections, shown in Figure 2.
- (4)
- The permeability and porosity of all reorientation fractures are the same, kf and ϕf, respectively. The width of every reorientation fracture wf cannot change with fracture reorientation, but the lengths of all reorientation fractures can be completely different. For the i-th reorientation fracture, its half-length is xfi; the angle and length of its principal fracture section are θi,1 and xfi,1; the angles of its two reoriented fracture sections are θi,2 and θi,3, respectively and the corresponding lengths are xfi,2 and xfi,3, respectively.
- (5)
- Every reorientation fracture is surrounded by a damage zone. The damaged zone of the i-th reorientation fracture has a reduced permeability ksi and width wsi, shown as the yellow shaded areas in Figure 2.
- (6)
- All production of fluid is via these N reorientation fractures. No flow is allowed into reorientation fractures through fracture tips, and fluid flow in all fractures is linear and steady and obeys Darcy’s law.
- (7)
- Single-phase (tight oil or tight gas) and slightly compressible fluid (viscosity μ, volume factor B, and compressibility Ct) flow occurs in this reservoir during well production, and all fluid first flows into reorientation fractures and then into the horizontal wellbore. The frictional resistance along the horizontal wellbore is not considered.
- (8)
- All formation, fracture, and fluid properties are independent of pressure, and gravity effects are negligible.
- (9)
- The initial pressure is uniform throughout this system, equal to pinit.
3. Mathematical Models
3.1. Reservoir Flow Model for a Refractured Horizontal Well
3.2. Reorientation Fracture Flow Model for a Refractured Horizontal Well
3.3. Traditional Rate Decline Solution for a Refractured Horizontal Well
3.4. Blasingame Rate Decline Solution Based on Semi-Analytical Pseudo-Steady-State Constant
4. Verification and Validation of Traditional Rate Decline Solution
5. Results and Discussion
5.1. Single Factor Sensitivity Analysis of Traditional Rate Decline and Cumulative Production
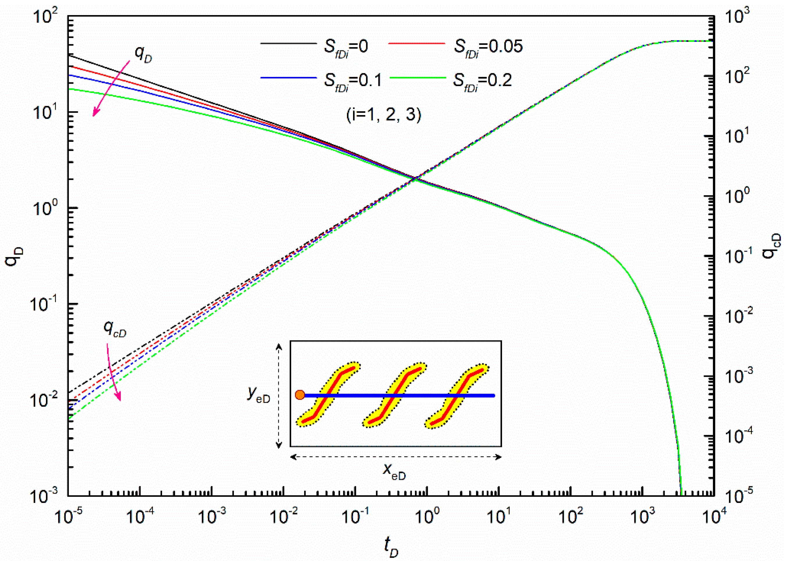
5.1.1. Fracture Face Damage
5.1.2. Reorientation Fracture Angle
5.1.3. Fracture Rotation
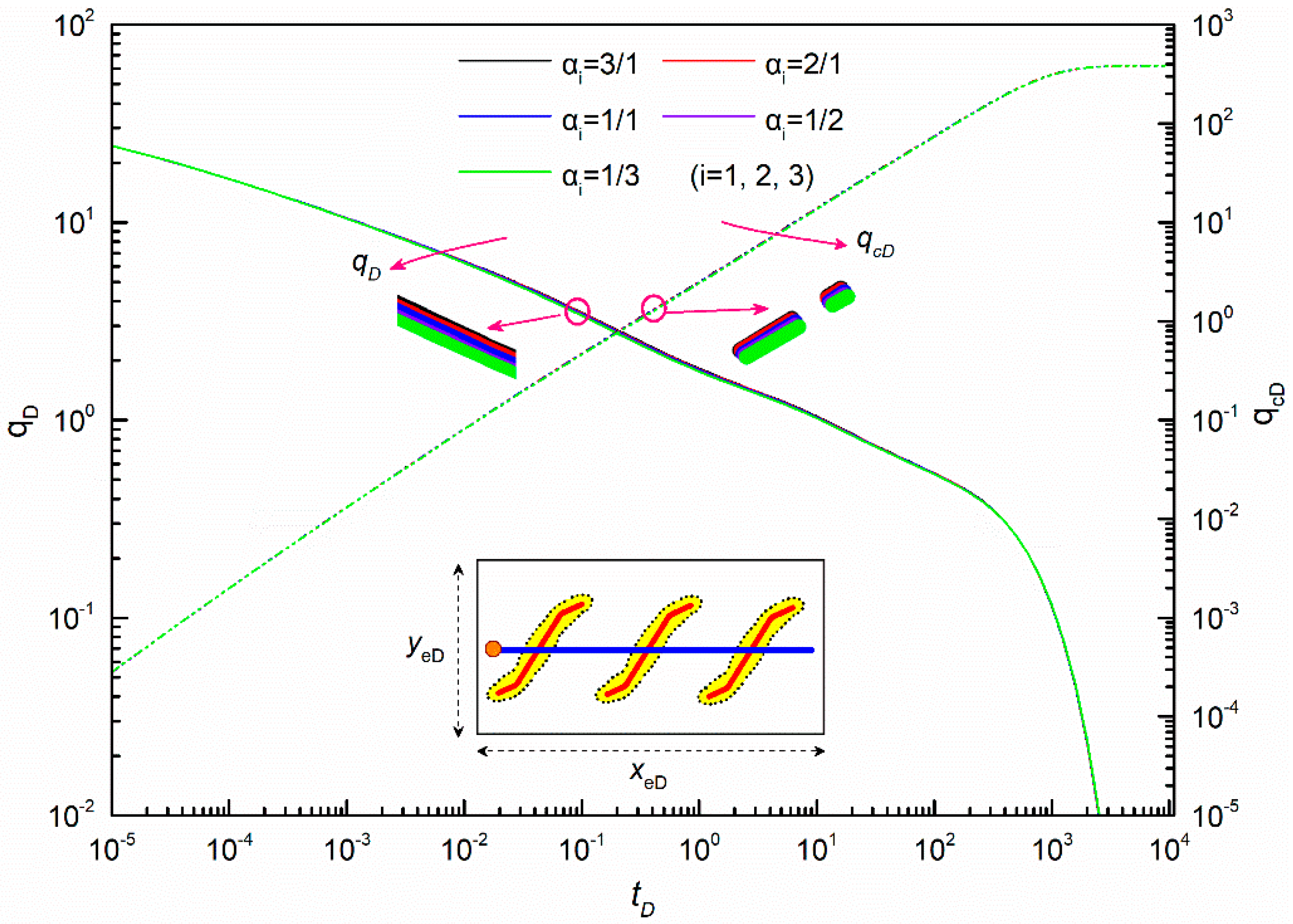
5.1.4. Fracture Length Ratio
5.1.5. Fracture Spacing
5.1.6. Reorientation Fracture Number
5.1.7. Reservoir Permeability Anisotropy
5.2. Multifactor Sensitivity Analysis of Traditional Rate Decline
5.3. Blasingame Type Rate Decline Curves
5.3.1. Typical Characteristics of Blasingame Type Rate Decline Curves for a Refractured Horizontal Well
5.3.2. Blasingame Type Rate Decline Curves for a Refractured Horizontal Well
5.4. Field Application
6. Conclusions
- By using a semi-analytical method, traditional and Blasingame-type rate decline solutions in the Laplace domain were developed for a refractured horizontal well intercepted by multiple reorientation fractures with fracture face damage in an anisotropic tight reservoir. The proposed traditional rate decline solution shows good agreement with a classic case in the literature and a numerical simulation case.
- Single-factor sensitivity analysis of traditional rate decline shows that fracture face damage is not conducive to increasing well productivity during the early flow period. A larger fracture face, which is as perpendicular to the principal permeability direction as possible, is helpful to improve flow efficiency. There is an optimal matching relationship between the principal fracture section angle, the fracture length ratio, and permeability anisotropy for strong anisotropic reservoirs.
- Fracture spacing has a weak effect on the production rate while the fracture number shows a strong influence on the rate decline. It is unwise to ignore the influence of a lower fracture number in order to pursue wider fracture spacing. The matching relationship between fracture spacing and the fracture number for a refractured horizontal well needs to be optimized for economical production.
- Multifactor sensitivity analysis of the transient rate decline shows that fracture conductivity has a more sensitive effect on the productivity than fracture face damage, and large fracture conductivity should be pursued. Under strong permeability anisotropy, the principal fracture section angle becomes more sensitive to the production rate than permeability anisotropy, and the principal fracture section should be perpendicular to the principal permeability direction to achieve maximum productivity.
- Six typical flow regimes can be identified from Blasingame-type rate decline curves, including the bi-linear flow regime, first linear flow regime, mid-radial flow regime, mid-linear flow regime, pseudo-radial flow regime, and boundary-dominant flow regime. Various fracture properties are sensitive to different flow regimes. The flow characteristics of Blasingame-type curves are more obvious and typical than traditional rate decline curves. The combination of two kinds of rate decline curves can help the well test inversion to obtain the model parameters.
Author Contributions
Funding
Institutional Review Board Statement
Informed Consent Statement
Data Availability Statement
Conflicts of Interest
Nomenclature
| Variables: Real Domain | |
| x, y | coordinates in the reservoir, m |
| xe, ye | reservoir length and width, m |
| xw, yw | wellbore coordinate |
| ϕ | reservoir porosity, fraction |
| kx | reservoir permeability in x-axis, 10−3 μm2 |
| ky | reservoir permeability in y-axis, 10−3 μm2 |
| equivalent permeability of tight reservoir, 10−3 μm2 | |
| h | reservoir thickness, m |
| xfi | half-length of the i-th reorientation fracture, m |
| xfi,1 | principal fracture section length of the i-th reorientation fracture, m |
| xfi,2, xfi,3 | reoriented fracture section length of the i-th reorientation fracture, m |
| θi,1 | principal fracture section angle of the i-th reorientation fracture, degree |
| θi,2, θi,3 | reoriented fracture section angle of the i-th reorientation fracture, degree |
| wf | fracture width, m |
| ϕf | fracture porosity, fraction |
| kf | permeability of reorientation fracture, 10−3 μm2 |
| Lf | fracture spacing, m |
| wsi | width of the i-th fracture face damage zone, m |
| ksi | permeability of the i-th fracture face damage zone, 10−3 μm2 |
| l | length of discrete micro segment, m |
| LR | reference length, m |
| pinit | initial reservoir pressure, MPa |
| pavg | average reservoir pressure, MPa |
| pf | pressure in reorientation fracture, MPa |
| pw | wellbore pressure, Mpa |
| pi | reservoir pressure near the i-th fracture segment, MPa |
| μ | fluid viscosity, mPa·s |
| B | volume factor, m3/ m3 |
| Ct | total compressibility, 1/MPa |
| Q | wellbore flow rate, m3/d |
| qfw | flow rate of per unit fracture length, m3/d |
| qf | flow rate strength, m2/d |
| t | production time, d |
| N | reorientation fracture number |
| Nk | total discrete segments of the k-th reorientation fracture |
| Dimensionless Variables: Real Domain | |
| xD, yD | dimensionless x-, y-coordinate |
| xeD, yeD | dimensionless reservoir length and width |
| xwD, ywD | dimensionless wellbore coordinate |
| xDp, yDp | dimensionless coordinate of mid-point of a line source |
| pD | dimensionless reservoir pressure |
| pavgD | dimensionless average reservoir pressure |
| pfD | dimensionless pressure in reorientation fracture |
| pfDs | dimensionless pressure in fracture face damage zone |
| pwD | dimensionless wellbore pressure |
| qD | dimensionless flow rate |
| qfD | dimensionless flow rate strength |
| qfwD | dimensionless flow rate of per unit reorientation fracture length |
| qcD | dimensionless cumulative rate |
| qDd | dimensionless decline rate |
| qDdi | dimensionless rate integral |
| qDdid | dimensionless rate integral derivative |
| CfD | dimensionless reorientation fracture conductivity |
| LfD | dimensionless fracture spacing |
| lD | dimensionless discrete micro segment length |
| tD | dimensionless production time |
| tDA | dimensionless material balance time |
| SfDi | dimensionless fracture face damage factor of the i-th reorientation fracture |
| FD | dimensionless influence function |
| bDpss | dimensionless pseudo-steady-state constant |
| σ | dimensionless integral variable |
| ΔlDi | dimensionless length of the i-th discrete micro segment, i = 1, 2… |
| αi | fracture length ratio of the i-th reorientation fracture |
| β | permeability anisotropic factor |
| Dimensionless Variables: Real Domain | |
| dimensionless pressure in Laplace domain | |
| dimensionless wellbore pressure in Laplace domain | |
| dimensionless pressure in reorientation fracture in Laplace domain | |
| dimensionless pressure in fracture face damage zone in Laplace domain | |
| dimensionless flow rate in Laplace domain | |
| dimensionless flow rate of a fracture segment in Laplace domain | |
| dimensionless cumulative production in Laplace domain | |
| s | time variable in Laplace domain |
| Special Functions | |
| sinh | hyperbolic sine function |
| cosh | hyperbolic cosine function |
References
- Lantz, T.G.; Greene, D.T.; Eberhard, M.J.; Norrid, R.S.; Pershall, R.A. Refracture treatments proving successful in horizontal Bakken wells: Richland Count, Montana. In Proceedings of the Rocky Mountain Oil & Gas Technology Symposium, Denver, CO, USA, 16–18 April 2007; pp. 1–8. [Google Scholar] [CrossRef]
- Indras, P.; Blankenship, C. A commercial evaluation of refracturing horizontal shale wells. In Proceedings of the SPE Annual Technical Conference and Exhibition, Houston, TX, USA, 28–30 September 2015; pp. 1–14. [Google Scholar] [CrossRef]
- Lindsay, G.J.; White, D.J.; Miller, G.A.; Baihly, J.D.; Sinosic, B. Understanding the applicability and economic viability of refracturing horizontal wells in unconventional plays. In Proceedings of the SPE Hydraulic Fracturing Technology Conference, The Woodlands, TX, USA, 9–11 February 2016; pp. 1–19. [Google Scholar] [CrossRef]
- Wright, C.A. Reorientation of propped refracture treatments in the Lost Hills Field. In Proceedings of the SPE Western Regional Meeting, Long Beach, CA, USA, 23–25 March 1994; pp. 483–497. [Google Scholar] [CrossRef]
- Siebrits, E.; Elbel, J.L.; Detournay, E.; Detournay-Piette, C.; Christianson, M.; Robinson, B.M.; Diyashev, I.R. Parameters affecting azimuth and length of a secondary fracture during a refracture treatment. In Proceedings of the SPE Annual Technical Conference and Exhibition, New Orleans, LA, USA, 27–30 September 1998; pp. 17–27. [Google Scholar] [CrossRef]
- Siebrits, E.; Elbel, J.L.; Hoover, R.S.; Diyashev, I.R.; Griffin, L.G.; Demetrius, S.L.; Wright, C.A.; Davidson, B.M.; Steinsberger, N.P.; Hill, D.G. Refracture reorientation enhances gas production in Barnett shale tight gas wells. In Proceedings of the SPE Annual Technical Conference and Exhibition, Dallas, TX, USA, 1–4 October 2000; pp. 1–7. [Google Scholar] [CrossRef]
- Evans, J.G. The use of pressure buildup information to analyze non-respondent vertically fractured oil wells. In Proceedings of the SPE Rocky Mountain Regional Meeting, Billings, MT, USA, 2–4 June 1971; pp. 1–10. [Google Scholar] [CrossRef]
- Ilk, D.; Currie, S.M.; Symmons, D.; Rushing, J.A.; Blasingame, T.A. Hybrid rate-decline models for the analysis of production performance in unconventional reservoirs. In Proceedings of the SPE Annual Technical Conference and Exhibition, Florence, Italy, 19–22 September 2010; pp. 1–39. [Google Scholar] [CrossRef] [Green Version]
- Li, P.Y.; Hao, M.Q.; Hu, J.H.; Ru, Z.X.; Li, Z.P. A new production decline model for horizontal wells in low-permeability reservoirs. J. Petrol. Sci. Eng. 2018, 171, 340–352. [Google Scholar] [CrossRef]
- Luo, H.; Mahiya, G.F.; Pannett, S.; Benham, P. The use of rate-transient-analysis modeling to quantify uncertainties in commingled tight gas production-forecasting and decline-analysis parameters in the Alberta Deep Basin. SPE Reserv. Eval. Eng. 2014, 17, 209–219. [Google Scholar] [CrossRef]
- Tian, F.; Du, X.K.; Wang, X.D.; Xu, W.L. Rate decline analysis for finite conductivity vertical fractured gas wells produced under a variable inner boundary condition. J. Petrol. Sci. Eng. 2018, 171, 1249–1259. [Google Scholar] [CrossRef]
- Chen, Z.M.; Liao, X.W.; Zhao, X.L.; Yu, W.; Sepehrnoorib, K. A workflow based on a semianalytical model to estimate the properties of stimulated reservoir volume of tight-oil wells. J. Petrol. Sci. Eng. 2019, 178, 892–903. [Google Scholar] [CrossRef]
- Jiang, L.W.; Liu, J.J.; Liu, T.J.; Yang, D.Y. Production decline analysis for a fractured vertical well with reorientated fractures in an anisotropic formation with an arbitrary shape using the boundary element method. J. Petrol. Sci. Eng. 2021, 109213, in press. [Google Scholar] [CrossRef]
- Arps, J.J. Analysis of decline curves. Pet. Trans. 1945, 160, 228–247. [Google Scholar] [CrossRef]
- Fetkovich, M.J. Decline curve analysis using type curves. J. Pet. Tech. 1980, 32, 1065–1077. [Google Scholar] [CrossRef]
- Blasingame, T.A.; Johnston, J.L.; Lee, W.J. Type-curve analysis using the pressure integral method. In Proceedings of the SPE California Regional Meeting, Bakersfield, CA, USA, 5–7 April 1989; pp. 1–19. [Google Scholar] [CrossRef]
- Blasingame, T.A.; McCray, T.L.; Lee, W.J. Decline curve analysis for variable pressure drop/variable flowrate systems. In Proceedings of the SPE Gas Technology Symposium, Houston, TX, USA, 22–24 January 1991; pp. 1–17. [Google Scholar] [CrossRef]
- Andersen, P.Ø. A semi-analytical solution for shale gas production from compressible matrix including scaling of gas recovery. J. Nat. Gas Sci. Eng. 2021, 95, 1–23. [Google Scholar] [CrossRef]
- Nobakht, M.; Clarkson, C.R. A new analystical method for analyzing linear flow in tight/shale gas reservoirs: Constant-flowing- pressure boundary condition. SPE Reserv. Eval. Eng. 2012, 15, 370–384. [Google Scholar] [CrossRef] [Green Version]
- Agarwal, R.G.; Carter, R.D.; Pollock, C.B. Evaluation and performance prediction of low-permeability gas wells stimulated by massive hydraulic fracturing. J. Pet. Tech. 1979, 31, 362–372. [Google Scholar] [CrossRef]
- Cinco-Ley, H.; Samaniego-V, F. Transient pressure analysis for fractured wells. J. Pet. Technol. 1981, 33, 1749–1766. [Google Scholar] [CrossRef]
- Clarkson, C.R.; Beierle, J. Integration of microseismic and other post-fracture surveillance with production analysis: A tight gas study. In Proceedings of the SPE Unconventional Gas Conference, Pittsburgh, PA, USA, 23–25 February 2010; pp. 1–32. [Google Scholar] [CrossRef]
- Chen, H.; Teufel, L.W. A new rate-time type curve for analysis of tight-gas linear and radial flows. In Proceedings of the SPE Annual Technical Conference and Exhibition, Dallas, TX, USA, 1–4 October 2000; pp. 1–12. [Google Scholar] [CrossRef]
- Zhang, D.L.; Zhang, L.H.; Guo, J.J.; Zhou, Y.H.; Zhao, Y.L. Research on the production performance of multistage fractured horizontal well in shale gas reservoir. J. Nat. Gas Sci. Eng. 2015, 26, 279–289. [Google Scholar] [CrossRef]
- Wang, J.H.; Wang, X.D.; Dong, W.X. Rate decline curves analysis of multiple-fractured horizontal wells in heterogeneous reservoirs. J Hydrol. 2017, 553, 527–539. [Google Scholar] [CrossRef]
- He, Y.W.; Cheng, S.Q.; Rui, Z.H.; Qin, J.Z.; Fu, L.; Shi, J.G.; Wang, Y.; Li, D.Y.; Patil, S.; Yu, H.Y.; et al. An improved rate-transient analysis model of multi-fractured horizontal wells with non-uniform hydraulic fracture properties. Energies 2018, 11, 393. [Google Scholar] [CrossRef] [Green Version]
- Hu, Y.P.; Cheng, Z.Y.; Ding, W.; Zhang, X.L.; Qu, L.C.; Sun, C.L.; Su, P.H.; Zhang, W.Q. Rate decline analysis of horizontal wells with multiple variable conductivity and uneven distributed fractures. Geofluids 2020, 2020, 8854307. [Google Scholar] [CrossRef]
- Teng, B.L.; Li, H.Z.A. A Semi-analytical model for evaluating the performance of a refractured vertical well with an orthogonal refracture. SPE J. 2019, 24, 891–911. [Google Scholar] [CrossRef]
- Wu, S.H.; Xing, G.Q.; Cui, Y.D.; Wang, B.H.; Shi, M.Y.; Wang, M.X. A semi-analytical model for pressure transient analysis of hydraulic reorientation fracture in an anisotropic reservoir. J. Petrol. Sci. Eng. 2019, 179, 228–243. [Google Scholar] [CrossRef]
- Wang, M.X.; Fan, Z.F.; Zhao, L.; Xing, G.Q.; Zhao, W.Q.; Tan, C.Q. Productivity analysis for a horizontal well with multiple reorientation fractures in an anisotropic reservoir. Oil Gas Sci. Technol. 2020, 75, 1–17. [Google Scholar] [CrossRef]
- Grieser, B.; Calvin, J.; Dulin, J. Lessons learned: Refracs from 1980 to present. In Proceedings of the SPE Hydraulic Fracturing Technology Conference, The Woodlands, TX, USA, 9–11 February 2016; pp. 1–24. [Google Scholar] [CrossRef]
- Asalkhuzina, G.F.; Davletbaev, A.Y.; Fedorov, A.I.; Yuldasheva, A.R.; Efremov, A.N.; Sergeychev, A.V.; Ishkin, D.Z. Identification of refracturing reorientation using decline-analysis and geomechanical simulator. In Proceedings of the SPE Russian Petroleum Technology Conference, Moscow, Russia, 16–18 October 2017; pp. 1–11. [Google Scholar] [CrossRef]
- Cinco-Ley, H.; Samaniego, V.F. Effect of wellbore storage and damage on the transient pressure behavior of vertically fractured wells. In Proceedings of the SPE Annual Fall Technical Conference and Exhibition, Denver, CO, USA, 9–12 October 1977; pp. 1–8. [Google Scholar] [CrossRef]
- Wang, L.; Wang, X.D.; Ding, X.M.; Zhang, L.; Li, C. Rate decline curves analysis of a vertical fractured well with fracture face damage. J Energ. Resour. ASME 2012, 134, 1–9. [Google Scholar] [CrossRef]
- Xing, G.Q.; Wu, S.H.; Wang, J.H.; Wang, M.X.; Wang, B.H.; Cao, J.J. Pressure transient performance for a horizontal well intercepted by multiple reorientation fractures in a tight reservoir. Energies 2019, 12, 4232. [Google Scholar] [CrossRef] [Green Version]
- Duhamel, J.M.C. Study on general method of solid thermal motion in medium with temperature varying with time. J. l’Ecole Polytech. (Paris) 1833, 14, 20–27. [Google Scholar]
- Wang, X.D. Fundamental Mechanics of Fluids Flow in Porous Media; Petroleum Industry Press: Beijing, China, 2006. [Google Scholar]
- Stehfest, H. Numerical inversion of Laplace transforms. Commun. ACM 1970, 13, 47–49. [Google Scholar] [CrossRef]
- Pratikno, H.; Rushing, J.A.; Blasingame, T.A. Decline curve analysis using type curves-fractured wells. In Proceedings of the SPE Annual Technical Conference and Exhibition, Denver, CO, USA, 5–8 October 2003; pp. 1–14. [Google Scholar] [CrossRef]
- Cui, Y.D.; Lu, B.; Wu, M.T.; Luo, W.J. A new pseudo steady-state constant for a vertical well with finite-conductivity fracture. Processes 2018, 6, 93. [Google Scholar] [CrossRef] [Green Version]
- Xing, G.Q.; Wang, M.X.; Wu, S.H.; Li, H.; Dong, J.Y.; Zhao, W.Q. Pseudo-steady-state Parameters for a well penetrated by a fracture with an azimuth angle in an anisotropic reservoir. Energies 2019, 12, 2449. [Google Scholar] [CrossRef] [Green Version]
- Luo, W.J.; Tang, C.F.; Feng, Y.; Zhu, M.Y. Mechanism of fluid flow along a dynamic conductivity fracture with pressure-dependent permeability under constant wellbore pressure. J. Petrol. Sci. Eng. 2018, 166, 465–475. [Google Scholar] [CrossRef]



















| Dimensionless Parameters | Definitions |
|---|---|
| Reservoir pressure | |
| Average reservoir pressure | |
| Reorientation fracture pressure | |
| Production time | |
| x-, y-coordinate | |
| x-, y-coordinate of wellbore | |
| Fracture spacing | |
| Fracture length ratio | |
| Permeability anisotropic factor | |
| Fracture face damage factor | |
| Reorientation fracture conductivity | |
| Flow rate strength | |
| Flow rate of per unit reorientation fracture length |
| Basic Model Parameters | Value |
|---|---|
| Reservoir drainage area, m2 | 3000 × 2000 |
| Reservoir porosity, % | 8 |
| Permeability in the x-axis, 10−3 μm2 | 0.2 |
| Permeability in the y-axis, 10−3 μm2 | 0.05 |
| Tight oil viscosity, mPa·s | 0.8 |
| Tight oil density, g/cm3 | 0.832 |
| Net thickness, m | 10 |
| Wellbore inside diameter, m | 0.18 |
| Initial reservoir pressure, MPa | 20 |
| Bottomhole flow pressure, MPa | 8 |
| Volume factor, m3/m3 | 1.1 |
| Total compressibility, 10−3 MPa−1 | 4 |
| Horizontal wellbore length, m | 1200 |
| Fracture number, integer | 3 |
| Fracture spacing, m | 500 |
| Half-length of one fracture, m | 50 |
| Length of principal fracture section, m | 75 |
| Length of reoriented fracture section, m | 12.5 |
| Angle of principal fracture section, degree | 60 |
| Angle of reoriented fracture section, degree | 45 |
| Fracture width, m | 0.015 |
| Fracture permeability, 10−3 μm2 | 1030 |
| Width of damaged zone, m | 0.016 |
| Permeability in damaged zone, 10−3 μm2 | 0.0005 |
| xeD | yeD | FN | θi,1 | θi,2 | θi,3 | CfD | LfD | SfDi | αi | β |
|---|---|---|---|---|---|---|---|---|---|---|
| 60 | 40 | 3 | π/3 | π/4 | π/4 | π | 10 | 0.1 | 3 | 2 |
Publisher’s Note: MDPI stays neutral with regard to jurisdictional claims in published maps and institutional affiliations. |
© 2021 by the authors. Licensee MDPI, Basel, Switzerland. This article is an open access article distributed under the terms and conditions of the Creative Commons Attribution (CC BY) license (https://creativecommons.org/licenses/by/4.0/).
Share and Cite
Wang, M.; Dou, X.; Ming, R.; Li, W.; Zhao, W.; Tan, C. Semi-Analytical Rate Decline Solutions for a Refractured Horizontal Well Intercepted by Multiple Reorientation Fractures with Fracture Face Damage in an Anisotropic Tight Reservoir. Energies 2021, 14, 7482. https://doi.org/10.3390/en14227482
Wang M, Dou X, Ming R, Li W, Zhao W, Tan C. Semi-Analytical Rate Decline Solutions for a Refractured Horizontal Well Intercepted by Multiple Reorientation Fractures with Fracture Face Damage in an Anisotropic Tight Reservoir. Energies. 2021; 14(22):7482. https://doi.org/10.3390/en14227482
Chicago/Turabian StyleWang, Mingxian, Xiangji Dou, Ruiqing Ming, Weiqiang Li, Wenqi Zhao, and Chengqian Tan. 2021. "Semi-Analytical Rate Decline Solutions for a Refractured Horizontal Well Intercepted by Multiple Reorientation Fractures with Fracture Face Damage in an Anisotropic Tight Reservoir" Energies 14, no. 22: 7482. https://doi.org/10.3390/en14227482
APA StyleWang, M., Dou, X., Ming, R., Li, W., Zhao, W., & Tan, C. (2021). Semi-Analytical Rate Decline Solutions for a Refractured Horizontal Well Intercepted by Multiple Reorientation Fractures with Fracture Face Damage in an Anisotropic Tight Reservoir. Energies, 14(22), 7482. https://doi.org/10.3390/en14227482
