Deep Learning-Based Adaptive Remedial Action Scheme with Security Margin for Renewable-Dominated Power Grids
Abstract
:1. Introduction
- The deep learning–based adaptive remedial action scheme (RAS) is proposed in this paper. This new method suggests optimal load shedding and generation trip amount to avoid excessive load shedding or generation trip compared to traditional RAS.
- Considering a safety margin, a customized loss function is proposed to make the prediction error in the desired direction as much as possible to guarantee the frequency is inside the secure zone.
- This new method can be generalized for extreme events that may not be covered by traditional RAS due to complex operating conditions with higher renewable penetration levels.
2. Study System and WECC-1 RAS
2.1. Study System
2.2. WECC-1 RAS
3. Training and Testing Dataset Generation
4. Deep Learning-Based Adaptive RAS
4.1. Deep Learning Neural Network Structure for Adaptive RAS
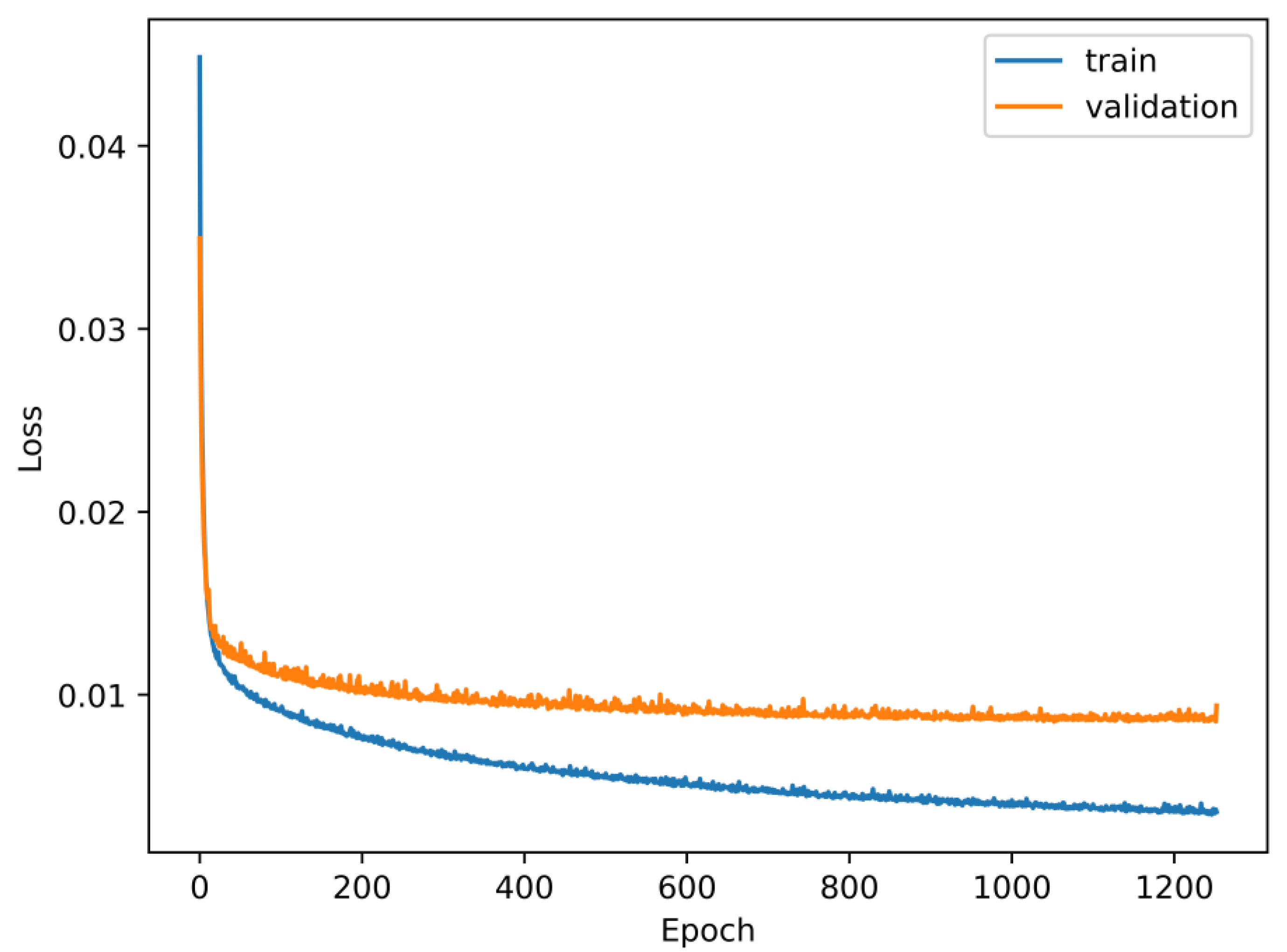
4.2. ANN Model Training, Validation, and Testing
4.3. Customized Loss Function
4.4. Feature Normalization
4.5. Evaluation Metrics
5. Numerical Studies
5.1. Layer Number and Node Number Selection
5.2. Regularization Hyper Parameter Tuning
5.3. Performance with Customized Loss Function
5.4. Comparison with Traditional RAS
6. Conclusions
Author Contributions
Funding
Institutional Review Board Statement
Informed Consent Statement
Data Availability Statement
Conflicts of Interest
Disclaimer
References
- O’Brien, J.; Barrett, E.; Fan, X.; Diao, R.; Huang, R.; Huang, Q. Adaptive RAS/SPS System Settings for Improving Grid Reliability and Asset Utilization through Predictive Simulation and Controls, Task 1 Report—Survey on RAS/SPS Modeling Practice. October 2017. Available online: https://www.osti.gov/servlets/purl/1580707 (accessed on 4 June 2021).
- Mahmoudi, M.M.; Kincic, S.; Zhang, H.; Tomsovic, K. Implementation and testing of remedial action schemes for real-time transient stability studies. In Proceedings of the 2017 IEEE Power & Energy Society General Meeting, Chicago, IL, USA, 16–20 July 2017; pp. 1–5. [Google Scholar] [CrossRef]
- Varghese, M.; Jin, L.; Ghosh, S.; Lin, G.; Pek, B. The CAISO experience of implementing automated remedial action schemes in energy management systems. In Proceedings of the 2009 IEEE Power & Energy Society General Meeting, Calgary, AB, Canada, 26–30 July 2009; pp. 1–5. [Google Scholar] [CrossRef]
- Ajao, B.; Khaledian, P.; Johnson, B.K.; Chakhchoukh, Y. Implementation of Remedial Action Scheme for Transient Stability Index Improvement of Power System Island. In Proceedings of the 2020 IEEE Power & Energy Society Innovative Smart Grid Technologies Conference (ISGT), Washington, DC, USA, 17–20 February 2020; pp. 1–5. [Google Scholar] [CrossRef]
- Ackermann, T.; Prevost, T.; Vittal, V.; Roscoe, A.J.; Matevosyan, J.; Miller, N. Paving the Way: A Future without Inertia Is Closer Than You Think. IEEE Power Energy Mag. 2017, 15, 61–69. [Google Scholar] [CrossRef] [Green Version]
- Brooks, A.; Lu, E.; Reicher, D.; Spirakis, C.; Weihl, B. Demand Dispatch. IEEE Power Energy Mag. 2010, 8, 20–29. [Google Scholar] [CrossRef]
- Quiros-Tortos, J.; Ochoa, L.; Butler, T. How Electric Vehicles and the Grid Work Together: Lessons Learned from One of the Largest Electric Vehicle Trials in the World. IEEE Power Energy Mag. 2018, 16, 64–76. [Google Scholar] [CrossRef]
- Chen, J.; Zhu, Q.; Li, H.; Zhu, L.; Shi, D.; Li, Y.; Duan, X.; Liu, Y. Learning Heterogeneous Features Jointly: A Deep End-to-End Framework for Multi-Step Short-Term Wind Power Prediction. IEEE Trans. Sustain. Energy 2020, 11, 1761–1772. [Google Scholar] [CrossRef]
- Alimi, O.A.; Ouahada, K.; Abu-Mahfouz, A.M. A Review of Machine Learning Approaches to Power System Security and Stability. IEEE Access 2020, 8, 113512–113531. [Google Scholar] [CrossRef]
- Hou, Q.; Du, E.; Zhang, N.; Kang, C. Impact of High Renewable Penetration on the Power System Operation Mode: A Data-Driven Approach. IEEE Trans. Power Syst. 2020, 35, 731–741. [Google Scholar] [CrossRef]
- Yan, Z.; Xu, Y. Data-Driven Load Frequency Control for Stochastic Power Systems: A Deep Reinforcement Learning Method With Continuous Action Search. IEEE Trans. Power Syst. 2019, 34, 1653–1656. [Google Scholar] [CrossRef]
- Huang, Q.; Huang, R.; Hao, W.; Tan, J.; Fan, R.; Huang, Z. Adaptive Power System Emergency Control Using Deep Reinforcement Learning. IEEE Trans. Smart Grid 2020, 11, 1171–1182. [Google Scholar] [CrossRef] [Green Version]
- Hashmy, Y.; Yu, Z.; Shi, D.; Weng, Y. Wide-Area Measurement System-Based Low Frequency Oscillation Damping Control Through Reinforcement Learning. IEEE Trans. Smart Grid 2020, 11, 5072–5083. [Google Scholar] [CrossRef]
- Yuan, H.; Biswas, R.S.; Tan, J.; Zhang, Y. Developing a Reduced 240-Bus WECC Dynamic Model for Frequency Response Study of High Renewable Integration. In Proceedings of the 2020 IEEE/PES Transmission and Distribution Conference and Exposition (T&D), Chicago, IL, USA, 12–15 October 2020; pp. 1–5. [Google Scholar]
- Western Interconnection RAS Review. Available online: https://www.wecc.org/Reliability/Western%20Interconnection%20RAS%20Review%20Guideline.pdf (accessed on 4 June 2021).
- Test Case Repository for High Renewable Study. Available online: https://www.nrel.gov/grid/test-case-repository.html (accessed on 4 June 2021).
- Available online: https://www.nrel.gov/docs/fy20osti/73856.pdf (accessed on 15 September 2021).
- Deep Learning. Available online: https://en.wikipedia.org/wiki/Deep_learning (accessed on 4 June 2021).
- Available online: https://www.mdpi.com/1996-1073/11/9/2328/htm (accessed on 15 September 2021).
- Available online: https://rmets.onlinelibrary.wiley.com/doi/10.1002/joc.2419 (accessed on 15 September 2021).
- Available online: https://aiche.onlinelibrary.wiley.com/doi/abs/10.1002/ep.12558 (accessed on 15 September 2021).
- TensorFlow. Available online: https://www.tensorflow.org/ (accessed on 4 June 2021).
- Available online: https://machinelearningmastery.com/how-to-stop-training-deep-neural-networks-at-the-right-time-using-early-stopping/ (accessed on 2 April 2021).
- Available online: https://www.machinecurve.com/index.php/2020/01/23/how-to-use-l1-l2-and-elastic-net-regularization-with-keras/ (accessed on 2 April 2021).
- Available online: https://machinelearningmastery.com/dropout-regularization-deep-learning-models-keras/ (accessed on 2 April 2021).
- Available online: https://keras.io/api/layers/regularization_layers/gaussian_noise/ (accessed on 2 April 2021).
















| Hidden Layers /Nodes | L1, L2 | RMSE (MW) Island 1/Island 2 | MAE (MW) Island 1/Island 2 |
|---|---|---|---|
| 2/300 | 0 | 182.31/275.62 | 112.05/169.51 |
| 0.0001 | 185.24/276.63 | 116.20/173.58 | |
| 0.001 | 187.58/280.95 | 116.65/173.68 | |
| 0.01 | 185.62/279.33 | 116.19/175.02 | |
| 0.1 | 175.12/259.69 | 107.88/163.45 | |
| 1 | 132.23/206.36 | 87.64/134.07 | |
| 5 | 133.17/209.35 | 89.67/136.25 | |
| 10 | 134.49/206.92 | 91.50/135.64 | |
| 20 | 142.41/224.85 | 101.61/152.53 |
| Hidden Layers /Nodes | Dropout Rate (%) | RMSE (MW) Island 1/Island 2 | MAE (MW) Island 1/Island 2 |
|---|---|---|---|
| 2/300 | 0 | 182.31/275.62 | 112.05/169.51 |
| 0.001 | 182.02/275.30 | 113.62/172.90 | |
| 0.01 | 182.51/276.03 | 114.89/171.89 | |
| 0.05 | 191.58/281.00 | 124.78/181.59 | |
| 0.1 | 193.39/277.66 | 127.18/179.49 | |
| 0.3 | 208.59/298.81 | 141.53/197.86 |
| Hidden Layers /Nodes | Gaussian Noise (std) | RMSE (MW) Island 1/Island 2 | MAE (MW) Island 1/Island 2 |
|---|---|---|---|
| 2/300 | 0 | 182.31/275.62 | 112.05/169.51 |
| 0.0001 | 185.90/279.24 | 116.81/175.06 | |
| 0.001 | 185.53/277.87 | 116.65/173.68 | |
| 0.01 | 179.49/262.96 | 115.21/172.00 | |
| 0.1 | 212.98/315.83 | 149.92/217.31 | |
| 1 | 454.10/656.37 | 345.28/494.78 |
| N | RMSPE Island 1/Island 2 | MAPE Island 1/Island 2 | Inside Security Region (%) |
|---|---|---|---|
| 1 | 7.15%/4.94% | 3.50%/3.04% | 58.09 |
| 2 | 8.37%/5.43% | 4.73%/3.49% | 76.70 |
| 3 | 6.90%/5.09% | 3.84%/3.14% | 73.14 |
| 10 | 14.10%/7.89% | 8.86%/5.93% | 91.78 |
| 15 | 14.23%/9.50% | 9.40%/6.83% | 92.36 |
| 20 | 28.23%/14.54% | 18.36%/11.44% | 97.77 |
| RMSPE Island 1/2 | MAPE Island 1/2 | Inside Security Region (%) |
|---|---|---|
| 9.65%/19.70% | 5.65%/14.09% | 33.78 |
Publisher’s Note: MDPI stays neutral with regard to jurisdictional claims in published maps and institutional affiliations. |
© 2021 by the authors. Licensee MDPI, Basel, Switzerland. This article is an open access article distributed under the terms and conditions of the Creative Commons Attribution (CC BY) license (https://creativecommons.org/licenses/by/4.0/).
Share and Cite
Zhao, Y.; You, S.; Mandich, M.; Zhu, L.; Zhang, C.; Li, H.; Su, Y.; Zeng, C.; Zhao, Y.; Liu, Y.; et al. Deep Learning-Based Adaptive Remedial Action Scheme with Security Margin for Renewable-Dominated Power Grids. Energies 2021, 14, 6563. https://doi.org/10.3390/en14206563
Zhao Y, You S, Mandich M, Zhu L, Zhang C, Li H, Su Y, Zeng C, Zhao Y, Liu Y, et al. Deep Learning-Based Adaptive Remedial Action Scheme with Security Margin for Renewable-Dominated Power Grids. Energies. 2021; 14(20):6563. https://doi.org/10.3390/en14206563
Chicago/Turabian StyleZhao, Yinfeng, Shutang You, Mirka Mandich, Lin Zhu, Chengwen Zhang, Hongyu Li, Yu Su, Chujie Zeng, Yi Zhao, Yilu Liu, and et al. 2021. "Deep Learning-Based Adaptive Remedial Action Scheme with Security Margin for Renewable-Dominated Power Grids" Energies 14, no. 20: 6563. https://doi.org/10.3390/en14206563
APA StyleZhao, Y., You, S., Mandich, M., Zhu, L., Zhang, C., Li, H., Su, Y., Zeng, C., Zhao, Y., Liu, Y., Jiang, H., Yuan, H., Zhang, Y., & Tan, J. (2021). Deep Learning-Based Adaptive Remedial Action Scheme with Security Margin for Renewable-Dominated Power Grids. Energies, 14(20), 6563. https://doi.org/10.3390/en14206563
