Optimization of Lumped Parameter Models to Mitigate Numerical Oscillations in the Transient Responses of Short Transmission Lines
Abstract
1. Introduction
2. Traditional Lumped Parameter Model
3. Modified Topologies to Mitigate NSO
3.1. LPM with Damping Resistances in the RL Branch
3.2. LPM with Damping Resistances in the Branch
4. Optimization of the Adjustable Factors
Interface with ATP Software
5. Numerical Results and Discussions
5.1. Frequency Responses for the TL Models
5.2. Performance of the Modified Topologies
- (a)
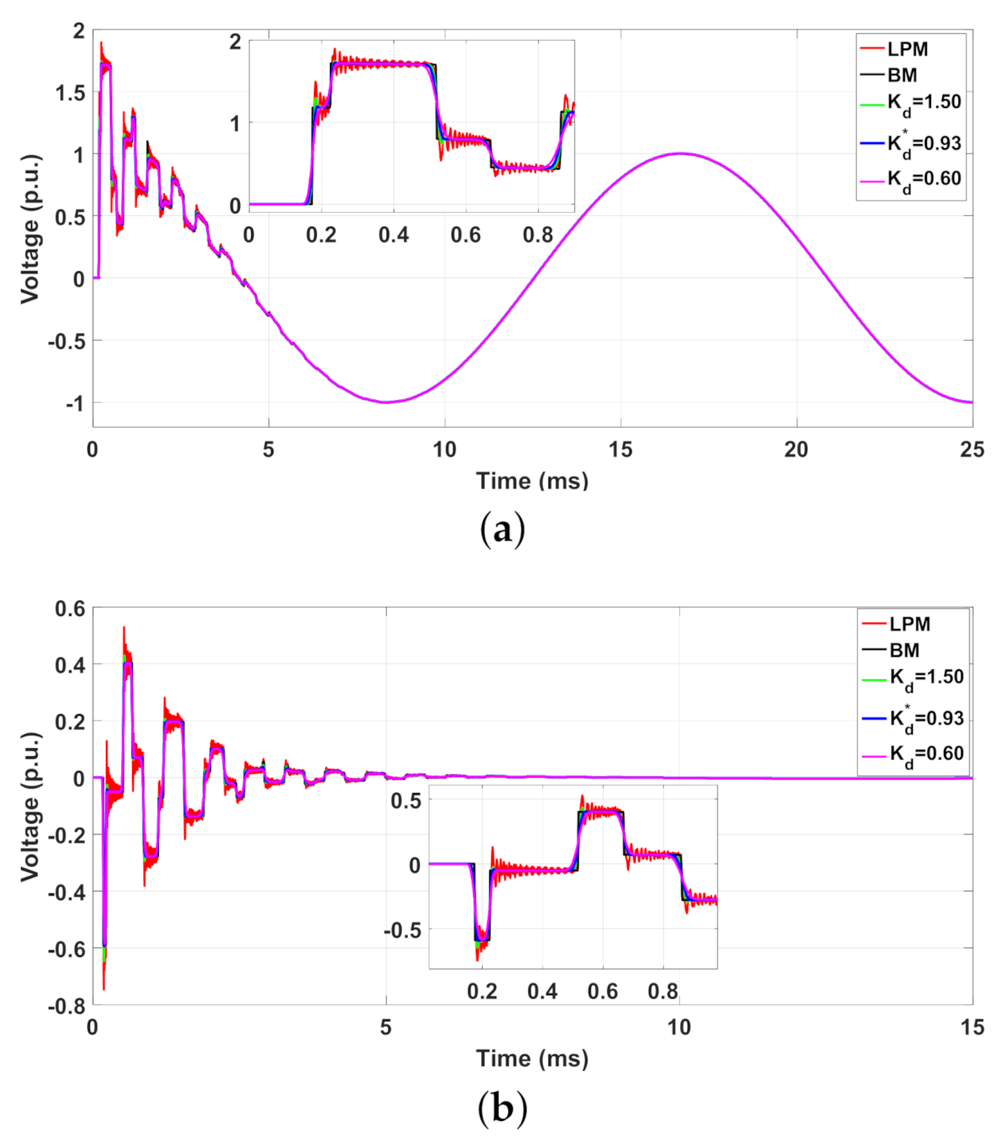
- Scenario 1: The TL is energized by a 1-p.u./60-Hz voltage source and a load is connected in the receiving end ( = 6000 ). The transient voltage (t) is computed when an impulsive source = 0.15 p.u. and is shortly inserted at the sending end at t = 0.5 s ramp-up time, generating the second group of transients;
- (b)
- Scenario 2: The TL is energized by a 1- p.u./60-Hz voltage source and ( = 2000 ) is connected. At t = 66.66 ms, the load switch is opened (load rejection) and the transient voltage is generated;
- (c)
- Scenario 3: The TL is energized by a 1-p.u./60-Hz voltage source and a nonlinear load (ideal diode and = 2000 ) is connected where the transient current (t) is computed.
5.3. Modified Topologies in Three-Phase Lines
- (a)
- Scenario 4: The 50-km three-phase TL is energized by a 1-p.u./60-Hz voltage source only in phase 1 and the other phases are short-circuited. The receiving end is left open, as depicted in Figure 13a;
- (b)
- Scenario 5: The 80-km three-phase line is energized by a 1-p.u./60-Hz generator at t = 0 s and a balanced load is connected at the receiving end ( = 3 k). At t = 33.33 ms, a fault occurs at phase 1, as depicted in Figure 13b.
6. Conclusions
Author Contributions
Funding
Institutional Review Board Statement
Informed Consent Statement
Data Availability Statement
Conflicts of Interest
References
- Popović, L.M. Chapter 2—Theoretical Foundations. In Practical Methods for Analysis and Design of HV Installation Grounding Systems; Popović, L.M., Ed.; Academic Press: Cambridge, MA, USA, 2018; pp. 23–71. [Google Scholar]
- CIGRE. Guidelines for Representation of Network Elements When Calculating Transients; CIGRE Brochure 39, WG 33.02; Cigré: Paris, France, 1990; p. 30. [Google Scholar]
- Diefenthäler, A.; Sausen, A.; Sausen, P.; de Campos, M.; Daniels, A.J. Mathematical Models of Transmission Lines Applied to the Medium Voltage Electrical Network. In Proceedings of the 2019 IEEE PES Innovative Smart Grid Technologies Conference—Latin America (ISGT Latin America), Gramado City, Brazil, 15–18 September 2019; pp. 1–6. [Google Scholar]
- Laughton, M.A.; Warne, D.J. Electromagnetic Transients. In Electrical Engineer’s Reference Book, 6th ed.; Newnes: Oxford, UK, 2003; pp. 1–36. [Google Scholar]
- Mamiş, M.S.; Meral, M.E. State-space modeling and analysis of fault arcs. Electr. Power Syst. Res. 2005, 76, 46–51. [Google Scholar] [CrossRef]
- Chrysochos, A.I.; Tsolaridis, G.P.; Papadopoulos, T.A.; Papagiannis, G.K. Damping of Oscillations Related to Lumped-Parameter Transmission Line. In Proceedings of the International Conference on Power Transients (IPST), Cavtat, Croatia, 15–18 June 2015. [Google Scholar]
- Nelms, R.M.; Sheble, G.B.; Newton, S.R.; Grigsby, L.L. Using a personal computer to teach power system transients. IEEE Trans. Power Syst. 1989, 4, 1293–1294. [Google Scholar] [CrossRef]
- Macias, J.A.R.; Expósito, A.G.; Soler, A.B. A comparison of techniques for state-space transient analysis of transmission lines. IEEE Trans. Power Deliv. 2005, 20, 894–903. [Google Scholar] [CrossRef]
- Araújo, A.R.J.; Kurokawa, S.; Shinoda, A.A.; Costa, E.C.M. Mitigation of erroneous oscillations in electromagnetic transient simulations using analogue filter theory. IET Sci. Meas. Technol. 2017, 11, 41–48. [Google Scholar] [CrossRef]
- Da Costa, E.C.M.; Kurokawa, S.; Shinoda, A.A.; Pissolato, J. Digital filtering of oscillations intrinsic to transmission line modeling based on lumped parameters. Int. J. Electr. Power Energy Syst. 2013, 44, 908–915. [Google Scholar] [CrossRef]
- Ferreira, L.F.R.; Bonatto, B.D.; Cogo, J.R.; De Jesus, N.C.; Marti, J.R. Comparative Solutions of Numerical Oscillations in the Trapezoidal Method used by EMTP-based Programs. In Proceedings of the International Conference on Power Transients (IPST), Cavtat, Croatia, 15–18 June 2015. [Google Scholar]
- Dommel, H.W. EMTP Theory Book; Microtran Power System Analysis Corporation: Vancouver, BC, Canada, 1996. [Google Scholar]
- Dommel, H.W. Digital Computer Solution of Electromagnetic Transients in Single-and Multiphase Networks. IEEE Trans. Power Appar. Syst. 1969, PAS-88, 388–399. [Google Scholar] [CrossRef]
- Sabatier, J.; Youssef, T.; Pellet, M. An HVDC line parameters estimation method without optimization. Int. J. Electr. Power Energy Syst. 2016, 83, 541–546. [Google Scholar] [CrossRef]
- Chen, Y.; Zang, Y.; Yao, J.; Muhammad, G. Optimal communication frequency for switching cabled ocean networks with commands carried over the power line. Front. Inf. Technol. Electron. Eng. 2019, 20, 1331–1343. [Google Scholar] [CrossRef]
- Mamiş, M.; Nacaroğlu, A. Transient voltage and current distributions on transmission lines. IEE Proc.-Gener. Transm. Distrib. 2002, 149, 705–712. [Google Scholar] [CrossRef]
- De Silva, H.; Kariyawasam, K.; Gole, A.; Nordstrom, J. Accurate time domain simulation of frequency dependent transmission line models for large time steps. In Proceedings of the International Conference on Power Systems Transients, Montreal, QC, Canada, 20–23 June 2013. [Google Scholar]
- Mamis, M.; Kaygusuz, A. State Variable Distributed-Parameter Representation of Transmission Line for Transient Simulations. Turk. J. Electr. Eng. Comput. Sci. 2010, 18, 31–42. [Google Scholar]
- Araújo, A.R.J.; Silva, R.; Kurokawa, S. Comparing lumped and distributed parameters models in transmission lines during transient conditions. In Proceedings of the 2014 IEEE PES T&D Conference and Exposition, Medellin, Colombia, 10–13 September 2014; pp. 1–5. [Google Scholar]
- Colqui, J.S.L.; de Araújo, A.R.J.; Kurokawa, S. Improving the performance of a lumped transmission line model used in electromagnetic transient analysis. IET Gener. Transm. Distrib. 2019, 13, 4942–4951. [Google Scholar] [CrossRef]
- Gustavsen, B. Computer code for rational approximation of frequency dependent admittance matrices. IEEE Trans. Power Deliv. 2002, 17, 1093–1098. [Google Scholar] [CrossRef]
- Chrysochos, A.I.; Papadopoulos, T.A.; Papagiannis, G.K. Rigorous calculation method for resonance frequencies in transmission line responses. IET Gener. Transm. Distrib. 2015, 9, 767–778. [Google Scholar] [CrossRef]
- Andrade, L.; Leite, H.; Ponce de Leao, M.T. Time-domain distributed parameters transmission line model for transient analysis. Prog. Electromagn. Res. 2013, 53, 25–46. [Google Scholar] [CrossRef][Green Version]
- Caballero, P.T.; Costa, E.C.M.; Kurokawa, S. Modal decoupling of overhead transmission lines using real and constant matrices: Influence of the line length. Int. J. Electr. Power Energy Syst. 2017, 92, 202–211. [Google Scholar] [CrossRef]
- Gustavsen, B.; Semlyen, A. Simulation of transmission line transients using vector fitting and modal decomposition. IEEE Trans. Power Deliv. 1998, 13, 605–614. [Google Scholar] [CrossRef]


















| (i, j) | 0 | 1 | 2 | 3 |
| 0 | 0.972 | 0.147 | −0.033 | 0.011 |
| 1 | −0.402 | −0.058 | 0.008 | −0.003 |
| 2 | 0.094 | −0.013 | 0.003 | 0 |
| 3 | 0.086 | 0.017 | 0 | 0 |
| 4 | −0.055 | 0 | 0 | 0 |
| (i, j) | 0 | 1 | 2 | 3 |
| 0 | 0.049 | −0.125 | 0.029 | −0.006 |
| 1 | 0.049 | −0.004 | 0 | −0.001 |
| 2 | 0.103 | −0.013 | 0.002 | 0 |
| 3 | −0.059 | 0.005 | 0 | 0 |
| 4 | 0.019 | 0 | 0 | 0 |
| Length d (km) | k (/km) | Topology | Opt. Factors Equation (17) | |
|---|---|---|---|---|
| Scenario 1 | 20 | 3 | = 0.526 | |
| 20 | 3 | = 1.943 | ||
| Scenario 2 | 50 | 2 | = 0.929 | |
| 50 | 2 | = 1.375 | ||
| Scenario 3 | 80 | 1 | = 1.510 | |
| 80 | 1 | = 1.236 |
| Scenario 1 | Scenario 2 | Scenario 3 | ||||||
|---|---|---|---|---|---|---|---|---|
| Model | P(p.u.) | (%) | Model | P(p.u.) | (%) | Model | P(p.u.) | (%) |
| BM (ref) | 1.279 | – | BM | 1.339 | – | BM | 0.820 | – |
| LPM | 1.320 | 3.20 | LPM | 1.489 | 11.202 | LPM | 1.034 | 26.08 |
| / = 0.90 | 1.303 | 1.88 | = 1.90 | 1.461 | 9.11 | = 2.60 | 0.875 | 6.718 |
| / = 0.15 | 1.265 | 1.09 | = 0.40 | 1.425 | 6.43 | = 0.50 | 0.783 | 4.511 |
| / = 0.53 | 1.280 | 0.07 | = 0.93 | 1.337 | 0.149 | = 1.51 | 0.821 | 0.123 |
| / = 0.30 | 1.201 | 1.49 | = 0.35 | 1.420 | 6.5 | = 0.35 | 0.792 | 3.417 |
| / = 2.30 | 1.305 | 2.03 | = 2.40 | 1.452 | 8.442 | = 1.70 | 0.856 | 4.390 |
| / = 1.54 | 1.281 | 0.16 | = 1.38 | 1.338 | 0.075 | = 1.24 | 0.822 | 0.245 |
| Voltage Peak (p.u) | (%) | |||||||
|---|---|---|---|---|---|---|---|---|
| BM (ref) | LPM | LPM | ||||||
| Phase 1 | 1.709 | 1.925 | 1.695 | 1.695 | 12.64 | 0.82 | 0.82 | |
| Phases 2 and 3 | −0.589 | −0.747 | −0.597 | −0.595 | 26.825 | 1.378 | 1.019 | |
| Voltage Peak (p.u) | (%) | |||||||
|---|---|---|---|---|---|---|---|---|
| Phase | BM (ref) | LPM | LPM | |||||
| Phase 2 | −1.056 | −1.191 | −1.041 | −1.044 | 12.784 | 1.421 | 1.136 | |
| Phase 3 | −1.349 | −1.490 | −1.338 | −1.334 | 10.452 | 0.815 | 0.964 | |
Publisher’s Note: MDPI stays neutral with regard to jurisdictional claims in published maps and institutional affiliations. |
© 2021 by the authors. Licensee MDPI, Basel, Switzerland. This article is an open access article distributed under the terms and conditions of the Creative Commons Attribution (CC BY) license (https://creativecommons.org/licenses/by/4.0/).
Share and Cite
Colqui, J.S.L.; de Araújo, A.R.J.; Kurokawa, S.; Filho, J.P. Optimization of Lumped Parameter Models to Mitigate Numerical Oscillations in the Transient Responses of Short Transmission Lines. Energies 2021, 14, 6534. https://doi.org/10.3390/en14206534
Colqui JSL, de Araújo ARJ, Kurokawa S, Filho JP. Optimization of Lumped Parameter Models to Mitigate Numerical Oscillations in the Transient Responses of Short Transmission Lines. Energies. 2021; 14(20):6534. https://doi.org/10.3390/en14206534
Chicago/Turabian StyleColqui, Jaimis S. L., Anderson R. J. de Araújo, Sérgio Kurokawa, and José Pissolato Filho. 2021. "Optimization of Lumped Parameter Models to Mitigate Numerical Oscillations in the Transient Responses of Short Transmission Lines" Energies 14, no. 20: 6534. https://doi.org/10.3390/en14206534
APA StyleColqui, J. S. L., de Araújo, A. R. J., Kurokawa, S., & Filho, J. P. (2021). Optimization of Lumped Parameter Models to Mitigate Numerical Oscillations in the Transient Responses of Short Transmission Lines. Energies, 14(20), 6534. https://doi.org/10.3390/en14206534

