Detection of Knocking Combustion Using the Continuous Wavelet Transformation and a Convolutional Neural Network
Abstract
1. Introduction
2. Dataset and Labeling
3. Methods
3.1. Slice Relevant Window of Pressure Traces
3.2. Continuous Wavelet Transformation
- Gaussian derivative wavelet (gaus):
- Mexican hat wavelet (mexh):
- Shannon wavelet (shan):
- Morlet wavelet (morl):
3.3. Knock Detection Based on CNN
4. Results
4.1. CWT Coefficients and Corresponding Scalogram
4.2. CNN Classification Results
4.3. Generalization to Unseen Engine Data
4.4. Detailed Analysis
5. Discussion
5.1. Conditions of Dataset and Label Quality
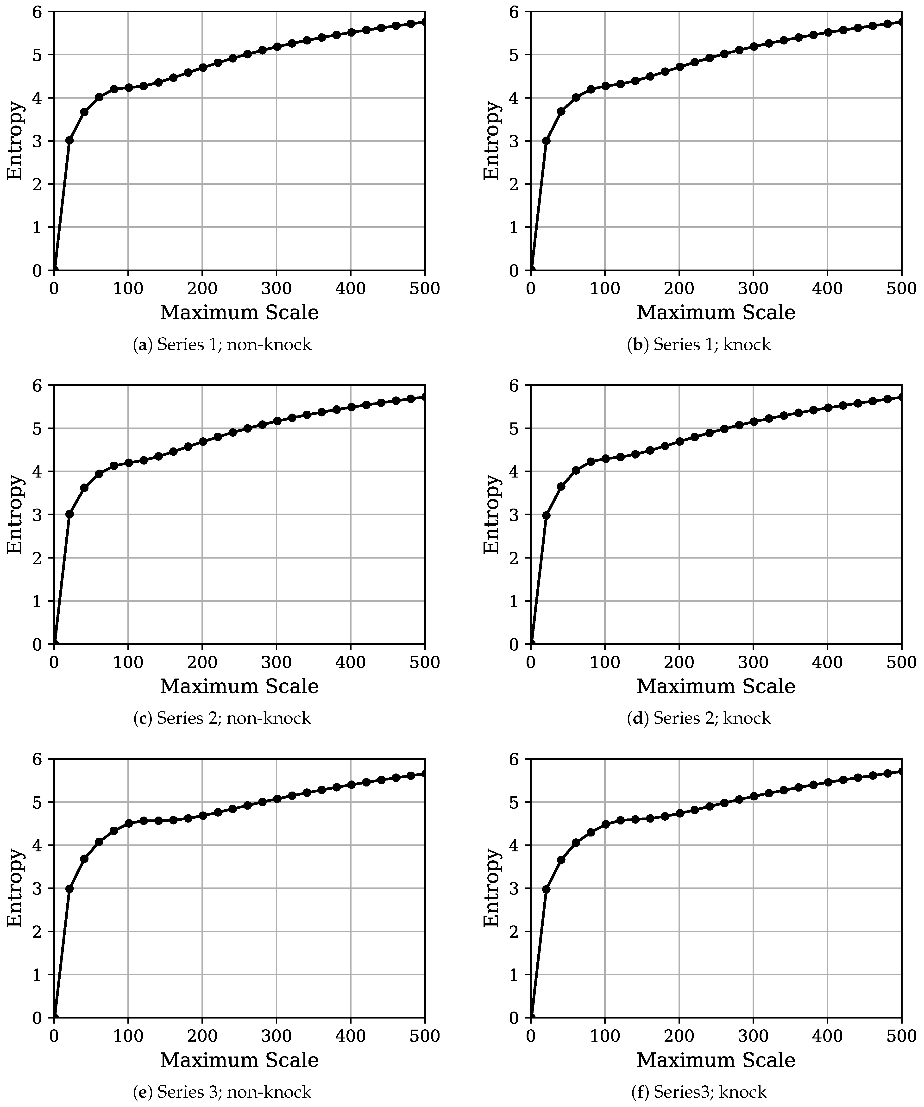
5.2. Influence of Mother Wavelet and Scale Range
6. Conclusions
Author Contributions
Funding
Acknowledgments
Conflicts of Interest
Abbreviations
| CA | Crank angle |
| CNN | Convolutional neural network |
| CWT | Continuous wavelet transformation |
| DWT | Discrete wavelet transformation |
| MAPO | Maximum amplitude of pressure oscillation |
| OP | Operating points |
| SI | Spark-ignition |
| SD | Standard deviation |
Appendix A


References
- Shahlari, A.J.; Ghandhi, J.B. A Comparison of Engine Knock Metrics; SAE Technical Paper 2012320007; SAE International: Warrendale, PA, USA, 2012. [Google Scholar]
- Pischinger, R.; Klell, M.; Sams, T. Thermodynamik der Verbrennungskraftmaschine; Springer: NewYork, NY, USA; Wien, Austria, 2009; pp. 110–112. [Google Scholar]
- Heywood, J.B. Internal Combustion Engine Fundamentals; McGraw-Hill: New York, NY, USA, 1988. [Google Scholar]
- Zhen, X.; Wang, Y.; Xu, S.; Zhu, Y.; Tao, C.; Xu, T.; Song, M. The engine knock analysis—An overview. Appl. Energy 2012, 92, 628–636. [Google Scholar] [CrossRef]
- Cho, S.; Park, J.; Song, C.; Oh, S.; Lee, S.; Kim, M.; Min, K. Prediction Modeling and Analysis of Knocking Combustion using an Improved 0D RGF Model and Supervised Deep Learning. Energies 2019, 12, 844. [Google Scholar] [CrossRef]
- Chollet, F. Deep Learning with Python; Manning Publications Co.: Shelter Island, NY, USA, 2018; pp. 119–177. [Google Scholar]
- Gou, L.; Li, H.; Zheng, H.; Li, H.; Pei, X. Aeroengine Control System Sensor Fault Diagnosis Based on CWT and CNN. Math. Probl. Eng. 2020, 2020, 5357146. [Google Scholar] [CrossRef]
- He, R.; Wang, K.; Zhao, N.; Liu, Y.; Yuan, Y.; Li, Q.; Zhang, H. Automatic Detection of Atrial Fibrillation Based on Continuous Wavelet Transform and 2D Convolutional Neural Networks. Front. Physiol. 2018, 9, 1206. [Google Scholar] [CrossRef] [PubMed]
- Lee, H.K.; Choi, Y.-S. A convolution neural networks scheme for classification of motor imagery EEG based on wavelet time-frequecy image. In Proceedings of the 2018 International Conference on Information Networking (ICOIN), Chiang Mai, Thailand, 10–12 January 2018; pp. 906–909. [Google Scholar] [CrossRef]
- Zhao, L.; Li, Q.; Zhang, Y.; Wang, H.; Du, X. Integrating the Continuous Wavelet Transform and a Convolutional Neural Network to Identify Vineyard Using Time Series Satellite Images. Remote Sens. 2019, 11, 2641. [Google Scholar] [CrossRef]
- Zhao, Z.; Liu, C.; Li, Y.; Li, Y.; Wang, J.; Lin, B.; Li, J. Noise Rejection for Wearable ECGs Using Modified Frequency Slice Wavelet Transform and Convolutional Neural Networks. IEEE Access 2019, 7, 34060–34067. [Google Scholar] [CrossRef]
- Gong, M.; Yang, H.; Zhang, P. Feature Learning and Change Feature Classification Based on Deep Learning for Ternary Change Detection in SAR Images. ISPRS J. Photogramm. Remote Sens. 2017, 129, 212–225. [Google Scholar] [CrossRef]
- Borg, J.; Cheok, K.; Saikalis, G.; Oho, S. Knock Signal Analysis Using the Discrete Wavelet Transform; SAE Technical Paper, 2006-01-0226; SAE International: Warrendale, PA, USA, 2006. [Google Scholar] [CrossRef]
- Zhang, Z.; Tomota, E. A New Diagnostic Method of Knocking in a Spark-Ignition Engine Using the Wavelet Transform; SAE Technical Paper 2000-01-1801; SAE International: Warrendale, PA, USA, 2000. [Google Scholar] [CrossRef]
- Noubari, H.; Dumont, G. Towards an Improved Knock Detection and Quantification Using Wavelets and Entropy-Based Noise Compensation; SAE Technical Paper 2005-01-2269; SAE International: Warrendale, PA, USA, 2005. [Google Scholar] [CrossRef]
- Borg, J.; Cheok, K.; Saikalis, G.; Oho, S. Wavelet-based knock detection with fuzzy logic. In Proceedings of the CIMSA—2005 IEEE International Conference on Computational Intelligence for Measurement Systems and Applications, Giardini Naxos, Italy, 20–22 July 2005. [Google Scholar]
- Merker, G.; Schwarz, C. Grundlagen Verbrennungsmotoren: Simulation der Gemischbildung, Verbrennung, Schadstoffbildung und Aufladung; Springer Nature: Wiesbaden, Germany, 2009; pp. 864–865. [Google Scholar]
- Kirsten, M. Detektion Klopfender Verbrennung in Diesel/Erdgas-Dual-Fuel-Motoren. Ph.D. Thesis, Technische Universität Graz, Institut für Verbrennungskraktmaschinen und Thermodynamik, Graz, Austria, 2016; pp. 9–45. [Google Scholar]
- Taspinar, A. A Guide for Using the Wavelet Transform in Machine Learning. December 2018. Available online: http://ataspinar.com/2018/12/21/a-guide-for-using-the-wavelet-transform-in-machine-learning/ (accessed on 7 December 2020).
- Addison, P.S. The Illustrated Wavelet Transform Handbook: Introductory Theory and Applications in Science, Engineering, Medicine and Finance; CRC Press: Boca Raton, FL, USA, 2017; pp. 6–63. [Google Scholar]
- Rhif, M.; Ben Abbes, A.; Farah, I.R.; Martínez, B.; Sang, Y. Wavelet Transform Application for/in Non-Stationary Time-Series Analysis: A Review. Appl. Sci. 2019, 9, 1345. [Google Scholar] [CrossRef]
- Gallarda, B.; Sharpee, T.; Pfaff, S.; Alaynick, W. Defining rhythmic locomotor burst patterns using a continuous wavelet transform. Ann. N. Y. Acad. Sci. 2010, 1198, 0077–8923. [Google Scholar] [CrossRef] [PubMed]
- Lee, G.; Gommers, R.; Wasilewski, F.; Wohlfahrt, K.; O’Leary, A. PyWavelets: A Python package for wavelet analysis. J. Open Source Softw. 2019, 4, 1237. [Google Scholar] [CrossRef]
- Shannon, C. A Mathematical Theory of Communication, 1963; MD Comput; Board of Trustees of the University of Illinois Manufactured in the United States of America: Urbana, IL, USA, 1998; Volume 14, pp. 306–317. [Google Scholar]
- Lecun, Y.; Bottou, L.; Bengio, Y.; Haffner, P. Gradient-based learning applied to document recognition. Proc. IEEE 1998, 86, 2278–2324. [Google Scholar] [CrossRef]
- Krizhevsky, A.; Sutskever, I.; Hinton, G.E. ImageNet Classification with Deep Convolutional Neural Networks. Commun. ACM 2017, 60, 84–90. [Google Scholar] [CrossRef]
- Kingma, D.; Ba, A. A method for stochastic optimization. arXiv 2014, arXiv:1412.6980. [Google Scholar]
- Reddi, S.; Kale, S.; Kumar, S. On the Convergence of Adam and Beyond. arXiv 2019, arXiv:1904.09237. [Google Scholar]
- Chollet, F. Others Keras. 2015. Available online: https://keras.io (accessed on 12 December 2020).
- Abadi, M.; Barham, P.; Chen, J.; Chen, Z.; Davis, A.; Dean, J.; Devin, M.; Ghemawat, S.; Irving, G.; Isard, M.; et al. TensorFlow: A system for large-scale machine learning. In Proceedings of the 12th USENIX Symposium on Operating Systems Design and Implementation (OSDI 16), Savannah, GA, USA, 2–4 November 2016; pp. 265–283. Available online: https://www.usenix.org/system/files/conference/osdi16/osdi16-abadi.pdf (accessed on 7 May 2020).
- Wang, Z.; Liu, H.; Reitz, R.D. Knocking combustion in spark-ignition engines. Prog. Energy Combust. Sci. 2017, 61, 78–112. [Google Scholar] [CrossRef]
- Wang, Z.; Wang, Y.; Reitz, R.D. Pressure oscillation and chemical kinetics coupling during knock processes in gasoline engine combustion. Energy Fuels 2012, 26, 7107–7119. [Google Scholar] [CrossRef]
- Vavra, J.; Bohac, S.V.; Manofsky, L.; Lavoie, G.; Assanis, D.N. Knock in Various Combustion Modes in a Gasoline-Fueled Automotive Engine. In Proceedings of the ASME 2011 Internal Combustion Engine Division Fall Technical Conference, Morgantown, WV, USA, 2–5 October 2011; pp. 441–450. [Google Scholar] [CrossRef]
- Pedregosa, F.; Varoquaux, G.; Gramfort, A.; Michel, V.; Thirion, B.; Grisel, O.; Blondel, M.; Prettenhofer, P.; Weiss, R.; Dubourg, V.; et al. Scikit-learn: Machine Learning in Python. J. Mach. Learn. Res. 2011, 12, 2825–2830. [Google Scholar]









| Characteristics | Engine 1 | Engine 2 | Engine 3 |
|---|---|---|---|
| Cylinder Head | Head A | Head B | Head C |
| Piston | Piston A | Piston A | Piston C |
| Compression Ratio | Ratio A | Ratio B | Ratio C |
| Ignition | Ignition A | Ignition A | Ignition B |
| Spark Plug | Spark Plug A | Spark Plug B | Spark Plug C |
| Ignition Time | Variation | Variation | Variation |
| Electrode Distance | Distance A | Distance A | Distance A |
| Pre-Chamber | no | Pre-chamber A | Pre-chamber B |
| Measurement Series | Engine | OP | Cycles per OP | # Cycles | # Knock | % Knock |
|---|---|---|---|---|---|---|
| Series 1 | Engine 1 | 14 | 60 | 840 | 306 | 36.43 |
| Series 2 | Engine 2 | 15 | 100 | 1500 | 1077 | 71.80 |
| Series 3 | Engine 3 | 9 | 60 | 540 | 202 | 37.41 |
| Sum | - | 38 | - | 2880 | 1585 | 55.04 |
| Layer (Type) | Output Shape | Kernel Size | Param |
|---|---|---|---|
| Input Layer | (None, 300, 100, 1) | - | 0 |
| Conv2D | (None, 296, 96, 8) | (5,5) | 208 |
| Max_Pooling2D | (None, 148, 48, 8) | (2,2) | 0 |
| Conv2D | (None, 144, 44, 16) | (5,5) | 3216 |
| Max_Pooling2D | (None, 72, 22, 16) | (2,2) | 0 |
| Flatten | (None, 25,344) | - | 0 |
| Dense | (None, 1024) | - | 25,953,280 |
| Dropout | (None, 1024) | - | 0 |
| Dense | (None, 512) | - | 524,800 |
| Dropout | (None, 512) | - | 0 |
| Dense | (None, 2) | - | 1026 |
| CWT + CNN | TVE (MAPO) | |||||
|---|---|---|---|---|---|---|
| Model No. | Train Loss | Train Acc. | Test Loss | Test Acc. | Train Acc. | Test Acc. |
| 1 | 0.0796 | 0.9725 | 0.1926 | 0.9358 | 0.8651 | 0.8669 |
| 2 | 0.0772 | 0.9688 | 0.1832 | 0.9288 | 0.8705 | 0.8611 |
| 3 | 0.0834 | 0.9645 | 0.1807 | 0.9352 | 0.8562 | 0.8623 |
| 4 | 0.0674 | 0.9730 | 0.2125 | 0.9248 | 0.8566 | 0.8704 |
| 5 | 0.0984 | 0.9663 | 0.2156 | 0.9091 | 0.8636 | 0.8738 |
| 6 | 0.0727 | 0.9715 | 0.1976 | 0.9317 | 0.8606 | 0.8680 |
| 7 | 0.1008 | 0.9598 | 0.1921 | 0.9097 | 0.8621 | 0.8704 |
| 8 | 0.1030 | 0.9581 | 0.1810 | 0.9277 | 0.8631 | 0.8646 |
| 9 | 0.0634 | 0.9782 | 0.1628 | 0.9329 | 0.8552 | 0.8657 |
| 10 | 0.1009 | 0.9601 | 0.1882 | 0.9259 | 0.8750 | 0.8438 |
| Mean | 0.0847 | 0.9673 | 0.1906 | 0.9262 | 0.8628 | 0.8647 |
| SD | 0.0150 | 0.0067 | 0.0156 | 0.0095 | 0.0063 | 0.0083 |
| Case | Train | Test |
|---|---|---|
| 1 | Series 1 | Series 2 |
| 2 | Series 2 | Series 1 |
| 3 | Series 1 | Series 3 |
| 4 | Series 3 | Series 1 |
| 5 | Series 2 | Series 3 |
| 6 | Series 3 | Series 2 |
| 7 | Series 1 and Series 2 | Series 3 |
| 8 | Series 1 and Series 3 | Series 2 |
| 9 | Series 2 and Series 3 | Series 1 |
| CWT + CNN | TVE (MAPO) | |||||||||
|---|---|---|---|---|---|---|---|---|---|---|
| Case | Train Loss | Train Acc. | Test Loss | Test Acc. | Train Acc. | Test Acc. | ||||
| Mean | SD | Mean | SD | Mean | SD | Mean | SD | Mean | Mean | |
| 1 | 0.1213 | 0.0175 | 0.9490 | 0.0077 | 0.2819 | 0.0489 | 0.8857 | 0.0146 | 0.9214 | 0.9140 |
| 2 | 0.0696 | 0.0209 | 0.9731 | 0.0099 | 0.2414 | 0.0219 | 0.9159 | 0.0084 | 0.9353 | 0.9131 |
| 3 | 0.1373 | 0.0109 | 0.9431 | 0.0054 | 1.7501 | 0.4831 | 0.5973 | 0.0768 | 0.9214 | 0.6148 |
| 4 | 0.1131 | 0.0117 | 0.9478 | 0.0075 | 0.8075 | 0.1667 | 0.7310 | 0.0167 | 0.9333 | 0.7131 |
| 5 | 0.1211 | 0.0068 | 0.9500 | 0.0047 | 2.9449 | 0.6042 | 0.4727 | 0.0379 | 0.9353 | 0.6741 |
| 6 | 0.1161 | 0.0196 | 0.9483 | 0.0109 | 3.3866 | 0.8541 | 0.3698 | 0.0383 | 0.9333 | 0.4253 |
| 7 | 0.1261 | 0.0117 | 0.9486 | 0.0066 | 2.4893 | 0.6417 | 0.4908 | 0.0446 | 0.9316 | 0.6481 |
| 8 | 0.0840 | 0.0220 | 0.9682 | 0.0117 | 0.6649 | 0.0623 | 0.7879 | 0.0196 | 0.8159 | 0.6380 |
| 9 | 0.0512 | 0.0164 | 0.9817 | 0.0068 | 0.2608 | 0.0354 | 0.9180 | 0.0054 | 0.8441 | 0.8738 |
| # Votes in Favor Knock | Probability Range |
|---|---|
| 0 | |
| 1 | |
| 2 | |
| 3 | |
| 4 | |
| 5 |
| Wavelet Family | Train Loss | Train Accuracy | Test Loss | Test Accuracy |
|---|---|---|---|---|
| gaus8 | 0.0777 | 0.9687 | 0.2023 | 0.9310 |
| mexh | 0.0875 | 0.9623 | 0.4267 | 0.8416 |
| morl | 0.0819 | 0.9687 | 0.2252 | 0.9190 |
| shan | 0.0863 | 0.9663 | 0.4431 | 0.8345 |
Publisher’s Note: MDPI stays neutral with regard to jurisdictional claims in published maps and institutional affiliations. |
© 2021 by the authors. Licensee MDPI, Basel, Switzerland. This article is an open access article distributed under the terms and conditions of the Creative Commons Attribution (CC BY) license (http://creativecommons.org/licenses/by/4.0/).
Share and Cite
Kefalas, A.; Ofner, A.B.; Pirker, G.; Posch, S.; Geiger, B.C.; Wimmer, A. Detection of Knocking Combustion Using the Continuous Wavelet Transformation and a Convolutional Neural Network. Energies 2021, 14, 439. https://doi.org/10.3390/en14020439
Kefalas A, Ofner AB, Pirker G, Posch S, Geiger BC, Wimmer A. Detection of Knocking Combustion Using the Continuous Wavelet Transformation and a Convolutional Neural Network. Energies. 2021; 14(2):439. https://doi.org/10.3390/en14020439
Chicago/Turabian StyleKefalas, Achilles, Andreas B. Ofner, Gerhard Pirker, Stefan Posch, Bernhard C. Geiger, and Andreas Wimmer. 2021. "Detection of Knocking Combustion Using the Continuous Wavelet Transformation and a Convolutional Neural Network" Energies 14, no. 2: 439. https://doi.org/10.3390/en14020439
APA StyleKefalas, A., Ofner, A. B., Pirker, G., Posch, S., Geiger, B. C., & Wimmer, A. (2021). Detection of Knocking Combustion Using the Continuous Wavelet Transformation and a Convolutional Neural Network. Energies, 14(2), 439. https://doi.org/10.3390/en14020439

