Effect of Thermal, Acoustic and Air Quality Perception Interactions on the Comfort and Satisfaction of People in Office Buildings
Abstract
1. Introduction
2. Materials and Methods
2.1. Study Design
2.2. Case Study Buildings
2.3. Indoor Environmental Quality (IEQ) Data Collection
2.4. Building Services and Controls
2.5. Participants
3. Results
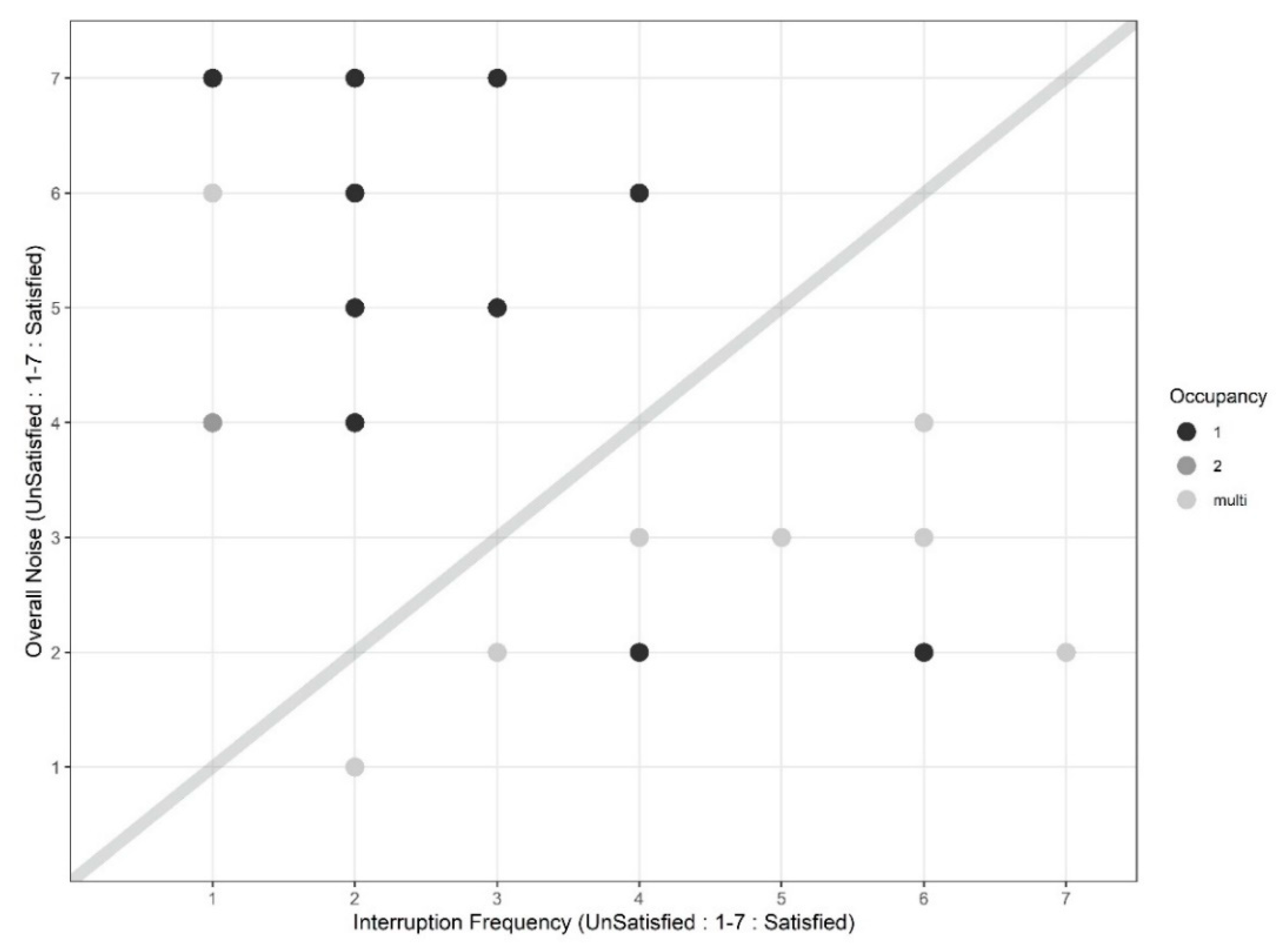
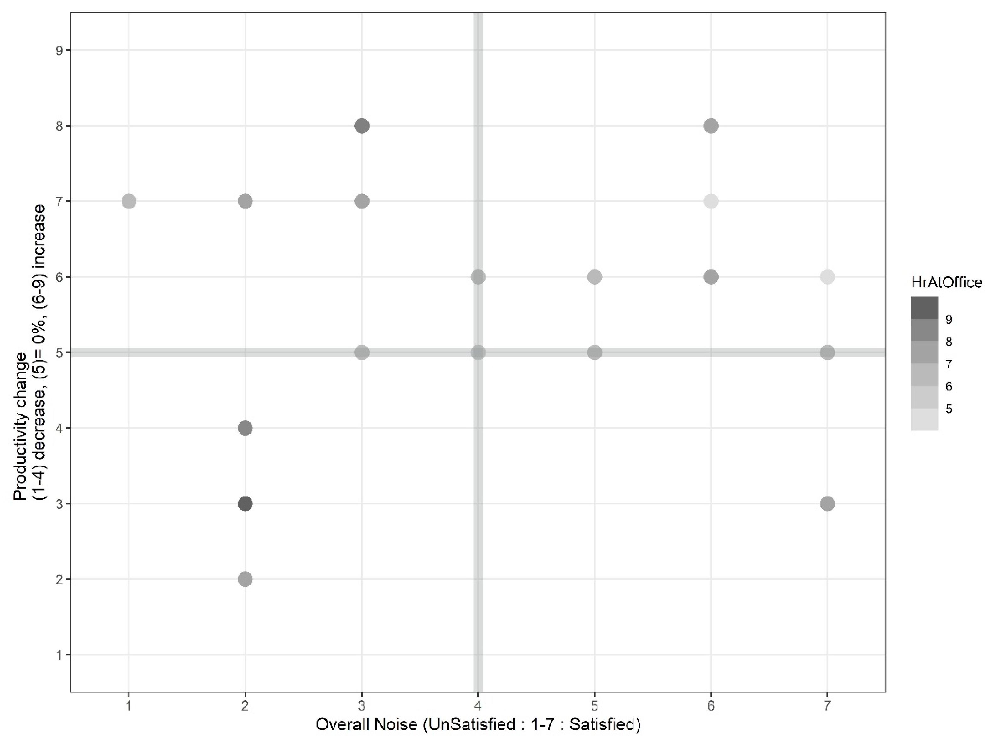
3.1. Stage 1—Post Occupancy Evaluation and Satisfaction with Building (B1, n = 26 Valid Questionnaires)
3.2. Stage 2—Comfort Survey (B2 and B3, n = 1079 Valid Questionnaires)
3.3. Stage 3—Comfort Study in Focus Group (B1, n = 52 Valid Questionnaires)
3.3.1. Environmental Conditions
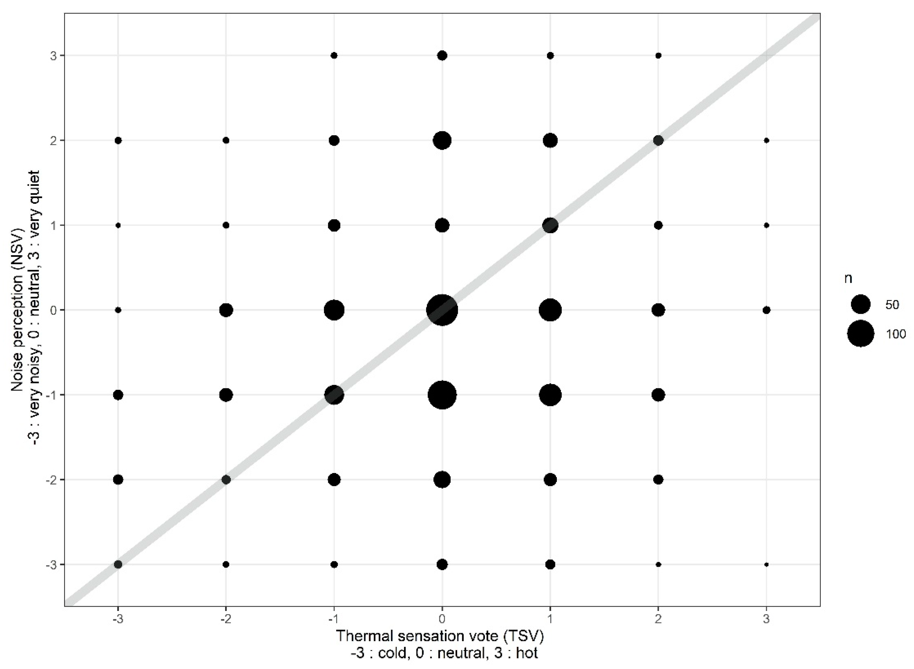
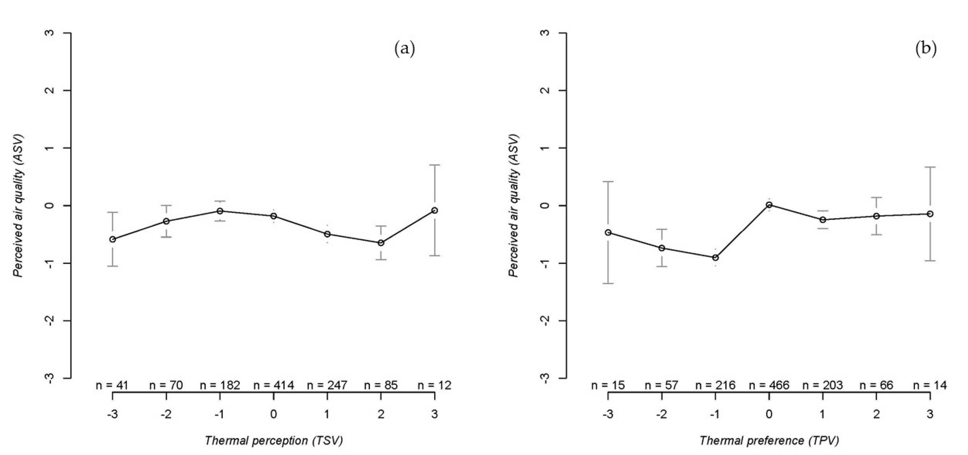
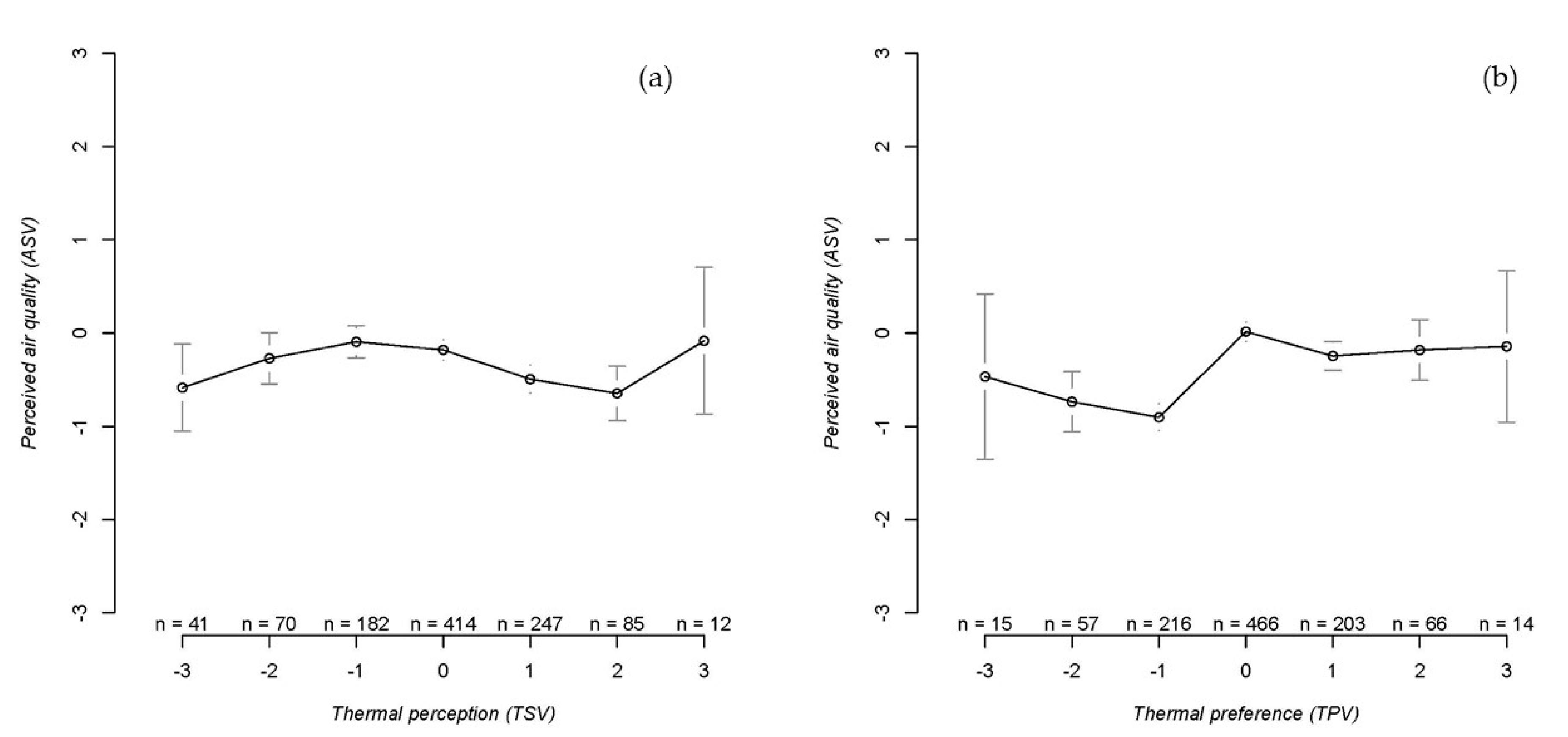
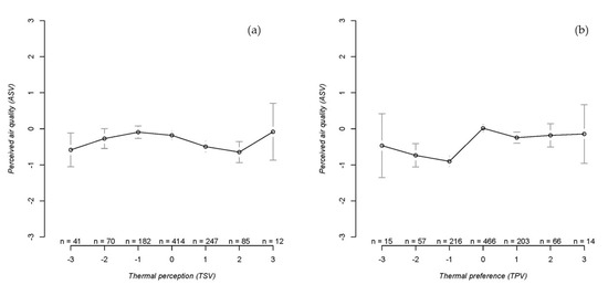
3.3.2. Correlation Analysis and Effects of Interactions
4. Discussion
5. Conclusions
5.1. Internal and External Validity
5.2. Future Research
Author Contributions
Funding
Institutional Review Board Statement
Informed Consent Statement
Data Availability Statement
Acknowledgments
Conflicts of Interest
References
- Ortiz, M.A.; Kurvers, S.R.; Bluyssen, P.M. A review of comfort, health, and energy use: Understanding daily energy use and wellbeing for the development of a new approach to study comfort. Energy Build. 2017, 152, 323–335. [Google Scholar] [CrossRef]
- Al Horr, Y.; Arif, M.; Kaushik, A.; Mazroei, A.; Katafygiotou, M.; Elsarrag, E. Occupant productivity and office indoor environment quality: A review of the literature. Build. Environ. 2016, 105, 369–389. [Google Scholar] [CrossRef]
- Mahdavi, A.; Berger, C. Predicting Buildings′ Energy Use: Is the Occupant-Centric “Performance Gap” Research Program Ill-Advised? Front Energy Res. 2019, 7, 124. [Google Scholar] [CrossRef]
- Manfren, M.; Nastasi, B.; Piana, E.; Tronchin, L. On the link between energy performance of building and thermal comfort: An example. AIP Conf. Proc. 2019, 21, 23. [Google Scholar]
- Antoniadou, P.; Papadopoulos, A.M. Occupants’ thermal comfort: State of the art and the prospects of personalized assessment in office buildings. Energy Build. 2017, 153, 136–149. [Google Scholar] [CrossRef]
- Schweiker, M.; Ampatzi, E.; Andargie, M.S.; Andersen, R.K.; Azar, E.; Barthelmes, V.M.; Berger, C.; Bourikas, L.; Carlucci, S.; Chinazzo, G.; et al. Review of multi-domain approaches to indoor environmental perception and behaviour. Build. Environ. 2000, 106804. Available online: https://www.sciencedirect.com/science/article/abs/pii/S0360132320301621 (accessed on 6 January 2021). [CrossRef]
- Wang, Z.; de Dear, R.; Luo, M.; Lin, B.; He, Y.; Ghahramani, A.; Zhu, Y. Individual difference in thermal comfort: A literature review. Build. Environ. 2018, 138, 181–193. [Google Scholar] [CrossRef]
- Carlucci, S.; Bai, L.; de Dear, R.; Yang, L. Review of adaptive thermal comfort models in built environmental regulatory documents. Build. Environ. 2018, 137, 73–89. [Google Scholar] [CrossRef]
- Nordvall, M.; Arvola, M. Perception, Meaning and Transmodal Design. DRS2016 Futur Think. 2016, 3, 1–12. [Google Scholar]
- Yang, W.; Moon, H.J. Cross-modal effects of noise and thermal conditions on indoor environmental perception and speech recognition. Appl. Acoust. 2018, 141, 1–8. [Google Scholar] [CrossRef]
- Chinazzo, G.; Wienold, J.; Andersen, M. Influence of indoor temperature and daylight illuminance on visual perception. Light. Res. Technol. 2019, 52, 350–370. [Google Scholar] [CrossRef]
- Lam, C.K.C.; Yang, H.; Yang, X.; Liu, J.; Ou, C.; Cui, S.; Kong, X.; Hang, J. Cross-modal effects of thermal and visual conditions on outdoor thermal and visual comfort perception. Build. Environ. 2020, 186, 107297. [Google Scholar] [CrossRef]
- Schweiker, M.; Schakib-Ekbatan, K.; Fuchs, X.; Becker, S. A seasonal approach to alliesthesia. Is there a conflict with thermal adaptation? Energy Build. 2020, 212, 109745. [Google Scholar] [CrossRef]
- Heydarian, A.; McIlvennie, C.; Arpan, L.; Yousefi, S.; Syndicus, M.; Schweiker, M.; Jazizadeh, F.; Rissetto, R.; Pisello, A.L.; Piselli, C.; et al. What drives our behaviors in buildings? A review on occupant interactions with building systems from the lens of behavioral theories. Build. Environ. 2020, 179, 106928. [Google Scholar] [CrossRef]
- Schweiker, M.; Huebner, G.M.; Kingma, B.R.M.; Kramer, R.; Pallubinsky, H. Drivers of diversity in human thermal perception—A review for holistic comfort models. Temperature 2018, 5, 308–342. [Google Scholar] [CrossRef] [PubMed]
- Schweiker, M.; Rissetto, R.; Wagner, A. Thermal expectation: Influencing factors and its effect on thermal perception. Energy Build. 2020, 210, 109729. [Google Scholar] [CrossRef]
- Tang, H.; Ding, Y.; Singer, B. Interactions and comprehensive effect of indoor environmental quality factors on occupant satisfaction. Build. Environ. 2020, 167, 106462. [Google Scholar] [CrossRef]
- Yang, W.; Moon, H.J. Combined effects of acoustic, thermal, and illumination conditions on the comfort of discrete senses and overall indoor environment. Build. Environ. 2019, 148, 623–633. [Google Scholar] [CrossRef]
- Geng, Y.; Ji, W.; Lin, B.; Zhu, Y. The impact of thermal environment on occupant IEQ perception and productivity. Build. Environ. 2017, 121, 158–167. [Google Scholar] [CrossRef]
- Barnes, J.; Wineman, J.; Adler, N. Open Office Space: The Wave of the Future for Academic Health Centers? Acad. Med. 2020, 95, 52–58. [Google Scholar] [CrossRef]
- Richardson, A.; Potter, J.; Paterson, M.; Harding, T.; Tyler-Merrick, G.; Kirk, R.; Reid, K.; McChesney, J. Office design and health: A systematic review. N. Z. Med. J. 2017, 130, 39–49. [Google Scholar] [PubMed]
- Frontczak, M.; Schiavon, S.; Goins, J.; Arens, E.; Zhang, H.; Wargocki, P. Quantitative relationships between occupant satisfaction and satisfaction aspects of indoor environmental quality and building design. Indoor Air 2012, 22, 119–131. [Google Scholar] [CrossRef] [PubMed]
- Kim, J.; de Dear, R. Nonlinear relationships between individual IEQ factors and overall workspace satisfaction. Build. Environ. 2012, 49, 33–40. [Google Scholar] [CrossRef]
- Castaldo, V.L.; Pigliautile, I.; Rosso, F.; Cotana, F.; De Giorgio, F.; Pisello, A.L. How subjective and non-physical parameters affect occupants’ environmental comfort perception. Energy Build. 2018, 178, 107–129. [Google Scholar] [CrossRef]
- Kwon, M.; Remøy, H.; van den Dobbelsteen, A.; Knaack, U. Personal control and environmental user satisfaction in office buildings: Results of case studies in the Netherlands. Build. Environ. 2019, 149, 428–435. [Google Scholar] [CrossRef]
- Ma, N.; Aviv, D.; Guo, H.; Braham, W.W. Measuring the right factors: A review of variables and models for thermal comfort and indoor air quality. Renew. Sustain. Energy Rev. 2021, 135, 110436. [Google Scholar] [CrossRef]
- Chen, C.F.; Yilmaz, S.; Pisello, A.L.; De Simone, M.; Kim, A.; Hong, T.; Bandurski, K.; Bavaresco, M.V.; Liu, P.L.; Zhu, Y. The impacts of building characteristics, social psychological and cultural factors on indoor environment quality productivity belief. Build. Environ. 2020, 185, 107189. [Google Scholar] [CrossRef]
- Pastore, L.; Andersen, M. Building energy certification versus user satisfaction with the indoor environment: Findings from a multi-site post-occupancy evaluation (POE) in Switzerland. Build. Environ. 2019, 150, 60–74. [Google Scholar] [CrossRef]
- Byrd, H.; Rasheed, E.O. The productivity paradox in green buildings. Sustainability 2016, 8, 347. [Google Scholar] [CrossRef]
- Leaman, A. Usable Buildngs Trust, The Partner Network Building Use Studies (BUS) Methodology 2006. Available online: https://busmethodology.org.uk/ (accessed on 6 January 2021).
- Leaman, A.; Stevenson, F.; Bordass, B. Building evaluation: Practice and principles. Build. Res. Inf. 2010, 38, 564–577. [Google Scholar] [CrossRef]
- Khoshbakht, M.; Baird, G.; Rasheed, E.O. The influence of work group size and space sharing on the perceived productivity, overall comfort and health of occupants in commercial and academic buildings. Indoor Built Environ. 2020. [Google Scholar] [CrossRef]
- Baird, G.; Chun, S.; Gandhi, A.; Gjerde, M. Assessment of changes in building performance from the users’ point of view: A before-and-after case study of an academic department. In Proceedings of the 53rd International Conference of Architectural Science Association, Roorkee, Uttrakhand, India, 28–30 November 2019. [Google Scholar]
- Rasheed, E.O.; Khoshbakht, M.; Baird, G. Does the number of occupants in an office influence individual perceptions of comfort and productivity?-new evidence from 5000 office workers. Buildings 2019, 9, 73. [Google Scholar] [CrossRef]
- McCartney, K.J.; Fergus Nicol, J. Developing an adaptive control algorithm for Europe. Energy Build. 2002, 34, 623–635. [Google Scholar] [CrossRef]
- ASHRAE Standing Standard Project Committee 55. ASHRAE Standard 55-2010. Thermal Environmental Conditions for Human Occupancy; ASHRAE: Atlanta, GA, USA, 2010. [Google Scholar]
- CEN. Standard EN15251. Indoor Environmental Input Parameters for Design and Assessment of Energy Performance of Buildings Addressing Indoor Air Quality, Thermal Environment, Lighting and Acoustics; CEN: Brussels, Belgium, 2007. [Google Scholar]
- CIBSE. Guide A: Environmental Design. Chart. Inst. Build. Serv. Eng. 2015. [Google Scholar] [CrossRef]
- Poynton, T.A.; DeFouw, E.R.; Morizio, L.J. A Systematic Review of Online Response Rates in Four Counseling Journals. J. Couns. Dev. 2019, 97, 33–42. [Google Scholar] [CrossRef]
- Langevin, J.; Gurian, P.L.; Wen, J. Tracking the human-building interaction: A longitudinal field study of occupant behavior in air-conditioned offices. J. Environ. Psychol. 2015, 42, 94–115. [Google Scholar] [CrossRef]
- Lee, Y.; Aletta, F. Acoustical planning for workplace health and well-being: A case study in four open-plan offices. Build. Acoust. 2019, 26, 207–220. [Google Scholar] [CrossRef]
- Banbury, S.P.; Berry, D.C. Office noise and employee concentration: Identifying causes of disruption and potential improvements. Ergonomics 2005, 48, 25–37. [Google Scholar] [CrossRef]
- Bae, S.; Asojo, A.O.; Martin, C.S. Impact of occupants’ demographics on indoor environmental quality satisfaction in the workplace. Build. Res. Inf. 2020, 48, 301–315. [Google Scholar] [CrossRef]
- Ramalho, O.; Mandin, C.; Ribéron, J.; Wyart, G. Air Stuffiness and Air Exchange Rate in French Schools and Day-Care Centres. Int. J. Vent. 2013, 12, 175–180. [Google Scholar] [CrossRef]
- Schweiker, M.; Wagner, A. Interactions between thermal and visual (dis-)comfort and related adaptive actions through cluster analyses. In Proceedings of the BauSIM2018—7. Deutsch-Österreichische IBPSA-Konferenz Tagungsband, Karlsruhe, Germany, 26–28 September 2018; pp. 204–215. [Google Scholar]
- R Core Team R: A Language and Environment for Statistical Computing 2020. Available online: http://www.r-project.org/ (accessed on 6 January 2021).
- Bates, D.; Mächler, M.; Bolker, B.M.; Walker, S.C. Fitting linear mixed-effects models using lme4. J. Stat. Softw. 2015, 67, 1–48. [Google Scholar] [CrossRef]
- Kuznetsova, A.; Brockhoff, P.B.; Christensen, R.H.B. lmerTest Package: Tests in Linear Mixed Effects Models. J. Stat. Softw. 2017, 82, 1–26. [Google Scholar] [CrossRef]
- Göçer, Ö.; Candido, C.; Thomas, L.; Göçer, K. Differences in occupants’ satisfaction and perceived productivity in high- and low-performance offices. Buildings 2019, 9, 199. [Google Scholar] [CrossRef]
- Varjo, J.; Hongisto, V.; Haapakangas, A.; Maula, H.; Koskela, H.; Hyönä, J. Simultaneous effects of irrelevant speech, temperature and ventilation rate on performance and satisfaction in open-plan offices. J. Environ. Psychol. 2015, 44, 16–33. [Google Scholar] [CrossRef]
- Roskams, M.J.; Haynes, B.P. Testing the relationship between objective indoor environment quality and subjective experiences of comfort. Build. Res. Inf. 2020. [Google Scholar] [CrossRef]
- Cahyani, A.A. Influence of Work Environment Noise to Productivity of Employee Performance of Sidoarjo District. J. Public Heal. Sci. Res. 2020, 1, 12–17. [Google Scholar] [CrossRef][Green Version]
- Göçer, Ö.; Hua, Y.; Göçer, K. Completing the missing link in building design process: Enhancing post-occupancy evaluation method for effective feedback for building performance. Build. Environ. 2015, 89, 14–27. [Google Scholar] [CrossRef]
- Reinikainen, L.M.; Aunela-Tapola, L.; Jaakkola, J.J.K. Humidification and perceived indoor air quality in the office environment. Occup. Environ. Med. 1997, 54, 322–327. [Google Scholar] [CrossRef]
- Humphreys, M.A.; Nicol, J.F.; Mccartney, K.J. An Analysis of Some Subjective Assessments of Indoor Air-quality in Five European Countries. Indoor Air 2002, 5, 86–91. [Google Scholar]










| Thermal Perception “How Do You Feel Right Now?” (TSV) | ||||||
| Cold (coded: −3) | Cool | Slightly cool | Neutral (coded: 0) | Slightly warm | Warm | Hot (coded: +3) |
| Thermal Preference “At this Moment, Would You Prefer to be…?” (TPV) | ||||||
| Much cooler (coded: −3) | Cooler | Slightly cooler | Without change (coded: 0) | Slightly warmer | Warmer | Much warmer (coded: +3) |
| Noise Perception “How Do You Find the Background Noise Level?” (NSV) | ||||||
| Very Noisy (coded: −3) | Noisy | Slightly Noisy | Neither noisy nor quiet (coded: 0) | Slightly quiet | Quiet | Very quiet (coded: +3) |
| Air Quality Perception “How Do You Find the Air Quality?” (ASV) | ||||||
| Very bad (coded: −3) | Bad | Slightly Bad | Neither bad nor good (coded: 0) | Slightly good | Good | Excellent (coded: +3) |
| Device | Model | Sampling Rate | Measure | Accuracy |
|---|---|---|---|---|
| Data-logging sound level meter | Reed Instruments SD-4023. Fast weighting. (200 ms) ‘A’ frequency weighting. | 1 s | Sound pressure level, LP (dB) | 1 kHz ± 1.4 dB; 250 Hz ± 1.9 dB; 500 Hz ± 1.9 dB; 125 Hz ± 2.0 dB; 63 Hz ± 2.5 dB; 2 kHz ± 2.6 dB; 31.5 Hz ± 3.5 dB; 4 kHz ± 3.6 dB; 8 kHz ± 5.6 dB |
| Temperature and relative humidity sensor | MadgeTech RHTemp101A | 5 min | Temperature (°C) Relative humidity (%) | ±0.5 °C, ±3.0% |
| Reverberation time analyser | Brüel & Kjær 2250 handheld analyser | NA | Wide band reverberation time, T60 (s) | 0.1–0.7 s (Min) |
| Stage | Sample Size | Duration (Weeks) | Response Rate | Type |
|---|---|---|---|---|
| Stage 1 | 26 | 1 | 65% | Post Occupancy Evaluation (POE) |
| Stage 2 | 116 | 48 | 20% | Comfort-longitudinal |
| Stage 3 | 12 | 5 | 90% | Comfort-longitudinal |
| Environmental Parameters | Min | Max | Mean | Median | Std Dev |
|---|---|---|---|---|---|
| SL5 | 39 dB | 58 dB | 46 dB | 45 dB | 4 dB |
| SL30 | 40 dB | 53 dB | 47 dB | 47 dB | 3 dB |
| LAeq | 41 dB | 51 dB | 47 dB | 48 dB | 2 dB |
| Ta | 22.2 °C | 24.7 °C | 24.2 °C | 24.4 °C | 0.5 °C |
| RH | 26% | 41% | 33% | 33% | 4% |
| Tout | 6 °C | 14 °C | 10 °C | 10 °C | 2 °C |
| RHout | 56% | 98% | 82% | 83% | 11% |
| Variables | NSV | NSC | TCV | ASV |
|---|---|---|---|---|
| TSV | −0.225 (0.06) | −0.091 (0.48) | 0.239 (0.06) | −0.363 (0.003) |
| ASV | 0.066 (0.57) | 0.176 (0.17) | −0.134 (0.29) | 1 |
| NSC | −0.47 (0.0001) | 1 | −0.106 (0.43) | 0.176 (0.17) |
| NSV | 1 | −0.47 (0.0001) | −0.176 (0.15) | 0.066 (0.57) |
| Variables | TSV | TCV | NSV | NSC | ASV |
|---|---|---|---|---|---|
| SPL30 | −0.042 (0.70) | −0.024 (0.83) | −0.210 (0.046) | 0.136 (0.23) | −0.038 (0.73) |
| Top | 0.237 (0.03) | 0.094 (0.41) | −0.267 (0.01) | 0.232 (0.046) | −0.07 (0.53) |
| Confidence Intervals | 2.5% | 97.5% |
|---|---|---|
| Intercept | 0.346 | 0.740 |
| Top | 0.264 | 0.701 |
| SPL30 | −0.769 | −0.209 |
| ASV | −0.521 | −0.184 |
| Top:ASV | −0.408 | −0.051 |
| SPL30:ASV | 0.117 | 0.491 |
Publisher’s Note: MDPI stays neutral with regard to jurisdictional claims in published maps and institutional affiliations. |
© 2021 by the authors. Licensee MDPI, Basel, Switzerland. This article is an open access article distributed under the terms and conditions of the Creative Commons Attribution (CC BY) license (http://creativecommons.org/licenses/by/4.0/).
Share and Cite
Bourikas, L.; Gauthier, S.; Khor Song En, N.; Xiong, P. Effect of Thermal, Acoustic and Air Quality Perception Interactions on the Comfort and Satisfaction of People in Office Buildings. Energies 2021, 14, 333. https://doi.org/10.3390/en14020333
Bourikas L, Gauthier S, Khor Song En N, Xiong P. Effect of Thermal, Acoustic and Air Quality Perception Interactions on the Comfort and Satisfaction of People in Office Buildings. Energies. 2021; 14(2):333. https://doi.org/10.3390/en14020333
Chicago/Turabian StyleBourikas, Leonidas, Stephanie Gauthier, Nicholas Khor Song En, and Peiyao Xiong. 2021. "Effect of Thermal, Acoustic and Air Quality Perception Interactions on the Comfort and Satisfaction of People in Office Buildings" Energies 14, no. 2: 333. https://doi.org/10.3390/en14020333
APA StyleBourikas, L., Gauthier, S., Khor Song En, N., & Xiong, P. (2021). Effect of Thermal, Acoustic and Air Quality Perception Interactions on the Comfort and Satisfaction of People in Office Buildings. Energies, 14(2), 333. https://doi.org/10.3390/en14020333

