Abstract
Arsenic emission from coal combustion power plants has attracted increasing attention due to its high toxicity. In this study, it was found that there was a close relationship between the ash fusion temperature (AFT) and arsenic distribution based on the thermodynamic equilibrium calculation. In addition to the AFT, coal characteristics and combustion temperature also considerably affected the distribution and morphology of arsenic during coal combustion. Thus, an arsenic volatilization model based on the AFT, coal type, and combustion temperature during coal combustion was developed. To test the accuracy of the model, blending coal combustion experiments were carried out. The experimental results and published data proved that the developed arsenic volatilization model can accurately predict arsenic emission during co-combustion, and the errors of the predicted value for bituminous and lignite were 2.3–9.8%, with the exception of JingLong (JL) coal when combusted at 1500 °C.
1. Introduction
In 2017, the coal-fired power stations produced 4662 billion kW·h electricity, which accounted for 71.79% of the national electricity produced in China [1]. Hence, about 1.9 billion tons coal was consumed to produce electricity. Coal contains all of the elements of the chemical element′s periodic table, and these elements interact and are emitted into the atmosphere as gaseous or solid phases with flue gas [2,3]. In particular, elements with low boiling points, such as As, undergo vaporization, condensation, or nucleation processes during coal combustion, and are enriched in sub-microparticles [4]. Unfortunately, current air pollution control devices do not effectively capture the sub-microparticles. Tian et al. estimated that As emissions from coal fired power stations in China amounted to about 550 t in 2007 [5]. As has the characteristics of high toxicity, carcinogenicity, and bioaccumulation [6,7]. Thus, the United States Environmental Protection Agency (EPA) legislated that As emission from coal-fired power stations should be lower than 9.08 μg/kWh (existing units) and 1.362 μg/kWh (new units) [6,8]. The Beijing and Shanghai Municipalities also promulgated acts to reduce As emission, limiting As concentration in flue gas to no greater than 0.5 mg/m3 [9,10]. Therefore, As emission control in coal-fired power stations has attracted a significant amount of concern [4,11,12].
In China, As concentration in coal ranges from 0.24 to 71 μg/g, and the average concentration is 5.5 μg/g [13]. In addition, the As concentration level in coal from southwestern provinces is higher than that from other provinces [14,15]. To reduce As emissions from coal-fired power stations, numerous researchers attempted to capture As using sorbents such as CaO [16], kaolin [17], iron oxide [18], or Al2O3 [19,20]. Jadhav and Fan reported that the gaseous As2O3 in flue gas reacts with CaO and forms Ca3As2O8 when the reaction temperature is below 600 °C [21]. In addition, Ca2As2O7(s) is the main species of As at 700–900 °C and Ca3(AsO4)2(s) is detected at 1000–1300 °C [16]. The high temperature benefits the capture of As by CaO [16]. Following statistical analysis, Seames and Wendt found that there was a close relationship between As and Fe content in fly ash, which was attributed to the reaction of Fe2O3 and As2O3 [22]. Zhang et al. also proved that Fe2O3 had 57% capture efficiency for As and detected stable arsenates in the products [23]. Moreover, Al2O3 can react with As to form AlAsO4 at a high temperature, and is stable even at temperatures as high as 1400 °C. Wang et al. showed that mineral components in coal, such as Na, K, Mg, Ca, Al, Fe, or Si, also affected As vaporization during coal combustion [24]. It is well known that the mineral components and content in coal are different, and blending of the coal can be used to adjust the ratio of minerals. Hence, the vaporization of As during coal combustion can be influenced by the blending of coal, and As emission control using blending coal combustion technology is theoretically feasible [25].
Blending coal combustion technology was developed to solve a series of problems caused by the type of coal used in coal-fired power stations. The technology has been widely used in China to not only improve the utilization rate of coal resources, but also to reduce the emission of pollutants such as sub-microparticles, SO2, and NOx [26]. Wang et al. [27] discovered that the interaction of Ca, Fe, Si, and Al in different coals causes the change in the particle size of particulate matter (PM) during co-combustion. Zhou et al. [28] demonstrated that the increase in Ca and Fe contents using blending coal technology suppresses the formation of PM1 (the diameter of particulate matter smaller than 1 μm), and promotes emission of PM10+ (the diameter of particulate matter larger than 10 μm). Due to the interaction of minerals in different coals, the ash fusion temperature (AFT) of the blending coal ash was also varied under the blending coal combustion [29]. Qiu et al. [30] proved that the formation of CaO-Fe2O3-SiO2-Al2O3 during blending coal combustion lowered the AFT.
The above results indicate the interaction of minerals in the different coals during co-combustion, which significantly affects both the AFT of ash and As emission. Moreover, the AFT may have a close relationship with As emission during coal combustion. However, few reports exist on the relationship between the AFT and As vaporization during coal combustion. In this paper, an As vaporization model based on the AFT, coal characteristics, and combustion temperature was developed to predict the vaporization of As during coal combustion. This model could be embedded in the existing blending coal strategy in coal-fired power stations. In addition, the validity of the model was proved by the published data in references and experimental data.
2. Materials and Methods
2.1. Raw Material
In this work, a coal sample was collected from Shenhua (SH). Prior to the experiment, the coal was dried, broken, and sieved to 200 μm. The proximate and ultimate analysis of SH is summarized in Table 1, and the ash compositions are given in Table 2. Arsenic concentration in SH was analyzed according to GB/T 3058-2008. To understand the influence of mineral content on the AFT and the relationship between arsenic retention and the AFT, 0.5%, 1%, 1.5%, and 2% calcium oxide or alumina with particle size of less than 200 μm were added to the SH coal in this study.
Table 1.
Proximate and ultimate analysis of Shenhua (SH).
Table 2.
The ash composition of SH.
2.2. Thermodynamic Equilibrium Calculation
In this paper, Factsage 7.0 software was used to estimate the AFT, arsenic morphology, and distribution during coal combustion [31,32,33]. The FTxiod database of Factsage was used to calculate the AFT. Arsenic morphology and distribution were predicted using the EQUILIB module of Factsage. During the calculation, the temperate range was 900–1200 °C with an interval of 50 °C, and the excess air coefficient was determined as 1.2 [34,35].
2.3. Experimental Setup
The vaporization rate of arsenic during coal combustion was investigated in a fixed bed reactor; the experimental system was described in detail in our previous research [4]. Prior to the experiments, coal and additives, such as Al2O3 or CaO, were uniformly mixed according to a predetermined ratio. When the reactor reached 1100 °C, a 2 g sample located in a crucible was moved to the center of the reactor. After 2 h, the sample was cooled to room temperature by air, and arsenic in the ash was analyzed. The volatilization ratio of arsenic during the coal combustion experiment was calculated using the formula in our previous research [4].
3. Results
3.1. Effects of Mineral Additive on Arsenic Retention
Figure 1 shows the influence of the addition of CaO or Al2O3 on the morphology and distribution of arsenic during coal combustion at 1100 °C. The figure shows that about 18% arsenic was vaporized during SH combustion, and its species was AsO(g). In addition, most of the arsenic reacted with Al compounds in the ash and formed the stable AlAsO4(s), which was proved by Wang et al. [24]. When 0–1.5% of CaO was added to SH, the proportion of AlAsO4(s) increased from 81% to 93%, and arsenic vaporization was suppressed. However, further increase in CaO decreased the retention of arsenic, and AlAsO4(s) disappeared. Furthermore, As2O3(s) was observed, accounting for 69% of arsenic species. Other arsenic existed in the form of AsO(g). Hence, the optimal addition of CaO can benefit the suppression of arsenic vaporization. The addition of Al2O3 appears to have little influence on arsenic vaporization. However, the content of the stable phase arsenic (AlAsO4) decreased with the addition of Al2O3. On the contrary, the fraction of As2O3(s) increased with the additional content of Al2O3, as shown in Figure 2.
Figure 1.
The influence of the addition of CaO on the distribution of arsenic under 1100 °C.
Figure 2.
The influence of the addition of Al2O3 on the distribution of arsenic under 1100 °C.
The variation of the soft temperature (ST) with the addition of CaO is illustrated in Figure 3. It can be seen that the ST of coal ash first decreased and then increased as the additional content of CaO increased, and the addition of 1% CaO into SH caused the ST of coal ash to reach its trough. The STs of SH ash with the addition of 0.5%, 1%, 1.5%, and 2% CaO were 1144, 1132, 1161, and 1213 °C, respectively. The ST of SH ash was 1171 °C. Liang et al. also found that the addition of CaO to coal affected the phase diagram of ash, thus the fusion temperature also varied [36]. The addition of Al2O3 had a negative effect on lowering the ST. The STs of SH coal ash under the addition of 0.5%, 1%, 1.5%, and 2% Al2O3 were 1178, 1213, 1221, and 1216 °C, as presented in Figure 4. Zhou et al. [37] noted that alumina reacted with silica at a high temperature and formed mullite, which significantly improved the ST of coal ash [37].
Figure 3.
The influence of the addition of CaO on the softening temperature of coal ash.
Figure 4.
The influence of the addition of Al2O3 on the softening temperature of coal ash.
3.2. Arsenic Volatilization Model during Coal Combustion
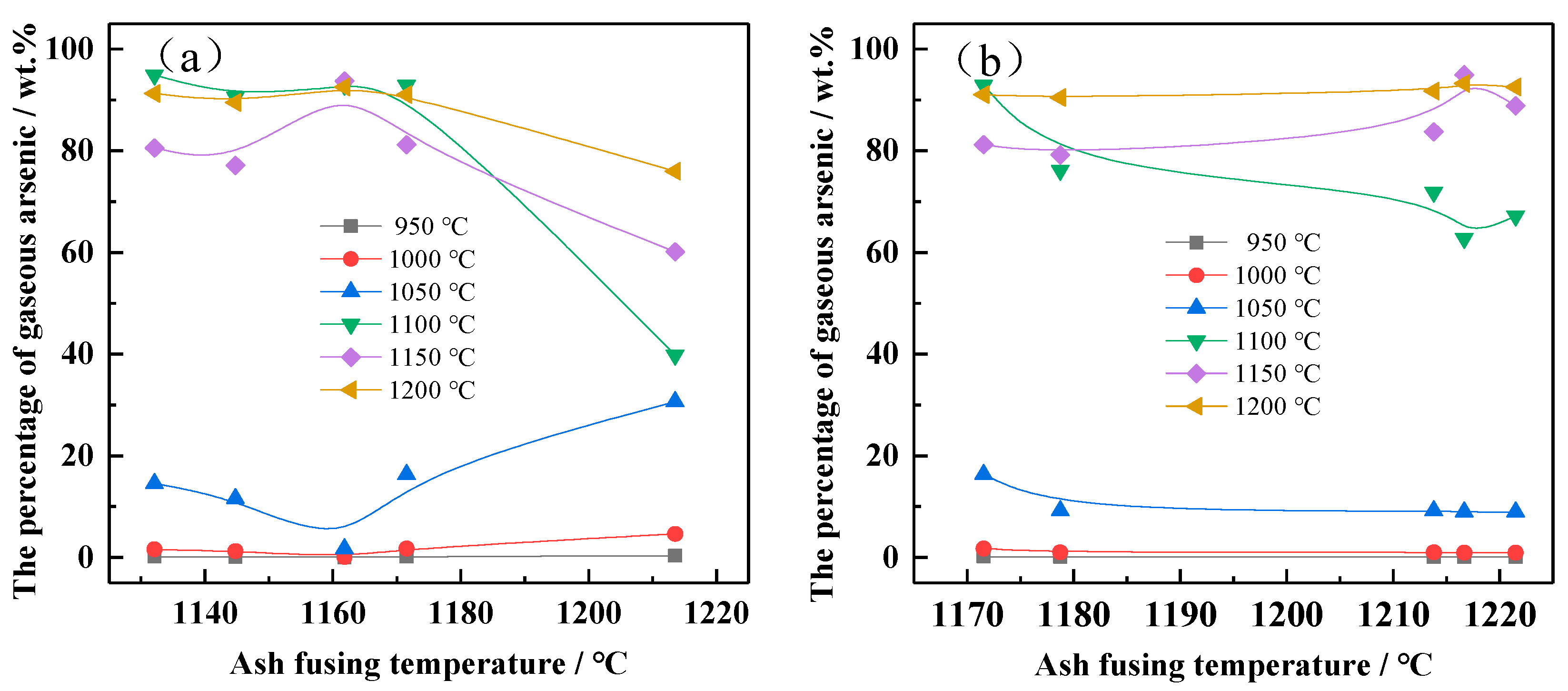
Based on the above chemical thermodynamics calculations, the vaporization of arsenic and the AFT of SH is affected by the addition of CaO or Al2O3 during coal combustion. Figure 5 demonstrates the dependence of arsenic vaporization on the AFT of SH under the different combustion temperatures. To clearly describe the relationship between the volatilization characteristics of arsenic and the AFT during SH combustion, a model of arsenic volatilization based on the AFT of SH, combustion temperature, and coal characteristics was proposed. The expression can be expressed as Equation (1):
where GAs represents the vaporization fraction of arsenic during coal combustion, %; A is the release index of arsenic in coal; ST represents the ash fusion temperature of coal, °C; ω is the angular velocity parameter of the sine function; φ represents the initial phase parameters of the sine function; Gv is the coefficient related to the coal characteristics.
Figure 5.
Relationship between the ash fusion temperature (AFT) and arsenic volatilization under different combustion temperatures: (a) CaO addition, (b) Al2O3 addition.
According to the data in Figure 5, the values of each parameter in Equation (1) were obtained by the fitting method, and are shown in Table 3. The results demonstrate that the parameters A, ω, and φ were functions of the temperature.
Table 3.
Parameters of arsenic vaporization model.
To reduce the error caused by the difference in coal characteristics, the content of the volatile matter representing the coal quality characteristics was also introduced to the model. Therefore, A, ω, φ, and Gv were defined as in Equations (2)–(5):
The least squares method was adopted to solve Equations (2)–(5), and the coefficients of Equations (2)–(5) were obtained so that the sum of the squares of the errors (SSE) reached the minimum value [11].
where, fi* was calculated by Equation (1) and fi was calculated by Equations (2)–(5). Using the Origin 2017 software, the fitting analysis was carried out to calculate the coefficients, as shown in Figure 6.
Figure 6.
Functional relationship of parameters in the model. (a) Arsenic volatilization index versus temperature, (b) Angular velocity parameter versus temperature, (c) Primary phase versus temperature, (d) coal quality difference versus volatile matter content.
After solving the coefficients, the results obtained from Equations (2)–(5) were as follows:
where T is the combustion temperature, °C; V is the content of volatile matter in coal, %. Thus, the arsenic vaporization model during coal combustion was developed:
where ST is the ST of coal ash, °C; T is the combustion temperature, °C; V is the content of volatile matter in coal, %.
Arsenic volatilization in SH coal was calculated by Equation (11), as presented in Table 4. Moreover, arsenic vaporization derived from our experiments is also summarized in Table 4. The comparison of the experimental and predicted values is shown in Figure 7. Following regression analysis, the correlation R2 was 0.8294, which meets the accuracy requirements of arsenic emission prediction. Hence, the predicted value was found to be close to the experimental data, and the arsenic vaporization model was acceptable. To further verify the accuracy of the model, the experimental results in references [11,38,39] were used, and the comparison is illustrated in Figure 8. In Figure 8, A1 and A2 are anthracite; JingLong (JL), ShiJingShan (SJS), and Guizhou (GZ) are bituminous coal; L1 and KaiYuan (KY) are lignite. The proximate analysis of coals is given in Table 5. The chemical components of ash in coal are described in previous research [11,38,39]. As shown in Figure 8, the errors of the predicted values for bituminous coal and lignite were 2.3–9.8%, with the exception of JL coal when combustion is 1500 °C, and the case of temperature equal to 900 °C, when the error was significantly larger. Thus, the model was found to have good applicability to bituminous and lignite pulverized coal combustion reactors, and was not suitable for fluidized bed reactors. Regarding anthracite, the errors of the predicted values for A1 and A2 were 18.0% and −34.46%, respectively. The error of the predicted value for anthracite was larger than that of other coal, which was attributed to the low volatile matter content of anthracite. In general, the blending coal system is widely applied in pulverized coal-fired power stations in China, and the model can therefore be easily introduced to the blending coal system. Thus, the application of the arsenic vaporization model to the blending coal system to control arsenic emission appears to be feasible.
Table 4.
Experimental and predicted results of arsenic vaporization during SH combustion under 1100 °C.
Figure 7.
Predicted and experimental values of arsenic volatilization during SH combustion.
Figure 8.
Predicted and experimental values of arsenic volatilization during coal combustion under different temperatures.
Table 5.
Proximate and ultimate analysis, and arsenic concentration of coal samples [38].
4. Conclusions
In this study, SH coal was used as the raw material and the ash fusion temperature of SH was changed by the addition of CaO and Al2O3. In addition, the morphology and distribution of arsenic during coal combustion under 900–1200 °C were obtained through thermodynamic calculation. An arsenic volatilization model based on the AFT, combustion temperature, and coal characteristics was developed. Following comparison of the predicted values and the experimental data, it was found the errors of the predicted values for bituminous and lignite coal were 2.3–9.8%, which indicated that the model had good applicability for bituminous and lignite coal. However, the errors of predicted values for A1 and A2 (anthracite coal) were 18.0% and −34.46%, respectively. Thus, significant improvement of the model is required before it can be applied to anthracite combustion.
Author Contributions
Conceptualization, L.Q. and J.H.; methodology, G.C.; software, W.C.; formal analysis, Z.X.; investigation, B.Z.; writing—original draft preparation, B.Z.; writing—review and editing, J.H.; supervision, L.Q.; project administration, J.H. All authors have read and agreed to the published version of the manuscript.
Funding
This research was funded by National Key Research and Development Program of China, grant number 2018YFB0605102 and the APC was funded by National Key Research and Development Program of China.
Institutional Review Board Statement
Not applicable.
Informed Consent Statement
Not applicable.
Data Availability Statement
Not applicable.
Conflicts of Interest
The authors declare no conflict of interest.
References
- National Bureau of Statistics in China. China Statistical Yearbook; National Bureau of Statistics in China: Beijing, China, 2019.
- Xu, M.; Yan, R.; Zheng, C.; Qiao, Y.; Han, J.; Sheng, C. Status of trace element emission in a coal combustion process: A review. Fuel Process. Technol. 2004, 85, 215–237. [Google Scholar] [CrossRef]
- Salgansky, E.A.; Tsvetkov, M.V.; Kadiev, K.M.; Visaliev, M.Y.; Zekel’, L.A. Rare and Valuable Metals in Oils and Coals of the Russian Federation: Content and Methods of Extraction. Russ. J. Appl. Chem. 2019, 92, 1616–1633. [Google Scholar] [CrossRef]
- Han, J.; Xiong, Z.; Zhao, B.; Liang, Y.; Wang, Y.; Qin, L. A prediction of arsenic and selenium emission during the process of bituminous and lignite coal co-combustion. Chem. Pap. 2020, 74, 2079–2089. [Google Scholar] [CrossRef]
- Tian, H.; Wang, Y.; Xue, Z.; Qu, Y.; Chai, F.; Hao, J. Atmospheric emissions estimation of Hg, As, and Se from coal-fired power plants in China, 2007. Sci. Total Environ. 2011, 409, 3078–3081. [Google Scholar] [CrossRef]
- Wang, C.; Liu, H.; Zhang, Y.; Zou, C.; Anthony, E.J. Review of arsenic behavior during coal combustion: Volatilization, transformation, emission and removal technologies. Prog. Energy Combust. Sci. 2018, 68, 1–28. [Google Scholar] [CrossRef]
- Zhang, Y.; Tian, J.; Feng, S.; Yang, F.; Lu, X. The occurrence modes and geologic origins of arsenic in coal from Santanghu Coalfield, Xinjiang. J. Geochem. Explor. 2018, 186, 225–234. [Google Scholar] [CrossRef]
- Qin, L.; Futang, X.; Zhao, B.; Chen, W.; Han, J. Reducing polycyclic aromatic hydrocarbon and its mechanism by porous alumina bed material during medical waste incineration. Chemosphere 2018, 212, 200–208. [Google Scholar] [CrossRef]
- Shanghai Municipal Bureau of Ecology and Environment. Integrate Emission Standard of Air Pollutants; Shanghai Municipal Bureau of Ecology and Environment: Shanghai, China, 2015.
- Beijing Municipal Bureau of Ecology and Environment. Integrated Emission Standards of Air Pollutants; Beijing Municipal Bureau of Ecology and Environment: Beijing, China, 2017.
- Liu, H.; Wang, C.; Zhang, Y.; Huang, X.; Guo, Y.; Wang, J. Experimental and modeling study on the volatilization of arsenic during co-combustion of high arsenic lignite blends. Appl. Therm. Eng. 2016, 108, 1336–1343. [Google Scholar] [CrossRef]
- Xuan, W.; Wang, H.; Xia, D. Depolymerization mechanism of CaO on network structure of synthetic coal slags. Fuel Process. Technol. 2019, 187, 21–27. [Google Scholar] [CrossRef]
- Zhang, W.; Sun, Q.; Yang, X. Thermal effects on arsenic emissions during coal combustion process. Sci. Total Environ. 2018, 612, 582–589. [Google Scholar] [CrossRef]
- Wang, M.; Zheng, B.; Wang, B.; Li, S.; Wu, D.; Hu, J. Arsenic concentrations in Chinese coals. Sci. Total Environ. 2006, 357, 96–102. [Google Scholar] [CrossRef] [PubMed]
- Kang, Y.; Liu, G.; Chou, C.-L.; Wong, M.H.; Zheng, L.; Ding, R. Arsenic in Chinese coals: Distribution, modes of occurrence, and environmental effects. Sci. Total Environ. 2011, 412–413, 1–13. [Google Scholar] [CrossRef] [PubMed]
- Song, B.; Song, M.; Chen, D.; Cao, Y.; Meng, F.; Wei, Y. Retention of arsenic in coal combustion flue gas at high temperature in the presence of CaO. Fuel 2020, 259, 116249. [Google Scholar] [CrossRef]
- Chen, D. Investigation on the adsorption mechanism of Arsenic in flue gas during fuel combustion. Ph.D. Thesis, Huazhong University of Science and Technology, Wuhan, China, 2016. [Google Scholar]
- Yang, Y.; Hu, H.; Xie, K.; Huang, Y.; Liu, H.; Li, X.; Yao, H.; Naruse, I. Insight of arsenic transformation behavior during high-arsenic coal combustion. Proc. Combust. Inst. 2019, 37, 4443–4450. [Google Scholar] [CrossRef]
- Huang, Y.; Yang, Y.; Hu, H.; Xu, M.; Liu, H.; Li, X.; Wang, X.; Yao, H. A deep insight into arsenic adsorption over γ-Al2O3 in the presence of SO2/NO. Proc. Combust. Inst. 2019, 37, 2951–2957. [Google Scholar] [CrossRef]
- Zhou, C.; Liu, G.; Xu, Z.; Sun, H.; Lam, P.K.S. Effect of ash composition on the partitioning of arsenic during fluidized bed combustion. Fuel 2017, 204, 91–97. [Google Scholar] [CrossRef]
- Jadhav, R.A.; Fan, L.-S. Capture of Gas-Phase Arsenic Oxide by Lime: Kinetic and Mechanistic Studies. Environ. Sci. Technol. 2001, 35, 794–799. [Google Scholar] [CrossRef]
- Seames, W.S.; Wendt, J.O.L. Regimes of association of arsenic and selenium during pulverized coal combustion. Proc. Combust. Inst. 2007, 31, 2839–2846. [Google Scholar] [CrossRef]
- Zhang, Y.; Wang, C.; Li, W.; Liu, H.; Zhang, Y.; Hack, P.; Pan, W. Removal of Gas-Phase As2O3 by Metal Oxide Adsorbents: Effects of Experimental Conditions and Evaluation of Adsorption Mechanism. Energy Fuels 2015, 29, 6578–6585. [Google Scholar] [CrossRef]
- Wang, T.; Yang, Q.; Wang, Y.; Wang, J.; Zhang, Y.; Pan, W.-P. Arsenic release and transformation in co-combustion of biomass and coal: Effect of mineral elements and volatile matter in biomass. Bioresour. Technol. 2020, 297, 122388. [Google Scholar] [CrossRef]
- Jiao, F.; Ninomiya, Y.; Zhang, L.; Yamada, N.; Sato, A.; Dong, Z. Effect of coal blending on the leaching characteristics of arsenic in fly ash from fluidized bed coal combustion. Fuel Process. Technol. 2013, 106, 769–775. [Google Scholar] [CrossRef]
- Yuzbasi, N.S.; Selçuk, N. Air and oxy-fuel combustion characteristics of biomass/lignite blends in TGA-FTIR. Fuel Process. Technol. 2011, 92, 1101–1108. [Google Scholar] [CrossRef]
- Wang, Q.; Zhang, L.; Sato, A.; Ninomiya, Y.; Yamashita, T. Effects of coal blending on the reduction of PM10 during high-temperature combustion 1. Mineral transformations. Fuel 2008, 87, 2997–3005. [Google Scholar] [CrossRef]
- Zhou, K.; Xu, M.; Yu, D.; Wen, C.; Zhan, Z.; Yao, H. The effects of coal blending on the formation and properties of particulate matter during combustion. Chin. Sci. Bull. 2010, 55, 3448–3455. [Google Scholar] [CrossRef]
- Nel, M.V.; Strydom, C.A.; Schobert, H.H.; Beukes, J.P.; Bunt, J.R. Reducing atmosphere ash fusion temperatures of a mixture of coal-associated minerals -The effect of inorganic additives and ashing temperature. Fuel Process. Technol. 2014, 124, 78–86. [Google Scholar] [CrossRef]
- Qiu, J.R.; Li, F.; Zheng, Y.; Zheng, C.G.; Zhou, H. Influences of mineral behaviour on blended coal ash fusion characteristics. Fuel 1999, 78, 963–969. [Google Scholar] [CrossRef]
- Bale, C.W.; Bélisle, E.; Chartrand, P.; Decterov, S.A.; Eriksson, G.; Gheribi, A.E.; Hack, K.; Jung, I.H.; Kang, Y.B.; Melançon, J.; et al. FactSage thermochemical software and databases, 2010–2016. Calphad 2016, 54, 35–53. [Google Scholar] [CrossRef]
- Li, H.; Yoshihiko, N.; Dong, Z.; Zhang, M. Application of the FactSage to Predict the Ash Melting Behavior in Reducing Conditions. Chin. J. Chem. Eng. 2006, 14, 784–789. [Google Scholar] [CrossRef]
- Zhao, Y.; Zhang, Y.; Bao, S.; Chen, T.; Han, J. Calculation of mineral phase and liquid phase formation temperature during roasting of vanadium-bearing stone coal using FactSage software. Int. J. Miner. Process. 2013, 124, 150–153. [Google Scholar] [CrossRef]
- Liu, J.; Zhuo, Z.; Xie, W.; Kuo, J.; Lu, X.; Buyukada, M.; Evrendilek, F. Interaction effects of chlorine and phosphorus on thermochemical behaviors of heavy metals during incineration of sulfur-rich textile dyeing sludge. Chem. Eng. J. 2018, 351, 897–911. [Google Scholar] [CrossRef]
- Gibbs, B.M.; Thompson, D.; Argent, B.B. A thermodynamic equilibrium comparison of the mobilities of trace elements when washed and unwashed coals are burnt under pf firing conditions. Fuel 2004, 83, 2271–2284. [Google Scholar] [CrossRef]
- Liang, W.; Wang, G.-w.; Ning, X.-j.; Zhang, J.-l.; Li, Y.-j.; Jiang, C.-h. Effect of CaO mineral change on coal ash melting characteristics. J. Energy Inst. 2019, 93, 642–648. [Google Scholar] [CrossRef]
- Zhou, H.; Luo, Z.; Liu, D.; Ma, W.-C. Effect of biomass ashes on sintering characteristics of high/low melting bituminous coal ash. Fuel Process. Technol. 2019, 189, 62–73. [Google Scholar] [CrossRef]
- Liu, H.; Pan, W.-P.; Wang, C.; Zhang, Y. Volatilization of Arsenic During Coal Combustion Based on Isothermal Thermogravimetric Analysis at 600–1500 °C. Energy Fuels 2016, 30, 6790–6798. [Google Scholar] [CrossRef]
- Liu, H.; Wang, C.; Zou, C.; Zhang, Y.; Wang, J. Simultaneous volatilization characteristics of arsenic and sulfur during isothermal coal combustion. Fuel 2017, 203, 152–161. [Google Scholar] [CrossRef]
Publisher’s Note: MDPI stays neutral with regard to jurisdictional claims in published maps and institutional affiliations. |
© 2021 by the authors. Licensee MDPI, Basel, Switzerland. This article is an open access article distributed under the terms and conditions of the Creative Commons Attribution (CC BY) license (http://creativecommons.org/licenses/by/4.0/).







