A CFD Design Approach for Industrial Size Tubular Reactors for SNG Production from Biogas (CO2 Methanation)
Abstract
:1. Introduction
1.1. Current Trends in Reactor Design
1.2. Research Scope and Contribution
| Modelling Approach | Reactor Type | Dim. | Code | Ref. |
|---|---|---|---|---|
| Pseudo-homogeneous models based on intrinsic kinetics | Tubular | 2D | COMSOL | [19] |
| Tubular | 2D | Presto-Kinetics | [11] | |
| Tubular | 2D | COMSOL | [20] | |
| Tubular | 2D & 3D | Fluent | [8] | |
| Tubular | 1D | Matlab & Athena | [21] | |
| Metallic-Honeycomb | 2D | COMSOL | [22] | |
| Tubular | 1D | FlexPDE | [23] | |
| Tubular | 1D | N/A | [24] | |
| Tubular-Structured | 2D | COMSOL | [25] | |
| Tubular | 2D | OpenFoam | [26] | |
| Tubular | 1D | Fortran 90 | [27] | |
| Tubular | 1D | AMPL & IPOPT | [28] | |
| Pseudo-homogeneous models with effectiveness factor | Tubular | 1D | Python | [29] |
| Tubular | 1D | Matlab | [9] | |
| Tubular | 1D | CONOPT | [30] | |
| Tubular | 2D | Matlab | [7] | |
| Structured-wall | 1D & 3D | COMSOL 1D, Fluent 3D | [31] | |
| Tubular | 1D | Fortran 90 | [6] | |
| Tubular | 1D | Matlab | [32] | |
| Tubular | 1D | Matlab | [12] | |
| Tubular | 1D | Matlab | [33] | |
| Tubular | 1D | Matlab | [10] | |
| Tubular | 1D | Matlab | [34] | |
| Tubular | 3D | Fluent | [35] | |
| Tubular | 1D | Matlab | [36] | |
| Tubular | 0D, 2D, 3D | COMSOL | [37] | |
| Heterogeneous models with intraparticle mass balance | Tubular, Structured | 1D & 2D | Matlab (1D) COMSOL (2D) | [38] |
| Catalytic wall reactor | 1D & 2D | COMSOL | [39] | |
| Micro channel | 3D | COMSOL | [40] | |
| Tubular-annular | 1D & 2D | COMSOL | [41] | |
| Micro-structured | 1D | gPROMS ModelBuilder | [42] | |
| Tubular | 2D | Fortran 90 | [43] | |
| Tubular | 2D | Fortran 90 | [44] | |
| Tubular, Fluidized bed | 1D | Matlab | [45] | |
| Tubular | 1D | Matlab | [46] | |
| Tubular, low dt/dp | 3D (PRCFD-DEM) | COMSOL | [47] |
2. Reactor Model
2.1. Reactor Description
2.2. Model Setup
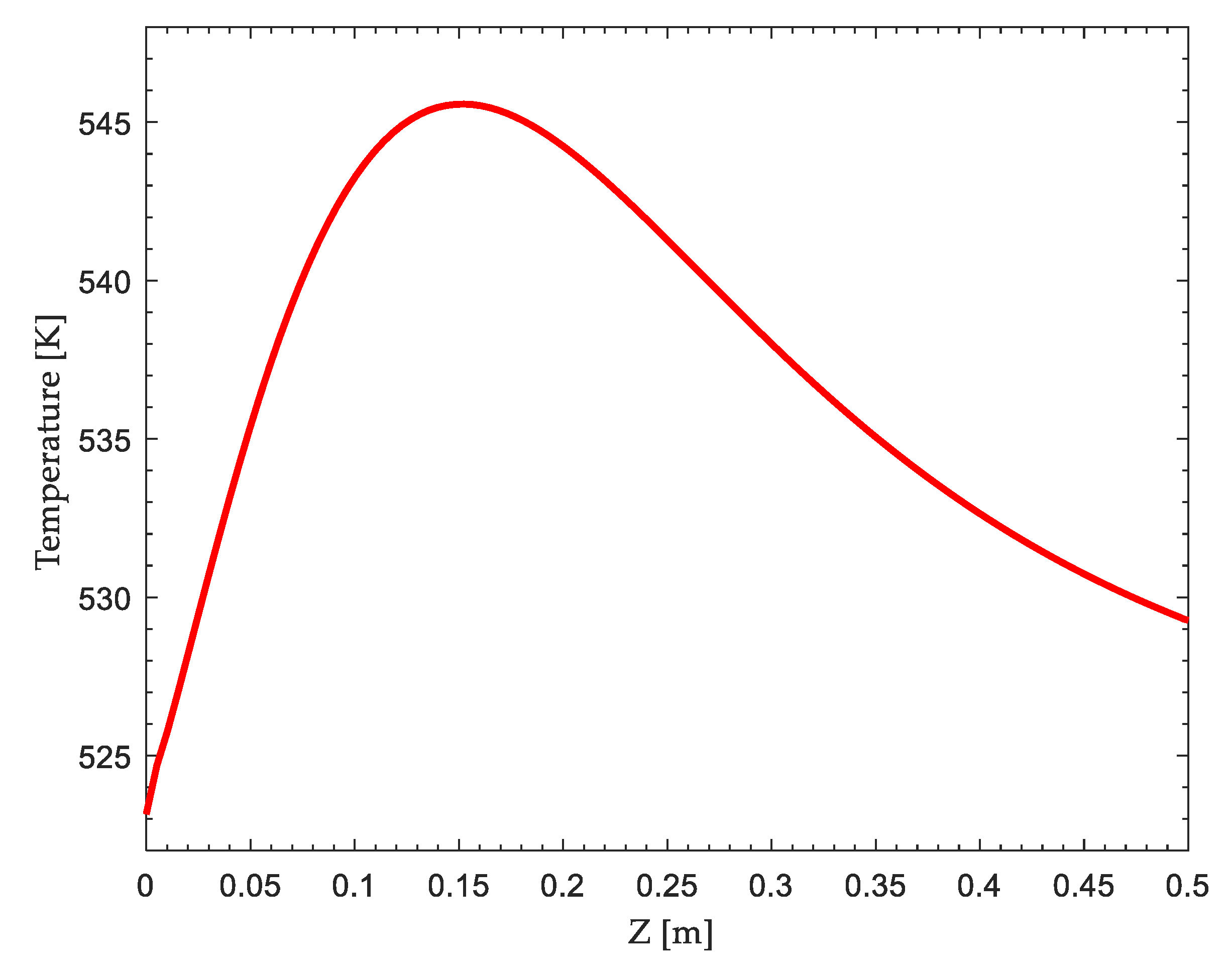
- Step 1: Benchmark simulation for single tube: A single tube model was first developed to check and validate the LHHW kinetic model as adopted in Fluent via a User Defined Function (UDF). As only chemical reactions were of interest at this stage, a 2D simplified model was adopted. This Single Tube model was validated against experimental data reported by Gruber et al. [56]. Since heat transfer is the focus of this research, the experimental temperature profile was chosen as a reference variable for kinetic validation purposes at single tube level. Model geometry and simulation conditions were implemented to reflect both real experimental reactor geometry and conditions.
- Step 2: Benchmark simulation for shell-side: A non-reactive tube bundle was fully modelled to represent best the heat transfer interface between reactive tubes and coolant. This means that all structures that alter the flow were present (baffles, tube bundle, shell walls, coolant inlet and outlet). Since the focus was on heat transfer between individual tube walls and coolant, no chemical reactions were considered. Instead, as Jiang et al. [17] proposed, constant wall temperature distribution was incorporated as a boundary condition, emulating the presence of chemical reactions. Surface heat transfer coefficients at tube walls were then validated against Gnielinski [55] correlation for tube bundles.
- Step 3: Mesh independency: After validation of both phenomena (chemical kinetics and heat transfer), these were merged into a full model, and mesh independency was assessed for four mesh sizes. Boundary conditions considered for the mesh independency test reflect nominal operation of the proposed design, as declared in Table 2.
- Step 4: Study Case: A modular multi-tubular reactor was designed to fulfil the operational requirements of a small biogas plant. As already stated, it is in the best interest of an efficient reactor to reach the desired conversion under safe and stable thermal conditions while pumping work is minimized. The influence of coolant flow and type regarding pumping energy consumption and hot spot temperature control were analysed. Furthermore, the benefits of the disk-doughnut configuration were discussed from a thermal and hydrodynamic perspective. Finally, the number of required modules and final reactor configuration were determined to fulfil the needed SNG quality and biogas production.
2.3. Governing Equations
2.4. Numerical Methods
3. Results and Discussion
3.1. Benchmark Simulation for Single Tube
3.2. Benchmark Simulation for Shell-Side
3.3. Mesh Independency
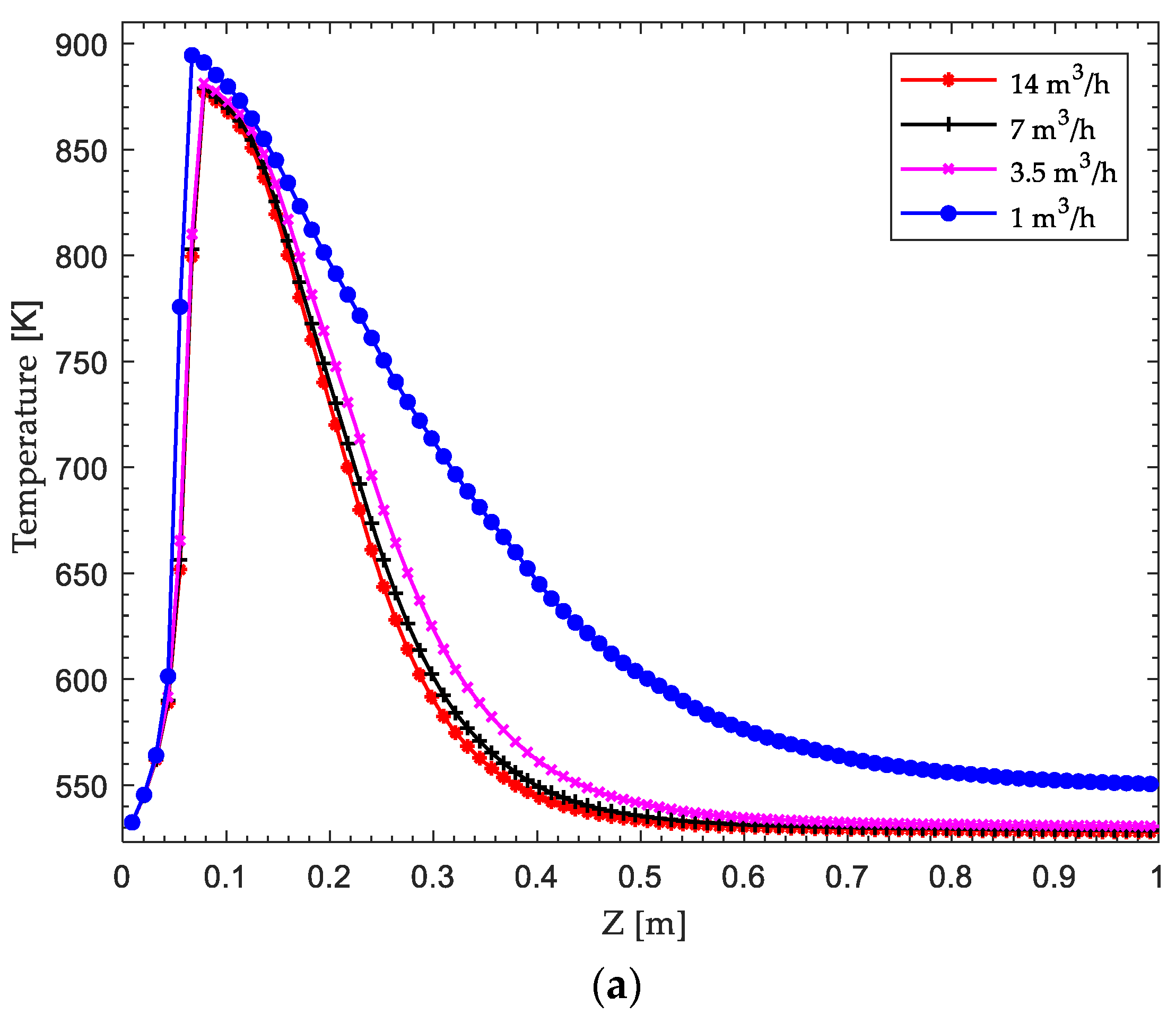
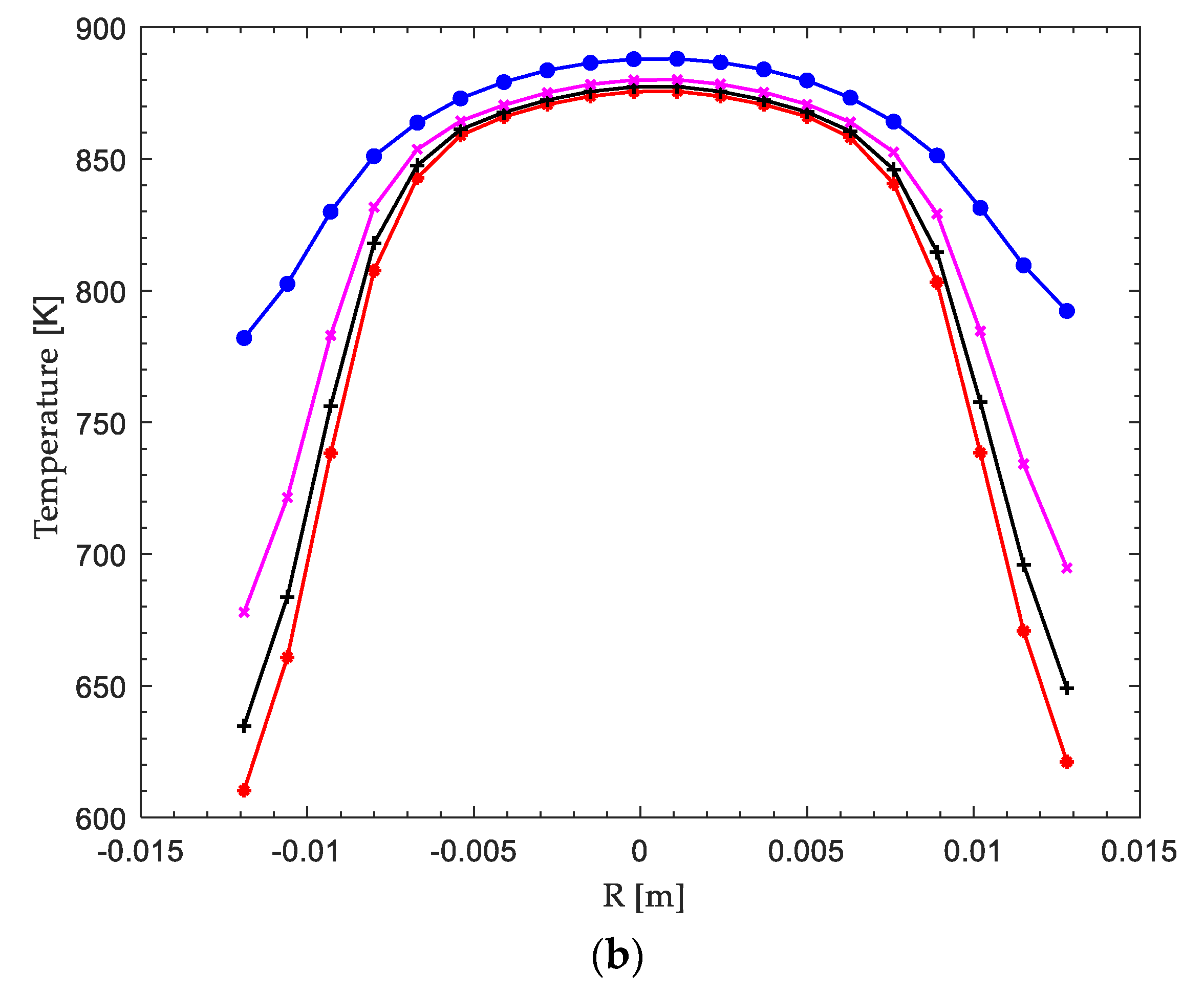
3.4. Design Study
3.4.1. Coolant Type Analysis
3.4.2. Coolant Flow Rate Analysis
3.4.3. Coolant Flow Field Analysis
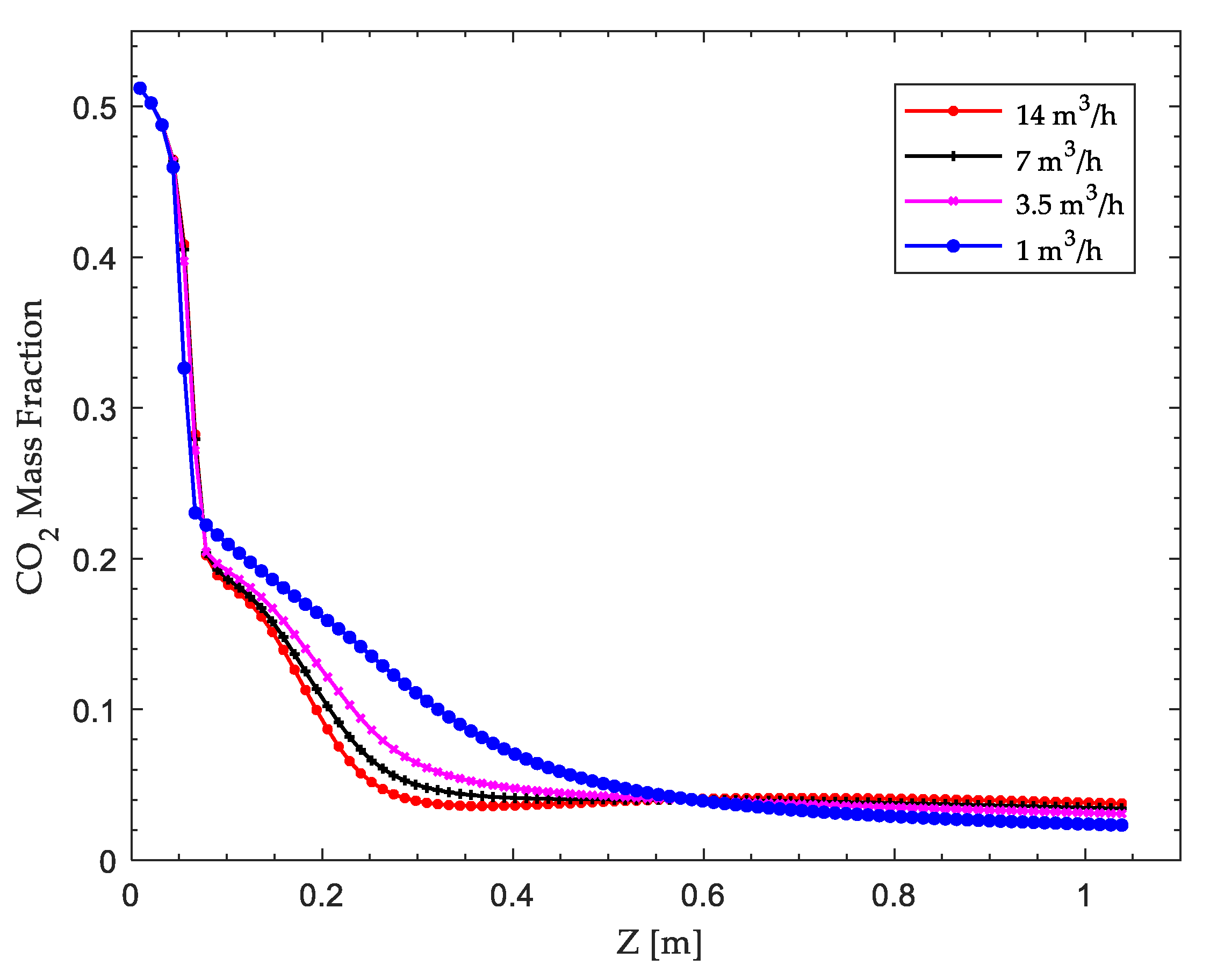
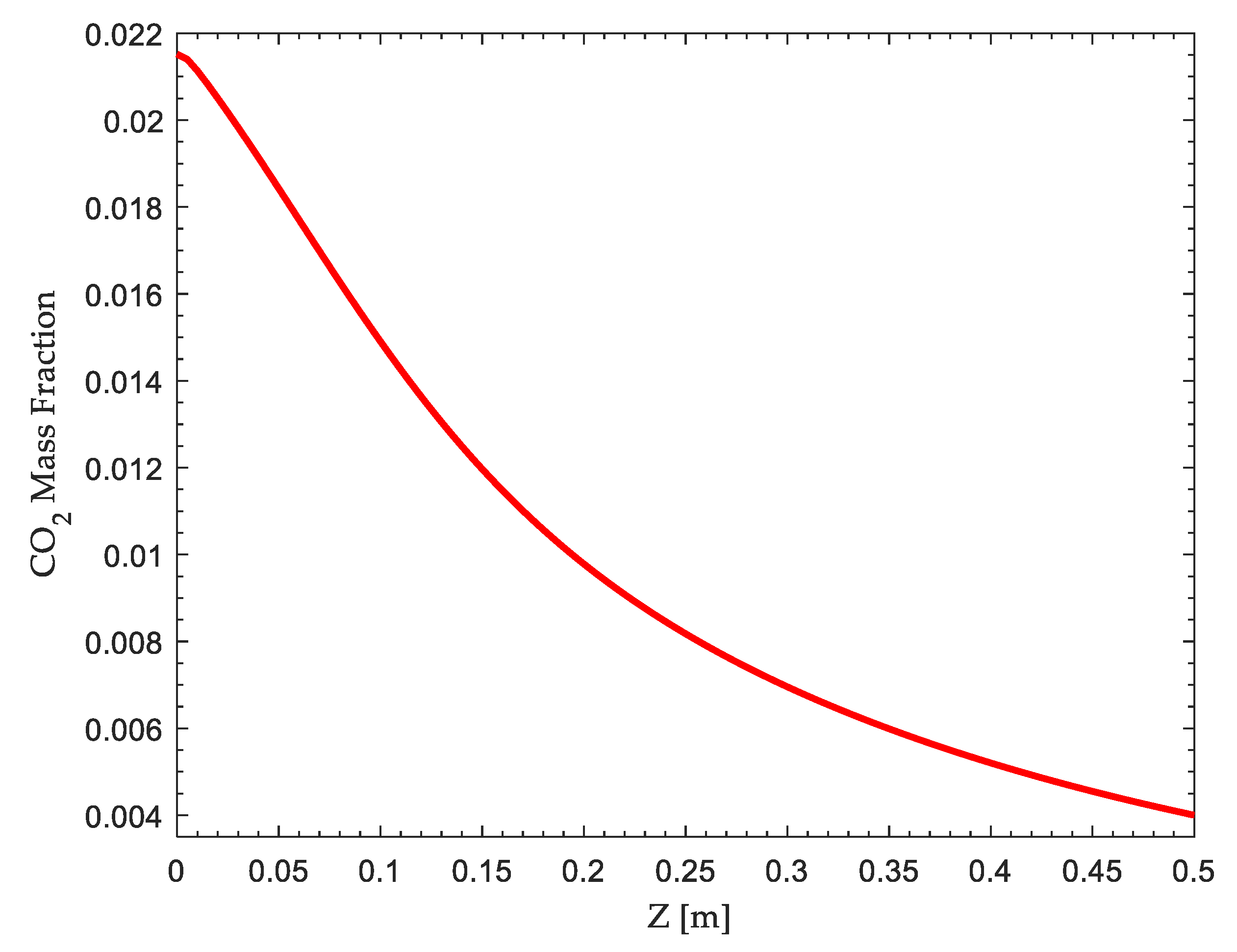
3.4.4. Species Concentration Analysis
4. Conclusions
Author Contributions
Funding
Institutional Review Board Statement
Informed Consent Statement
Data Availability Statement
Conflicts of Interest
Abbreviations
| CFD | Computational Fluid Dynamics | |
| UDF | User Defined Function | |
| PMM | Porous Media Model | |
| PRCFD | Particle resolved CFD | |
| TEMA | Tubular Exchanger Manufacturers Association | |
| RNG | Renormalisation group | |
| SNG | Substitute natural gas | |
| LHHW | Langmuir Hinshelwood Hougen Watson | |
| SIMPLE | Semi-Implicit Method for Pressure Linked Equations | |
| PtM | Powe to methane | |
| GHSV | Gas hourly space velocity | |
| Symbols: | ||
| Tube external area | (m2) | |
| cp | Specific heat capacity | (J kg−1 K−1) |
| Cμ | Realizable coefficient | (-) |
| dt | Tube external diameter | (m) |
| dp | Particle diameter | (m) |
| Dij | Binary molecular diffusion coefficient | (m2/s) |
| E | Total energy | (J/kg) |
| EA | Activation Energy | (J/mol) |
| g | Acceleration of gravity | (9.81 m/s2) |
| h | Enthalpy | (J/kg) |
| Heat transfer coefficient, Gnielinski | (W m−2 K−1) | |
| Heat transfer coefficient, CFD | (W m−2 K−1) | |
| Differential head | (m) | |
| ΔH | Enthalpy change | (kJ/mol) |
| hi0 | Enthalpy of formation of species i | (J/kg) |
| ΔHads | Heat of adsorption | (J/mol) |
| I | Identity matrix | (-) |
| j | Mass diffusion flux | (Kg s−1 m−2) |
| k0 | Arrhenius Pre exponential factor | (kmol bar−1 kgcat−1) |
| K0 | Van’t Hoff Pre exponential factor | (bar−0.5) |
| Ki | Adsorption constant of species i | (bar−0.5) |
| Keq | Equilibrium constant | (-) |
| kr | Reaction rate coefficient | (kmol bar−1 kgcat−1 s−1) |
| k | Turbulent kinetic energy | (m2 s−2) |
| Lbed | Catalytic bed length | (m) |
| l | Tube streaming length | (m) |
| Mwi | Molecular weight of species i | (kg/kmol) |
| Laminar component of Nusselt number | (-) | |
| Turbulent component of Nusselt number | (-) | |
| Nusselt number for a single row of tubes | (-) | |
| p | Static pressure | (Pa) |
| Pr | Prandtl number | (-) |
| Pumping power | (kW) | |
| ri | Molar Rate of formation of species i | (kmol m−3s−1) |
| q | Coolant flow | (m3/h) |
| Surface heat flux at tube walls | (W) | |
| Ri | Mass rate of formation of species i | (kg m−3s−1) |
| R | Universal Gas Constant | (8.314 J mol−1 K−1) |
| Redp | Reynolds number based on particle diameter | (-) |
| Rep | Reynolds number based on particle diameter and mean porosity | (-) |
| Redt | Reynolds number based on particle diameter and confining diameter | (-) |
| Reψ,l | Reynolds number for a single row of tubes in crossflow | (-) |
| T | Temperature | (K) |
| Tref | Reference temperature | (K) |
| tp | Tube pitch | (-) |
| U | Mean flow velocity | (m s−1) |
| Uw | Mean average velocity in the void between tubes | (m s−1) |
| Linear velocity | (m s−1) | |
| y+ | Dimensionless wall distance | (-) |
| Y | Species mass fraction | (kg/kg) |
| Greek letters | ||
| α | Thermal diffusivity | (m2 s−1) |
| Turbulent dissipation rate | (m2 s−3) | |
| ρ | Density | (kg m−3) |
| Thermal conductivity | (W m−1 K−1) | |
| Turbulent thermal conductivity | (W m−1 K−1) | |
| Effective thermal conductivity | (W m−1 K−1) | |
| φ | Bed porosity | (-) |
| Shear Stress tensor | (-) | |
| κ | Permeability | (m2) |
| Effective viscosity in porous media | (kg m−1 s−1) | |
| μt | Turbulent viscosity | (kg m−1 s−1) |
| μg | Gas phase viscosity | (kg m−1 s−1) |
| ν | Kinematic viscosity | (m2 s−1) |
| ψ | Void fraction between adjacent tubes in a row | (-) |
| Subscripts | ||
| f | Fluid (liquid) phase | |
| g | Fluid (gas) phase | |
| i | Species index | |
| j | Species index | |
| s | Solid (catalyst) | |
| st | Solid (stainless steel) | |
Appendix A. Thermodynamic, Physical Properties and Kinetic Parameters
| Property | Value | Unit | Reference |
| Gas mixture | |||
| Specific heat (Cpg) | Mixing-law | J kg−1K−1 | [58] |
| Thermal conductivity (λg) | Ideal gas mixing law | W m−1 K−1 | [58] |
| Density (ρg) | Incomp. ideal gas | Kg m−3 | [58] |
| Viscosity (μg) | Ideal gas mixing law | Kg m−1 s−1 | [58] |
| Binary molecular diffusion coefficient (Dij) | Chapman-Enskog | m2 s−1 | [61] |
| Catalyst bed | |||
| Bulk density (ρs) | 1535 | Kg m−3 | [35] |
| Specific heat (Cps) | 880 | J kg−1K−1 | [20] |
| Thermal conductivity (λs) | 0.67 | W m−1 K−1 | [41] |
| Particle Diameter (dp) | 2.6 | mm | [11] |
| Bed porosity | 0.39 | - | [20] |
| Permeability | 1.045 × 10−8 | m2 | [58] |
| Inertial resistance | 12,000 | m−1 | [58] |
| Coolant (molten salt) | |||
| Density (ρf) | 1930 | Kg m−3 | [65] |
| Specific heat | 1590 | J kg−1K−1 | [65] |
| Viscosity (Cpf) | 0.004 | Kg m−1 s−1 | [65] |
| Thermal conductivity (λf) | 0.49 | W m−1 K−1 | [65] |
| Coolant (thermal oil) | |||
| Density (ρf) | 867 | Kg m−3 | [64] |
| Specific heat (Cpf) | 2181 | J kg−1K−1 | [64] |
| Viscosity (μg) | 2.88 × 10−5 | Kg m−1 s−1 | [64] |
| Thermal conductivity (λf) | 0.1055 | W m−1 K−1 | [64] |
| Baffles & tube walls (Steel) | |||
| Density (ρf) | 8030 | Kg m−3 | [66] |
| Specific heat (Cpf) | 502 | J kg−1K−1 | [66] |
| Thermal conductivity (λst) | 16 | W m−1 K−1 | [66] |
| Kinetic parameters | |||
| k0 | 3.46 × 10−4 | kmol bar−1 kgcat−1 s−1 | [12] |
| EA | 77,500 | J mol−1 | |
| K0.OH | 0.5 | bar−0.5 | |
| ΔHads,OH | 22,400 | J mol−1 | |
| K0.H2 | 0.44 | bar−0.5 | |
| ΔHads,H2 | −6200 | J mol−1 | |
| K0.mix | 0.88 | bar−0.5 | |
| ΔHads,mix | −10,000 | J mol−1 | |
| Activity factor | 0.1 | - |
Appendix B. Kinetics Expressions
References
- Denholm, P.; Mai, T. Timescales of energy storage needed for reducing renewable energy curtailment. Renew. Energy 2019, 130, 388–399. [Google Scholar] [CrossRef]
- Ghaib, K.; Ben-Fares, F.-Z. Power-to-Methane: A state-of-the-art review. Renew. Sustain. Energy Rev. 2018, 81, 433–446. [Google Scholar] [CrossRef]
- Götz, M.; Lefebvre, J.; Mörs, F.; Koch, A.M.; Graf, F.; Bajohr, S.; Reimert, R.; Kolb, T. Renewable Power-to-Gas: A technological and economic review. Renew. Energy 2016, 85, 1371–1390. [Google Scholar] [CrossRef] [Green Version]
- Schnuelle, C.; Thoeming, J.; Wassermann, T.; Thier, P.; von Gleich, A.; Goessling-Reisemann, S. Socio-technical-economic assessment of power-to-X: Potentials and limitations for an integration into the German energy system. Energy Res. Soc. Sci. 2019, 51, 187–197. [Google Scholar] [CrossRef]
- Rönsch, S.; Schneider, J.; Matthischke, S.; Schlüter, M.; Götz, M.; Lefebvre, J.; Prabhakaran, P.; Bajohr, S. Review on methanation—From fundamentals to current projects. Fuel 2016, 166, 276–296. [Google Scholar] [CrossRef]
- Fache, A.; Marias, F.; Guerré, V.; Palmade, S. Optimization of fixed-bed methanation reactors: Safe and efficient operation under transient and steady-state conditions. Chem. Eng. Sci. 2018, 192, 1124–1137. [Google Scholar] [CrossRef]
- Bremer, J.; Rätze, K.H.G.; Sundmacher, K. CO2 methanation: Optimal start-up control of a fixed-bed reactor for power-to-gas applications. AIChE J. 2016, 63, 23–31. [Google Scholar] [CrossRef] [Green Version]
- Alarcón, A.; Guilera, J.; Andreu, T. CO2 conversion to synthetic natural gas: Reactor design over Ni–Ce/Al2O3 catalyst. Chem. Eng. Res. Des. 2018, 140, 155–165. [Google Scholar] [CrossRef]
- Sun, D.; Simakov, D.S. Thermal management of a Sabatier reactor for CO2 conversion into CH4: Simulation-based analysis. J. CO2 Util. 2017, 21, 368–382. [Google Scholar] [CrossRef]
- Moioli, E.; Gallandat, N.; Züttel, A. Model based determination of the optimal reactor concept for Sabatier reaction in small-scale applications over Ru/Al2O3. Chem. Eng. J. 2019, 375, 121954. [Google Scholar] [CrossRef]
- Molina, M.M.; Kern, C.; Jess, A. Catalytic Hydrogenation of Carbon Dioxide to Methane in Wall-Cooled Fixed-Bed Reactors‡. Chem. Eng. Technol. 2016, 39, 2404–2415. [Google Scholar] [CrossRef]
- Matthischke, S.; Roensch, S.; Güttel, R. Start-up Time and Load Range for the Methanation of Carbon Dioxide in a Fixed-Bed Recycle Reactor. Ind. Eng. Chem. Res. 2018, 57, 6391–6400. [Google Scholar] [CrossRef]
- Holman, J. Heat Transfer, 10th ed.; McGraw-Hill Education: Boston, MA, USA, 2009. [Google Scholar]
- Hukkanen, E.J.; Rangitsch, M.J.; Witt, P.M. Non-Adiabatic Multitubular Fixed-Bed Catalytic Reactor Model Coupled with Shell-Side Coolant CFD Model. Ind. Eng. Chem. Res. 2013, 52, 15437–15446. [Google Scholar] [CrossRef]
- Hagan, P.S.; Herskowitz, M.; Pirkle, C. A Simple Approach to Highly Sensitive Tubular Reactors. SIAM J. Appl. Math. 1988, 48, 1083–1101. [Google Scholar] [CrossRef]
- Wu, K.; Zhu, K.; Kang, C.; Zhang, J.; Zhang, X.; Zhang, C. Numerical Method and Its Application to Coupled System with Chemical Reaction, Fluid Flow and Heat Transfer: A Case Study of Shell-and-Tube Reactor. In Proceedings of the 2015 IEEE 17th International Conference on High Performance Computing and Communications, 2015 IEEE 7th International Symposium on Cyberspace Safety and Security, and 2015 IEEE 12th International Conference on Embedded Software and Systems, New York, NY, USA, 24–26 August 2015; pp. 1488–1493. [Google Scholar] [CrossRef]
- Jiang, B.; Hao, L.; Zhang, L.; Sun, Y.; Xiao, X. Numerical investigation of flow and heat transfer in a novel configuration multi-tubular fixed bed reactor for propylene to acrolein process. Heat Mass Transf. 2014, 51, 67–84. [Google Scholar] [CrossRef]
- Moon, J.; Gbadago, D.Q.; Hwang, S. 3-D Multi-Tubular Reactor Model Development for the Oxidative Dehydrogenation of Butene to 1,3-Butadiene. ChemEngineering 2020, 4, 46. [Google Scholar] [CrossRef]
- Chein, R.; Chen, W.; Yu, C. Numerical simulation of carbon dioxide methanation reaction for synthetic natural gas production in fixed-bed reactors. J. Nat. Gas Sci. Eng. 2016, 29, 243–251. [Google Scholar] [CrossRef]
- Rönsch, S.; Ortwein, A.; Dietrich, S. Start-and-Stop Operation of Fixed-Bed Methanation Reactors—Results from Modeling and Simulation. Chem. Eng. Technol. 2017, 40, 2314–2321. [Google Scholar] [CrossRef]
- Witte, J.; Settino, J.; Biollaz, S.M.; Schildhauer, T.J. Direct catalytic methanation of biogas—Part I: New insights into biomethane production using rate-based modelling and detailed process analysis. Energy Convers. Manag. 2018, 171, 750–768. [Google Scholar] [CrossRef]
- Schollenberger, D.; Bajohr, S.; Gruber, M.; Reimert, R.; Kolb, T. Scale-Up of Innovative Honeycomb Reactors for Power-to-Gas Applications—The Project Store&Go. Chem. Ing. Tech. 2018, 90, 696–702. [Google Scholar] [CrossRef]
- Nuravifah, U.; Putri, S.E.; Wibisono, Y.; Budhi; Rizkiana, J. Simulation of Feed Modulation on Dynamic Fixed-Bed Reactor for CO Methanation over Ni-based Catalyst. IOP Conf. Ser. Mater. Sci. Eng. 2019, 622, 012024. [Google Scholar] [CrossRef]
- Tauer, G.; Kern, C.; Jess, A. Transient Effects during Dynamic Operation of a Wall-Cooled Fixed-Bed Reactor for CO2 Methanation. Chem. Eng. Technol. 2019, 42, 2401–2409. [Google Scholar] [CrossRef] [Green Version]
- Kosaka, F.; Yamaguchi, T.; Ando, Y.; Mochizuki, T.; Takagi, H.; Matsuoka, K.; Fujishiro, Y.; Kuramoto, K. Effect of Ni content on CO2 methanation performance with tubular-structured Ni-YSZ catalysts and optimization of catalytic activity for temperature management in the reactor. Int. J. Hydrog. Energy 2020, 45, 12911–12920. [Google Scholar] [CrossRef]
- Zhang, W.; Machida, H.; Takano, H.; Izumiya, K.; Norinaga, K. Computational fluid dynamics simulation of CO2 methanation in a shell-and-tube reactor with multi-region conjugate heat transfer. Chem. Eng. Sci. 2019, 211, 115276. [Google Scholar] [CrossRef]
- Fache, A.; Marias, F.; Guerré, V.; Palmade, S. Intermittent Operation of Fixed-Bed Methanation Reactors: A Simple Relation Between Start-Up Time and Idle State Duration. Waste Biomass-Valorization 2018, 11, 447–463. [Google Scholar] [CrossRef]
- Fischer, K.L.; Freund, H. On the optimal design of load flexible fixed bed reactors: Integration of dynamics into the design problem. Chem. Eng. J. 2020, 393, 124722. [Google Scholar] [CrossRef]
- Kiewidt, L.; Thöming, J. Predicting optimal temperature profiles in single-stage fixed-bed reactors for CO2-methanation. Chem. Eng. Sci. 2015, 132, 59–71. [Google Scholar] [CrossRef]
- El Sibai, A.; Struckmann, L.K.R.; Sundmacher, K. Model-based Optimal Sabatier Reactor Design for Power-to-Gas Applications. Energy Technol. 2017, 5, 911–921. [Google Scholar] [CrossRef]
- Gruber, M.; Wieland, C.; Habisreuther, P.; Trimis, D.; Schollenberger, D.; Bajohr, S.; Vonmorstein, O.; Schirrmeister, S. Modeling and Design of a Catalytic Wall Reactor for the Methanation of Carbon Dioxide. Chem. Ing. Tech. 2018, 90, 615–624. [Google Scholar] [CrossRef]
- Giglio, E.; Deorsola, F.A.; Gruber, M.; Harth, S.R.; Morosanu, E.A.; Trimis, D.; Bensaid, S.; Pirone, R. Power-to-Gas through High Temperature Electrolysis and Carbon Dioxide Methanation: Reactor Design and Process Modeling. Ind. Eng. Chem. Res. 2018, 57, 4007–4018. [Google Scholar] [CrossRef]
- Uebbing, J.; Rihko-Struckmann, L.K.; Sundmacher, K. Exergetic assessment of CO2 methanation processes for the chemical storage of renewable energies. Appl. Energy 2018, 233-234, 271–282. [Google Scholar] [CrossRef]
- Moioli, E.; Züttel, A. A model-based comparison of Ru and Ni catalysts for the Sabatier reaction. Sustain. Energy Fuels 2019, 4, 1396–1408. [Google Scholar] [CrossRef]
- Scharl, V.; Fischer, F.; Herrmann, S.; Fendt, S.; Spliethoff, H. Applying Reaction Kinetics to Pseudohomogeneous Methanation Modeling in Fixed-Bed Reactors. Chem. Eng. Technol. 2020, 43, 1224–1233. [Google Scholar] [CrossRef] [Green Version]
- Theurich, S.; Rönsch, S.; Güttel, R. Transient Flow Rate Ramps for Methanation of Carbon Dioxide in an Adiabatic Fixed-Bed Recycle Reactor. Energy Technol. 2019, 8. [Google Scholar] [CrossRef]
- Gruber, M.; Wiedmann, D.; Haas, M.; Harth, S.; Loukou, A.; Trimis, D. Insights into the catalytic CO2 methanation of a boiling water cooled fixed-bed reactor: Simulation-based analysis. Chem. Eng. J. 2020, 406, 126788. [Google Scholar] [CrossRef]
- Schlereth, D.; Hinrichsen, O. A fixed-bed reactor modeling study on the methanation of CO2. Chem. Eng. Res. Des. 2014, 92, 702–712. [Google Scholar] [CrossRef]
- Try, R.; Bengaouer, A.; Baurens, P.; Jallut, C. Dynamic modeling and simulations of the behavior of a fixed-bed reactor-exchanger used for CO2 methanation. AIChE J. 2017, 64, 468–480. [Google Scholar] [CrossRef]
- Engelbrecht, N.; Chiuta, S.; Everson, R.C.; Neomagus, H.; Bessarabov, D. Experimentation and CFD modelling of a microchannel reactor for carbon dioxide methanation. Chem. Eng. J. 2017, 313, 847–857. [Google Scholar] [CrossRef]
- Ducamp, J.; Bengaouer, A.; Baurens, P. Modelling and experimental validation of a CO2 methanation annular cooled fixed-bed reactor exchanger. Can. J. Chem. Eng. 2016, 95, 241–252. [Google Scholar] [CrossRef]
- Kreitz, B.; Wehinger, G.; Turek, T. Dynamic simulation of the CO2 methanation in a micro-structured fixed-bed reactor. Chem. Eng. Sci. 2018, 195, 541–552. [Google Scholar] [CrossRef]
- Fache, A.; Marias, F. Dynamic operation of fixed-bed methanation reactors: Yield control by catalyst dilution profile and magnetic induction. Renew. Energy 2019, 151, 865–886. [Google Scholar] [CrossRef]
- Fache, A.; Marias, F.; Chaudret, B. Catalytic reactors for highly exothermic reactions: Steady-state stability enhancement by magnetic induction. Chem. Eng. J. 2020, 390, 124531. [Google Scholar] [CrossRef]
- Ngo, S.I.; Lim, Y.-I.; Lee, D.; Go, K.S.; Seo, M.W. Flow behaviors, reaction kinetics, and optimal design of fixed- and fluidized-beds for CO2 methanation. Fuel 2020, 275, 117886. [Google Scholar] [CrossRef]
- Zimmermann, R.T.; Bremer, J.; Sundmacher, K. Optimal catalyst particle design for flexible fixed-bed CO2 methanation reactors. Chem. Eng. J. 2019, 387, 123704. [Google Scholar] [CrossRef]
- Shen, W.; Zhang, Y.; Zhao, L.; Ye, Y.; Tursun, Y. Micro-scale simulation and intensification of complex Sabatier reaction system in cylindrical catalyst bed. Fuel 2020, 287, 119399. [Google Scholar] [CrossRef]
- Gil-Carrera, L.; Browne, J.D.; Kilgallon, I.; Murphy, J.D. Feasibility study of an off-grid biomethane mobile solution for agri-waste. Appl. Energy 2019, 239, 471–481. [Google Scholar] [CrossRef]
- Thulukkanam, K. Heat Exchanger Design Handbook, 2nd ed.; CRC Press: Boca Raton, FL, USA, 2013. [Google Scholar]
- Li, H.; Kottke, V. Analysis of local shellside heat and mass transfer in the shell-and-tube heat exchanger with disc-and-doughnut baffles. Int. J. Heat Mass Transf. 1999, 42, 3509–3521. [Google Scholar] [CrossRef]
- TEMA. Standards of the Tubular Exchanger Manufacturers Association, 9th ed.; TEMA: Tarrytown, NY, USA, 2007. [Google Scholar]
- Guilera, J.; Andreu, T.; Basset, N.; Boeltken, T.; Timm, F.; Mallol, I.; Morante, J.R. Synthetic natural gas production from biogas in a waste water treatment plant. Renew. Energy 2019, 146, 1301–1308. [Google Scholar] [CrossRef]
- Jürgensen, L.; Ehimen, E.A.; Born, J.; Holm-Nielsen, J.B. Dynamic biogas upgrading based on the Sabatier process: Thermodynamic and dynamic process simulation. Bioresour. Technol. 2015, 178, 323–329. [Google Scholar] [CrossRef] [PubMed]
- Koschany, F.; Schlereth, D.; Hinrichsen, O. On the kinetics of the methanation of carbon dioxide on coprecipitated NiAl(O). Appl. Catal. B Environ. 2016, 181, 504–516. [Google Scholar] [CrossRef]
- VDI Heat Atlas, 2nd ed.; Springer: Berlin/Heidelberg, Germany, 2010; Available online: https://www.springer.com/gp/book/9783540778769 (accessed on 14 October 2020).
- Gruber, M.; Weinbrecht, P.; Biffar, L.; Harth, S.; Trimis, D.; Brabandt, J.; Posdziech, O.; Blumentritt, R. Power-to-Gas through thermal integration of high-temperature steam electrolysis and carbon dioxide methanation-Experimental results. Fuel Process. Technol. 2018, 181, 61–74. [Google Scholar] [CrossRef]
- Dixon, A.G.; Partopour, B. Computational Fluid Dynamics for Fixed Bed Reactor Design. Annu. Rev. Chem. Biomol. Eng. 2020, 11, 109–130. [Google Scholar] [CrossRef] [PubMed] [Green Version]
- ANSYS Inc. ANSYS Fluent Theory Guide, 15th ed.; ANSYS, Inc.: Canonsburg, PA, USA, 2013. [Google Scholar]
- Fogler, H.S. Elements of chemical reaction engineering. Chem. Eng. Sci. 1987, 42, 2493. [Google Scholar] [CrossRef]
- Wehinger, G.D. Radiation Matters in Fixed-Bed CFD Simulations. Chem. Ing. Tech. 2019, 91, 583–591. [Google Scholar] [CrossRef]
- ANSYS Inc. ANSYS Fluent User’s Guide, 15th ed.; ANSYS Inc.: Canonsburg, PA, USA, 2013. [Google Scholar]
- Wang, X.; Liang, Y.; Sun, Y.; Liu, Z.; Liu, W. Experimental and numerical investigation on shell-side performance of a double shell-pass rod baffle heat exchanger. Int. J. Heat Mass Transf. 2018, 132, 631–642. [Google Scholar] [CrossRef]
- Ziółkowska, I.; Ziółkowski, D. Fluid flow inside packed beds. Chem. Eng. Process. Process. Intensif. 1988, 23, 137–164. [Google Scholar] [CrossRef]
- Therminol VP-1 Heat Transfer Fluid, Therminol VP-1 Heat Transfer Fluid. Available online: https://www.therminol.com/product/71093459 (accessed on 25 April 2021).
- Dynalene Inc. Dynalene Molten Salts. Available online: https://www.dynalene.com/product-category/heat-transfer-fluids/dynalene-molten-salts/ (accessed on 25 April 2021).
- Kreith, F.; Bohn, M.; Kirkpatrick, A. Principles of Heat Transfer. J. Sol. Energy Eng. 1997, 119, 187. [Google Scholar] [CrossRef]
















| Parameter | Unit | Value |
|---|---|---|
| Shell and tube dimensions | ||
| Shell inside diameter | mm | 345 |
| Tube outside diameter | mm | 25 |
| Tube length | mm | 975 |
| Number of tubes | - | 20 |
| Tube pitch | mm | 40 |
| Number of baffles | - | 13 |
| Baffle spacing | mm | 70 |
| Operational parameters | ||
| Reaction pressure | bar | 10 |
| Inlet temperature | K | 523 |
| Cooling temperature | K | 523 |
| GHSV | h−1 | 3200 |
| Limit op. temperature | K | 650 |
| Gas flow per tube | Nm3/hr | 1.5 |
| Feed gas composition | ||
| CH4 inlet mole fraction | mol/mol | 0.28 |
| CO2 inlet mole fraction | mol/mol | 0.146 |
| H2 inlet mole fraction | mol/mol | 0.55 |
| H2O inlet mole fraction | mol/mol | 0.015 |
| O2 inlet mole fraction | mol/mol | 0.004 |
| Reactive flow (tubes): |
| Gas phase continuity: |
| Gas phase momentum: |
| Gas-solid momentum exchange: |
| Gas phase Energy: |
| Species: , |
| Diffusive mass flux: , |
| Gas phase equation of state: |
| Reynolds number based on the particle diameter: |
| Coolant flow (shell-side): |
| Fluid phase continuity: |
| Fluid phase momentum: |
| Fluid phase energy: |
| Baffles & tube walls: |
| Solid phase energy: |
| Mesh Count | Tube Average Outlet Temperature (K) | Tube Average CO2 Outlet (mol Fraction) |
|---|---|---|
| 4.2 × 106 | 251.768 | 0.01430 |
| 4.7 × 106 | 251.764 | 0.01428 |
| 5.1 × 106 | 251.759 | 0.01425 |
| 6.8 × 106 | 251.748 | 0.01419 |
| Coolant Flow and Type | Max Temperature (K) | Tube Average Temperature (K) | Coolant Average Temperature (K) | CO2 Conversion (%) | Shell-Side Pressure Drop (Pa) | Average Heat Transfer Coefficient (W/m2 K) | Specific Pumping Power (kW/kg mol CH4) |
|---|---|---|---|---|---|---|---|
| Molten salt Thermal oil (1 m3/h) | 890.9 896.3 | 590.9 616.1 | 528.3 541.2 | 93.0 94.0 | 29 12 | 104 57 | 56 23 |
| Molten salt Thermal oil (3.5 m3/h) | 885.6 885.2 | 566.7 571.5 | 525.5 526.9 | 91.2 91.7 | 491 218 | 235 184 | 3310 660 |
| Molten salt Thermal oil (7 m3/h) | 880.8 880.7 | 561.5 563.4 | 524.3 525.1 | 90.2 90.6 | 1954 871 | 413 338 | 26,880 5360 |
| Molten salt Thermal oil (14 m3/h) | 880.1 879.5 | 558.3 558.9 | 523.7 524.1 | 89.4 89.4 | 7750 3480 | 760 645 | 215,500 43,250 |
| Species (Inert Species Neglected) | SNG Target Composition % [52] | Outlet Comp. after H2O Cond. % | Mass Fraction at Outlet |
|---|---|---|---|
| CH4 | ≥95 | 89 | 0.54 |
| CO2 | ≤2.5 | 2 | 0.036 |
| H2 | ≤5 | 9 | 0.007 |
| H2O | ≈0 | ≈0 | 0.418 |
| Species (Inert Species Neglected) | SNG Target Composition % [52] | Outlet Comp. after H2O Cond. % | Mass Fraction at Outlet |
|---|---|---|---|
| CH4 | ≥95 | 97.8 | 0.9475 |
| CO2 | ≤2.5 | 0.42 | 0.0044 |
| H2 | ≤5 | 1.68 | 0.0008 |
| H2O | ≈0 | ≈0 | 0.0472 |
Publisher’s Note: MDPI stays neutral with regard to jurisdictional claims in published maps and institutional affiliations. |
© 2021 by the authors. Licensee MDPI, Basel, Switzerland. This article is an open access article distributed under the terms and conditions of the Creative Commons Attribution (CC BY) license (https://creativecommons.org/licenses/by/4.0/).
Share and Cite
Soto, V.; Ulloa, C.; Garcia, X. A CFD Design Approach for Industrial Size Tubular Reactors for SNG Production from Biogas (CO2 Methanation). Energies 2021, 14, 6175. https://doi.org/10.3390/en14196175
Soto V, Ulloa C, Garcia X. A CFD Design Approach for Industrial Size Tubular Reactors for SNG Production from Biogas (CO2 Methanation). Energies. 2021; 14(19):6175. https://doi.org/10.3390/en14196175
Chicago/Turabian StyleSoto, Victor, Claudia Ulloa, and Ximena Garcia. 2021. "A CFD Design Approach for Industrial Size Tubular Reactors for SNG Production from Biogas (CO2 Methanation)" Energies 14, no. 19: 6175. https://doi.org/10.3390/en14196175
APA StyleSoto, V., Ulloa, C., & Garcia, X. (2021). A CFD Design Approach for Industrial Size Tubular Reactors for SNG Production from Biogas (CO2 Methanation). Energies, 14(19), 6175. https://doi.org/10.3390/en14196175

