Study on Deliverability Evaluation of Staged Fractured Horizontal Wells in Tight Oil Reservoirs
Abstract
:1. Introduction
2. Materials and Methods
2.1. Physical Model and Assumptions
2.1.1. Non-Uniform Fracture Network Structure Model
2.1.2. Seepage Physical Model and Condition Assumptions for Fractured Horizontal Well
2.2. Establishment of the Mathematical Model
2.2.1. Characterization of Porosity and Permeability of the Heterogeneous Fracture Network
2.2.2. Definition of Dimensionless Parameters
2.2.3. Establishment of the Dimensionless Seepage Mathematical Model
3. Results
3.1. Solution of the Mathematical Model
3.1.1. Solution of the Seepage Mathematical Model for Region III
3.1.2. Solution of the Seepage Mathematical Model for Region II
3.1.3. Solution of the Seepage Mathematical Model for Region I
3.1.4. Solution of the Production of a Single Primary Fracture for Horizontal Wells
3.1.5. Solution of the Production of Staged Multi-Cluster Fractured Horizontal Wells with Non-Uniformly Distributed Fractures
3.2. Description of Symbols
4. Discussion
4.1. Validation of the Productivity Model
4.1.1. Verification of the Analytical Solution
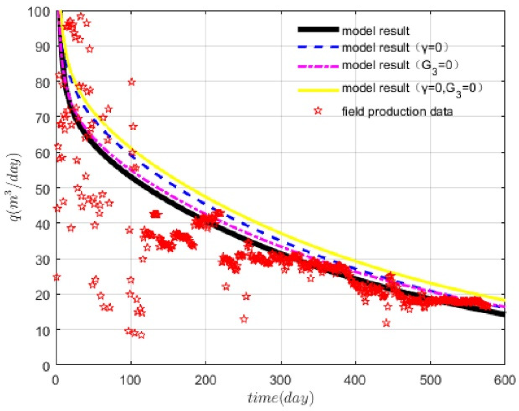
4.1.2. An Example in an Oil Field
4.2. Analysis of Factors Affecting Productivity of Fractured Horizontal Wells
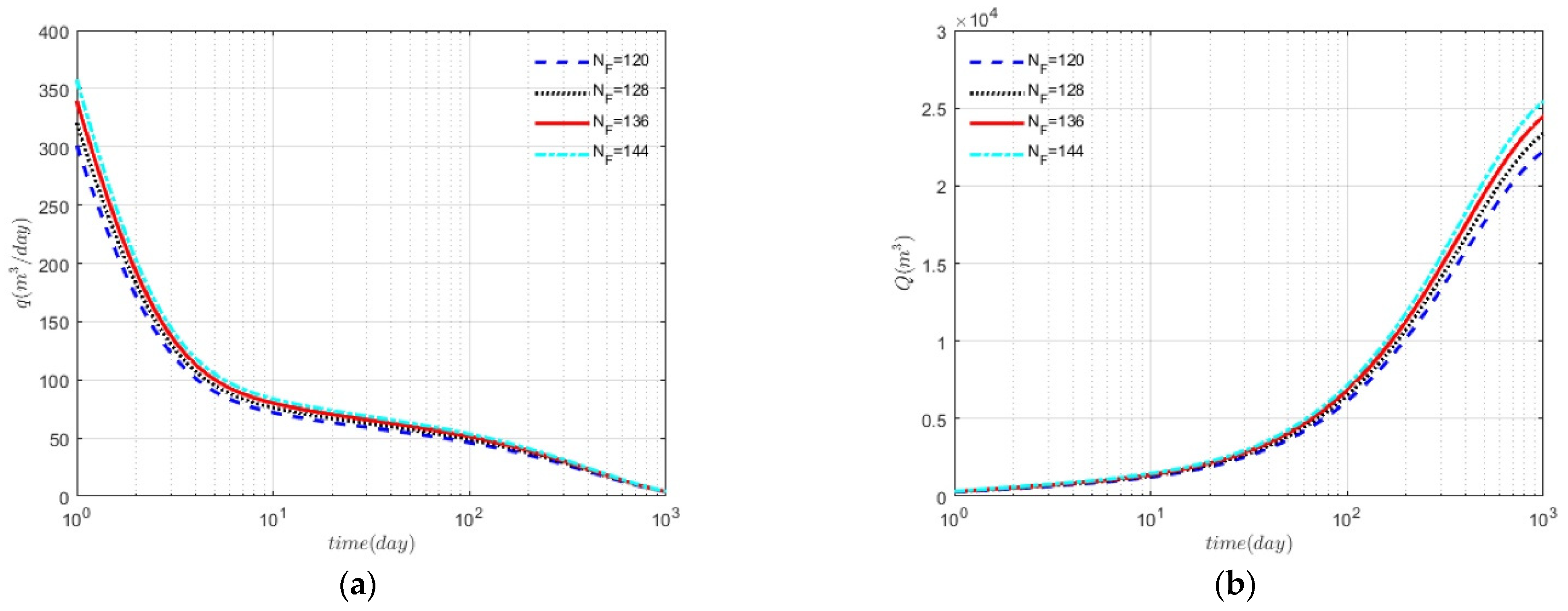
4.2.1. The Effect of Fracture Number on Productivity
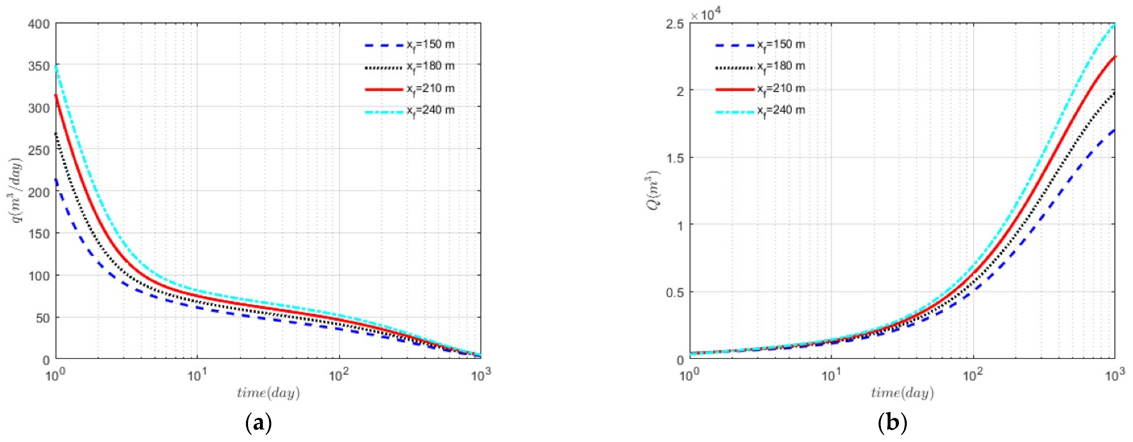
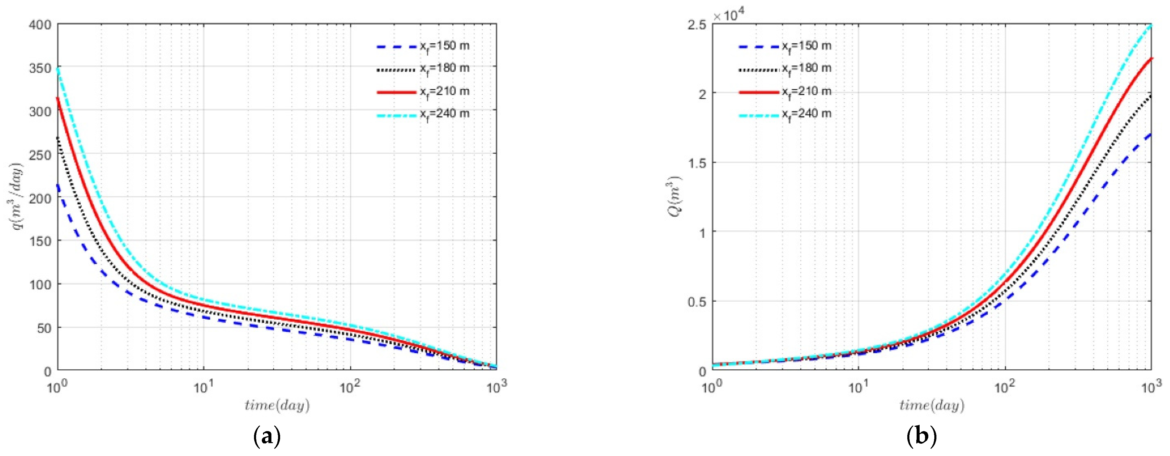
4.2.2. The Effect of Fracture Half-Length on Productivity
4.2.3. The Effect of Matrix Permeability on Productivity
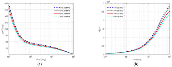
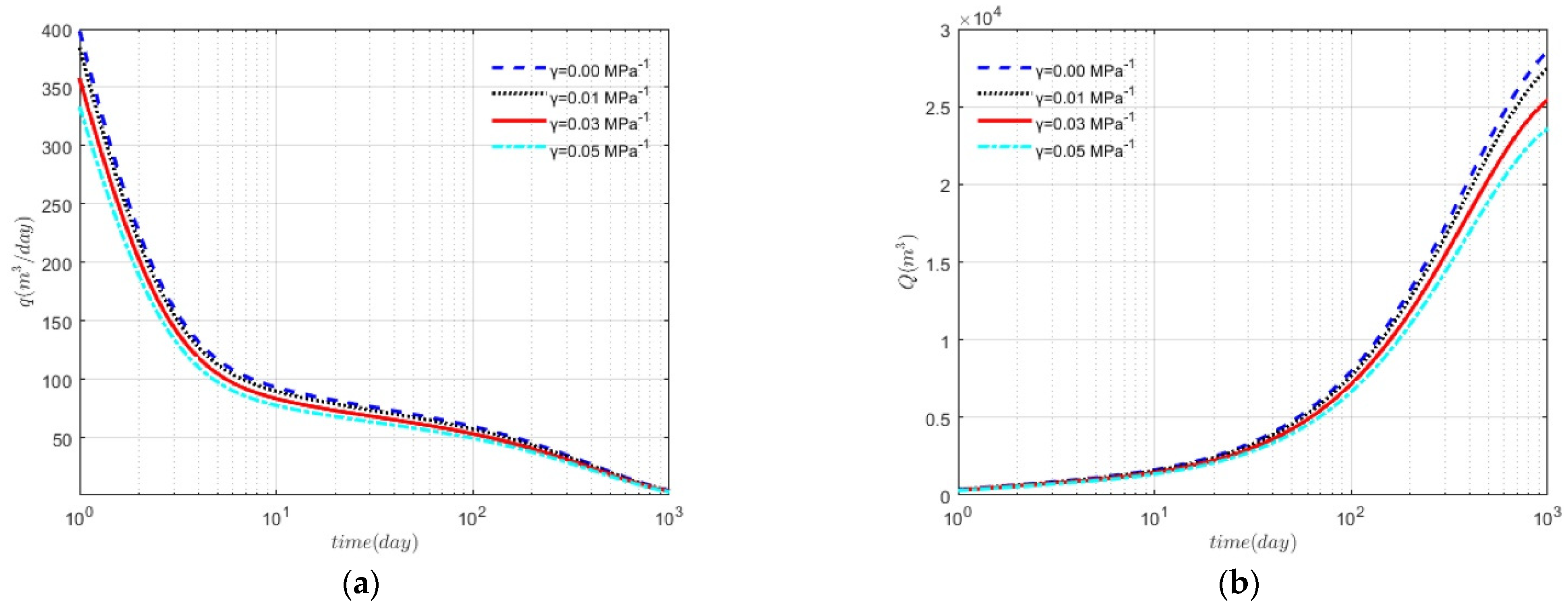
4.2.4. The Effect of the Stress Sensitivity Coefficient on Productivity
4.2.5. The Effect of Threshold Pressure Gradient on Productivity
4.2.6. The Effect of the Fractal Dimension on Productivity
5. Conclusions
- (1)
- The non-uniform distribution fracture network structure along the horizontal wellbore is proposed in this paper. Combining fractal theory with stress sensitivity to characterize the permeability and porosity, a new three-zone composite unsteady deliverability evaluation model for staged multi-cluster fractured horizontal wells is established.
- (2)
- The number of fractures, fracture half-length, and matrix permeability can affect the productivity of horizontal wells to a certain extent. The oil production rises with the increase in fracture number, fracture half-length, and matrix permeability, but the growth rate of productivity decreases at the same time.
- (3)
- The stress sensitivity coefficient, threshold pressure gradient, and fractal dimension have obvious effects on the productivity of horizontal wells. The smaller the stress sensitivity coefficient and threshold pressure gradient, the greater the oil production. A larger fractal dimension leads to greater productivity of horizontal wells.
- (4)
- The deliverability evaluation method for staged fractured horizontal wells in tight reservoirs based on the non-uniform fracture network structure can effectively predict the actual production of oil wells. Additionally, it can provide a theoretical basis for the optimization of fracturing parameters of horizontal wells and the formulation of technical policies for rational development of tight reservoirs, which has great significance for realizing the effective development of tight reservoirs.
Author Contributions
Funding
Data Availability Statement
Acknowledgments
Conflicts of Interest
References
- Yang, Z.; Chen, Q.; Li, G. A method to predict productivity of multi-stage multi-cluster fractured horizontal wells in tight oil reservoirs. Spec. Oil Gas. Reserv. 2017, 24, 73–77. (In Chinese) [Google Scholar] [CrossRef]
- Liu, L.; Ran, Q.; Wang, X.; Li, R. Method of optimizing the spacing between volumetric fracturing stages in horizontal wells in tight reservoir. Oil Drill. Prod. Technol. 2015, 37, 84–87. (In Chinese) [Google Scholar] [CrossRef]
- Wu, Q.; Xu, Y.; Wang, X.; Wang, T.; Zhang, S. Volume fracturing technology of unconventional reservoirs: Connotation, design optimization and implementation. Pet. Explor. Dev. 2012, 39, 377–384. [Google Scholar] [CrossRef]
- Xu, Y.; Lei, Q.; Chen, M.; Wu, Q.; Yang, N.; Weng, D.; Li, D.; Jiang, H. Progress and development of volume stimulation techniques. Pet. Explor. Dev. 2018, 45, 932–947. [Google Scholar] [CrossRef]
- Wang, X.; Zhang, S.; Wu, Q.; Liu, Y.; Lei, Q.; Ding, Y. Factors affecting the productivity of multi-section fractures in subsection fracturing of horizontal wells. Oil Drill. Prod. Technol. 2009, 31, 73–76. (In Chinese) [Google Scholar] [CrossRef]
- Wang, J.; Xu, J.; Wang, Y.; Li, H.; Liu, T.; Wen, X. Productivity of hydraulically-fractured horizontal wells in tight oil reservoirs using a linear composite method. J. Pet. Sci. Eng. 2018, 164, 450–458. [Google Scholar] [CrossRef]
- He, X. Numerical simulation and fracture parameter optimization for the horizontal well fracturing in tight oil reservoirs. Pet. Geol. Oilfield Dev. Daqing 2018, 37, 158–162. (In Chinese) [Google Scholar] [CrossRef]
- Ren, L.; Su, Y.; Zhan, S.; Meng, F.; Zhao, G. Fully coupled fluid-solid numerical simulation of stimulated reservoir volume (SRV)-fractured horizontal well with multi-porosity media in tight oil reservoirs. J. Pet. Sci. Eng. 2019, 174, 757–775. [Google Scholar] [CrossRef]
- Huang, S.; Ding, G.; Xue, Y.; Wu, Y.; Liu, H.; Zhang, X. Unsteady deliverability evaluation method of fractured horizontal wells in tight oil reservoirs. China Sci. 2017, 12, 1006–1010. (In Chinese) [Google Scholar]
- Zhang, J.; Mu, L.; Jin, J.; Li, X. A computational method of productivity forecast of a multi-angle fractured horizontal well using the discrete fracture model. AIP Adv. 2018, 8, 075201. [Google Scholar] [CrossRef]
- Ren, Z.; Yan, R.; Huang, X.; Liu, W.; Yuan, S.; Xu, J.; Jiang, H.; Zhang, J.; Yan, R.; Qu, Z. The transient pressure behavior model of multiple horizontal wells with complex fracture networks in tight oil reservoir. J. Pet. Sci. Eng. 2019, 173, 650–665. [Google Scholar] [CrossRef]
- Liu, W.; Zhang, X.; Zhang, X.; He, B.; Gu, M. A practical method to predict productivity of multistage fractured horizontal well in tight oil reservoirs. Xingjiang Pet. Geol. 2019, 40, 731–735. (In Chinese) [Google Scholar] [CrossRef]
- Xu, J.; Ding, Y.; Yang, L.; Gao, R.; Liu, Z.; Wang, Z. Complex fracture network characterization and productivity analysis of multistage fractured horizontal well in tight oil reservoirs. Pet. Geol. Recovery Effic. 2019, 26, 132–138. (In Chinese) [Google Scholar] [CrossRef]
- Zhang, L.; Liu, S.; Yong, R.; Li, B.; Zhao, Y. EDFM-based numerical simulation of horizontal wells with multi-stage hydraulic fracturing in tight reservoirs. J. Southwest Pet. Univ. (Sci. Technol. Ed.) 2019, 41, 1–11. (In Chinese) [Google Scholar] [CrossRef]
- Li, L.; Yao, J.; Li, Y.; Wu, M.; Zeng, Q.; Lu, R. Productivity calculation and distribution of staged multi-cluster fractured horizontal wells. Pet. Explor. Dev. 2014, 41, 457–461. [Google Scholar] [CrossRef]
- Hu, J.; Zhang, C.; Rui, Z.; Yu, Y.; Chen, Z. Fractured horizontal well productivity prediction in tight oil reservoirs. J. Pet. Sci. Eng. 2017, 151, 159–168. [Google Scholar] [CrossRef]
- Brown, M.L.; Ozkan, E.; Raghavan, R.; Kazemi, H. Practical Solutions for Pressure-Transient Responses of Fractured Horizontal Wells in Unconventional Shale Reservoirs. SPE Reserv. Eval. Eng. 2011, 14, 663–676. [Google Scholar] [CrossRef]
- Ji, J.; Yao, Y.; Huang, S.; Ma, X.; Zhang, S.; Zhang, F. Analytical model for production performance analysis of multi-fractured horizontal well in tight oil reservoirs. J. Pet. Sci. Eng. 2017, 158, 380–397. [Google Scholar] [CrossRef]
- Fang, W.; Jiang, H.; Li, J.; Wang, Q.; Killough, J.; Li, L.; Peng, Y.; Yang, H. A numerical simulation model for multi-scale flow in tight oil reservoirs. Pet. Explor. Dev. 2017, 44, 446–453. [Google Scholar] [CrossRef]
- Sun, R.; Hu, J.; Zhang, Y.; Li, Z. A semi-analytical model for investigating the productivity of fractured horizontal wells in tight oil reservoirs with micro-fractures. J. Pet. Sci. Eng. 2020, 186, 106781. [Google Scholar] [CrossRef]
- Jiang, R.; Zhang, C.; Cui, Y.; Zhang, W.; Zhang, F.; Shen, Z. Nonlinear flow model of dual-medium fractal reservoir considering pressure sensitivity. Fault-Block Oil Gas. Field 2018, 25, 612–616. (In Chinese) [Google Scholar] [CrossRef]
- Li, X.; Liu, S.; Chen, Q.; Su, Y.; Sheng, G. An Evaluation of the Stimulation Effect of Horizontal Well Volumetric Fracturing in Tight Reservoirs with Complex Fracture Networks. Pet. Drill. Tech. 2019, 47, 73–82. (In Chinese) [Google Scholar] [CrossRef]
- Xie, B.; Jiang, J.; Jia, J.; Ren, G.; Huang, B.; Huang, X. Partition seepage model and productivity analysis of fractured horizontal wells in tight reservoirs. Fault-Block Oil Gas. Field 2019, 26, 324–328. (In Chinese) [Google Scholar] [CrossRef]
- Sheng, G.; Su, Y.; Wang, W.; Javadpour, F.; Tang, M. Application of Fractal Geometry in Evaluation of Effective Stimulated Reservoir Volume in Shale Gas Reservoirs. Fractals 2017, 25, 1740007. [Google Scholar] [CrossRef] [Green Version]
- Cao, J.; Song, C. Calculation and improvement of the fractal dimension. Inf. Technol. Informatiz. 2017, 10, 19–23. (In Chinese) [Google Scholar] [CrossRef]
- Pedrosa, O.A. Pressure transient response in stress-sensitive formations. In Proceedings of the 56th California Regional Meeting of the Society of Petroleum Engineers, Oakland, CA, USA, 2–4 April 1986. [Google Scholar]
- Stehfest, H. Algorithm 368: Numerical inversion of Laplace transforms [D5]. Commun. ACM 1970, 13, 47–49. [Google Scholar] [CrossRef]
- Lei, Q.; Weng, D.; Guan, B.; Mu, L.; Xu, Y.; Wang, Z.; Guo, Y.; Li, S. A novel approach of stimulation based on fracture controlling optimization and design. Pet. Explor. Dev. 2020, 47, 1–8. [Google Scholar] [CrossRef]
- Meyer, B.R.; Bazan, L.W.; Jacot, R.H.; Lattibeaudiere, M.G. Optimization of multiple transverse hydraulic fractures in horizontal wellbores. In Proceedings of the SPE Unconventional Gas Conference, Pittsburgh, PA, USA, 23–25 February 2010. [Google Scholar] [CrossRef]
- Van Everdingen, A.; Hurst, W. The Application of the Laplace Transformation to Flow Problems in Reservoirs. J. Pet. Technol. 1949, 1, 305–324. [Google Scholar] [CrossRef]











| Parameters | Value | Parameters | Value |
|---|---|---|---|
| Initial formation pressure, | 15 | Oil viscosity, | 1.27 |
| Bottom hole pressure, | 8 | Permeability of HF, | 12 |
| Shape factor, | Permeability of fracture network, | 45 | |
| HF width, | 1 | Permeability of matrix, | 0.13 |
| Reservoir half width, | 300 | Formation thickness, | 8 |
| Porosity of matrix system, | 9.87 | Oil volume factor, | 1.261 |
| Porosity of fracture system, | 12 | HF number, | 1 |
| Width of region II, | 7.5 | HF half length, | 250 |
| Parameters | Value | Parameters | Value |
|---|---|---|---|
| Initial formation pressure, | 15.8 | Oil viscosity, | 1.27 |
| Bottom hole pressure, | 8.5 | Permeability of HF, | 12 |
| Shape factor, | Permeability of fracture network, | 45 | |
| HF width, | 1 | Permeability of matrix, | 0.13 |
| Reservoir half width, | 300 | Formation thickness, | 8 |
| Porosity of matrix system, | 9.87 | Oil volume factor, | 1.261 |
| Porosity of fracture system, | 12 | Fractal dimension, | 1.7 |
| Horizontal well length, | 1850.5 | Anomalous diffusion coefficient, | 0.1 |
| Stress sensitivity coefficient, | 3 | Threshold pressure gradient, | 6.67 |
| Fracturing Section Sequence | Cluster Number | Distance between Section | Distance between Cluster | HF Half-Length |
|---|---|---|---|---|
| 1 | 4 | 0 | 9,8,5 | 250 |
| 2 | 5 | 72.4 | 7,6.4,7.4,7.4 | 250 |
| 3 | 6 | 54.8 | 7.8,8,6.8,9,13.4 | 250 |
| 4 | 4 | 32 | 6.8,8,8.8 | 250 |
| 5 | 3 | 24 | 8,6 | 250 |
| 6 | 4 | 31.4 | 6.4,10.8,11 | 250 |
| 7 | 4 | 27.4 | 8.4,5.8,17 | 250 |
| 8 | 5 | 22.4 | 12,5.4,6.4,9.4 | 250 |
| 9 | 4 | 24.8 | 6.4,4.4,11.4 | 250 |
| 10 | 4 | 19.4 | 7.4,7.4,5.4 | 250 |
| 11 | 3 | 19 | 6,7 | 250 |
| 12 | 4 | 21 | 6.4,5.8,7.4 | 250 |
| 13 | 6 | 25.4 | 5.8,6.4,8,11.4,9.4 | 250 |
| 14 | 6 | 62.4 | 6.4,8.8,14,7.4,6.4 | 250 |
| 15 | 5 | 51.4 | 5.4,7.4,6.4,9.4 | 250 |
| 16 | 4 | 21.4 | 3.8,5.4,6 | 250 |
| 17 | 6 | 41 | 4.8,9,6.4,7.4,8.8 | 250 |
| 18 | 5 | 35.4 | 6.4,8.4,5.4,11.4 | 250 |
| 19 | 4 | 21.4 | 7,9.4,5.4 | 250 |
| 20 | 4 | 20.8 | 6.4,5.4,5.4 | 250 |
| 21 | 5 | 21.4 | 7.4,6.4,5.4,5.4 | 250 |
| 22 | 6 | 44.4 | 7.4,4.4,5.8,14,7.4 | 250 |
| 23 | 3 | 25 | 6,6 | 250 |
| 24 | 6 | 25.4 | 9.4,5.4,6.8,6,5.4 | 250 |
| 25 | 4 | 49.4 | 3.8,5,5.4 | 250 |
| 26 | 5 | 20.4 | 5.4,6.4,7.4,5.4 | 250 |
| 27 | 4 | 24.4 | 4.4,5,4.4 | 250 |
| 28 | 4 | 18.8 | 5.4,3.8,5 | 250 |
| 29 | 4 | 22 | 5.4,8,4.8 | 250 |
| 30 | 4 | 18.8 | 5.4,4.4,4.4 | 250 |
| 31 | 4 | 19.4 | 10.8,4,7.4 | 250 |
| 32 | 4 | 28 | 6.4,6.4,4.8 | 250 |
| 33 | 4 | 19.4 | 5.4,5.4,5.4 | 250 |
Publisher’s Note: MDPI stays neutral with regard to jurisdictional claims in published maps and institutional affiliations. |
© 2021 by the authors. Licensee MDPI, Basel, Switzerland. This article is an open access article distributed under the terms and conditions of the Creative Commons Attribution (CC BY) license (https://creativecommons.org/licenses/by/4.0/).
Share and Cite
Liu, S.; Xiong, S.; Weng, D.; Song, P.; Chen, R.; He, Y.; Liu, X.; Chu, S. Study on Deliverability Evaluation of Staged Fractured Horizontal Wells in Tight Oil Reservoirs. Energies 2021, 14, 5857. https://doi.org/10.3390/en14185857
Liu S, Xiong S, Weng D, Song P, Chen R, He Y, Liu X, Chu S. Study on Deliverability Evaluation of Staged Fractured Horizontal Wells in Tight Oil Reservoirs. Energies. 2021; 14(18):5857. https://doi.org/10.3390/en14185857
Chicago/Turabian StyleLiu, Siyu, Shengchun Xiong, Dingwei Weng, Peng Song, Rou Chen, Ying He, Xuewei Liu, and Shasha Chu. 2021. "Study on Deliverability Evaluation of Staged Fractured Horizontal Wells in Tight Oil Reservoirs" Energies 14, no. 18: 5857. https://doi.org/10.3390/en14185857
APA StyleLiu, S., Xiong, S., Weng, D., Song, P., Chen, R., He, Y., Liu, X., & Chu, S. (2021). Study on Deliverability Evaluation of Staged Fractured Horizontal Wells in Tight Oil Reservoirs. Energies, 14(18), 5857. https://doi.org/10.3390/en14185857

