Effects of Bypass Flow Distribution on Cold Flow Characteristics of Integrated Afterburner
Abstract
:1. Introduction
2. Numerical Method
2.1. Geometric Model
2.2. Selection of the Turbulence Model
2.3. Grid Independence
3. Results and Analysis
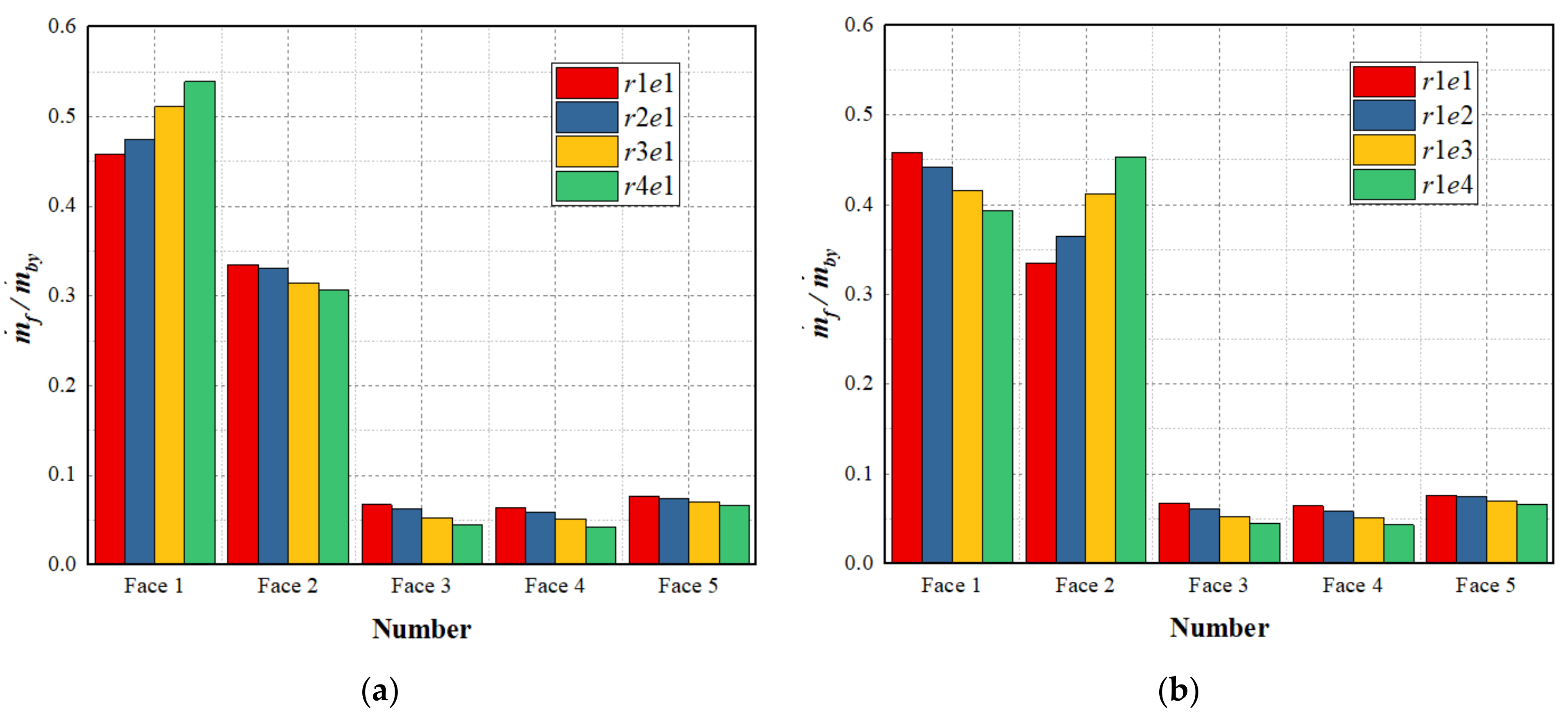
3.1. Flow Characteristics in Afterburner and Bypass Flow Distribution
3.2. Velocity Distribution of Heat Shield Inlet
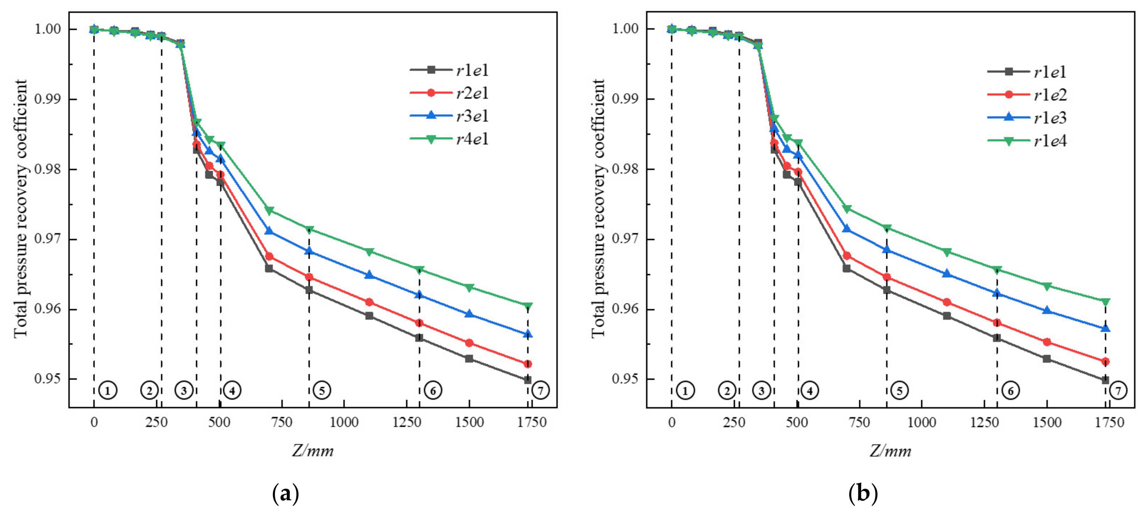
3.3. Total Pressure Recovery Coefficient
3.4. Thermal Mixing Efficiency
3.5. Cooling Characteristics of Components
4. Conclusions
- (1)
- In the range of parameters studied in this paper, most of the bypass flow flows into the heat shield channel or afterburner, while only a small part enters flameholders for cooling. The inlet velocity of the heat shield is not significantly affected by the heat shield inlet height r, but it becomes more uniform with the increase of the afterburner annulus height e.
- (2)
- The total pressure recovery coefficient varies at the trailing edge of the shunt ring and downstream of the flameholder with the increase of heat shield inlet height r and afterburner annulus height e, and its increasing rate at the outlet of the afterburner is 1.12% and 1.19%, respectively. Thermal mixing efficiency decreases by 5.4% at the outlet of the afterburner with the increase of heat shield inlet height r, and the increasing rate of it is about 2.9% for the afterburner annulus height e.
- (3)
- As the heat shield inlet height r and afterburner annulus height e increase, the average cooling efficiency of radial flameholder, circumferential flameholder, and fuel injector all have a tendency to decrease, and the decreasing rate is related to their locations, which determining the extent influenced by the bypass flow distribution. The cooling efficiency of the heat shield increases slightly caused by the uniformity of its inlet velocity and the action of its internal cooling flows.
Author Contributions
Funding
Conflicts of Interest
Nomenclature
| Total pressure of airflow at afterburner inlet (Pa) | |
| Total pressure of airflow at bypass inlet (Pa) | |
| Total pressure of airflow in the reference section (Pa) | |
| Taf | Temperature of airflow at afterburner inlet (K) |
| Tby | Temperature of airflow at bypass inlet (K) |
| Tmix | Temperature of airflow after complete mixing (K) |
| Tw | Average temperature of the components (K) |
| r | Radial height of heat shield inlet (mm) |
| e | Radial height of afterburner annulus (mm) |
| Mass flow rate of airflow at afterburner inlet (kg/s) | |
| Mass flow rate of airflow at bypass inlet (kg/s) | |
| Characteristic velocity coefficient | |
| Total pressure recovery coefficient | |
| Thermal mixing efficiency | |
| Average cooling efficiency of components |
References
- Koutmos, P.; McGuirk, J.J. Turbofan forced mixer/nozzle temperature and flow field modelling. Int. J. Heat Mass Transf. 1989, 32, 1141–1153. [Google Scholar] [CrossRef]
- Lefebvre, A.H.; Ballal, D.R. Gas Turbine Combustion: Alternative Fuels and Emissions. CRC Press: Boca Raton, FL, USA, 2010. [Google Scholar]
- Madabhushi, R.; Choi, D.; Barber, T. Unsteady simulations of turbulent flow behind a triangular bluff body. In Proceedings of the 33rd Joint Propulsion Conference and Exhibit, Seattle, WA, USA, 6–9 July 1997; p. 3182. [Google Scholar]
- Clements, T.R.; Graves, C.B. Augmentor burner. US5385015A, 31 January 1995. [Google Scholar]
- Lovett, J.; Brogan, T.; Philippona, D.; Kiel, B.; Thompson, T. Development needs for advanced afterburner designs. In Proceedings of the 40th AIAA/ASME/SAE/ASEE Joint Propulsion Conference and Exhibit, Fort Lauderdale, FL, USA, 11–14 July 2004; p. 4192. [Google Scholar]
- Raffoul, C.; Nejad, A.; Spring, S. Entrainment and mixing characteristics of bluff body flameholders-An experimental and numerical study. In Proceedings of the AIAA, 32nd Aerospace Sciences Meeting and Exhibit, Reno, NV, USA, 10–13 January 1994. [Google Scholar]
- Ebrahimi, H. Overview of gas turbine augmentor design, operation, and combustion oscillation. In Proceedings of the 42nd AIAA/ASME/SAE/ASEE Joint Propulsion Conference & Exhibit, Sacramento, CA, USA, 9–12 July 2006; p. 4916. [Google Scholar]
- Shahnam, M.; Wu, P.-K.; Kirkendall, K.; Nejad, A. Combustion instability of a diffusion flame using an integrated fuel injector/flameholder device. In Proceedings of the 36th AIAA Aerospace Sciences Meeting and Exhibit, Reno, NV, USA, 12–15 January 1998; p. 639. [Google Scholar]
- Zhang, D.; Song, W.J.A.A. Experimental study of cone-struts and cavity flameholders in a kerosene-fueled round scramjet combustor. Acta Astronaut. 2017, 139, 24–33. [Google Scholar] [CrossRef]
- Huang, Y.; He, X.; Jin, Y.; Zhu, H.; Zhu, Z.J.E. Effect of non-uniform inlet profile on the combustion performance of an afterburner with bluff body. Energy 2020, 216, 119142. [Google Scholar] [CrossRef]
- Safdar, M.M.; Masud, J.; Ullah, A. Numerical Analysis of Afterburner Characteristics of a Low Bypass Ratio Turbofan Engine at Various Flight Conditions. In Proceedings of the AIAA Scitech 2020 Forum, Orlando, FL, USA, 6–10 January 2020; p. 2248. [Google Scholar]
- Safdar, M.M.; Masud, J.; Mufti, B.; Naseer, H.U.; Farooq, A.; Ullah, A. Numerical Modeling and Analysis of Afterburner Combustion of a Low Bypass Ratio Turbofan Engine. In Proceedings of the AIAA Scitech 2020 Forum, Orlando, FL, USA, 6–10 January 2020; p. 0628. [Google Scholar]
- Li, F.; Bingbing, Z.; Xiong, L.; Liming, H.; Jun, D.; Jianping, L.; Zichen, Z.; Zhiyu, Z.J.P.S. Application study on plasma ignition in aeroengine strut–cavity–injector integrated afterburner. Technology 2021, 23, 105504. [Google Scholar]
- Agarwal, K.K.; Krishna, S.; Ravikrishna, R.V. Mixing Enhancement in a Compact Trapped Vortex Combustor. Combust. Sci. Technol. 2013, 185, 363–378. [Google Scholar] [CrossRef]
- Jiang, B.; Jin, Y.; Liu, D.; Wu, Z.; Ding, G.; Zhu, Z.; He, X.J.E.T.; Science, F. Effects of multi-orifice configurations of the quench plate on mixing characteristics of the quench zone in an RQL-TVC model. Exp. Therm. Fluid Sci. 2017, 83, 57–68. [Google Scholar] [CrossRef]
- Zhang, R.; Fan, W.; Shi, Q.; Tan, W.J.A.S. Structural design and performance experiment of a single vortex combustor with single-cavity and air blast atomisers. Aerosp. Sci. Technol. 2014, 39, 95–108. [Google Scholar] [CrossRef]
- Hsu, K.-Y.; Goss, L.P.; Roquemore, W.M. Characteristics of a Trapped-Vortex Combustor. J. Propuls. Power 1998, 14, 57–65. [Google Scholar] [CrossRef]
- Zhang, R.; Bai, N.; Fan, W.; Yan, W.; Hao, F.; Yin, C.J.E. Flow field and combustion characteristics of integrated combustion mode using cavity with low flow resistance for gas turbine engines. Energy 2018, 165, 979–996. [Google Scholar] [CrossRef]
- Li, M.; He, X.; Zhao, Y.; Jin, Y.; Ge, Z.; Sun, Y.J.A.E. Dome structure effects on combustion performance of a trapped vortex combustor. Appl. Energy 2017, 208, 72–82. [Google Scholar] [CrossRef]
- Abreau, M. Gas-Cooled Flameholder Assembly. U.S. Patent 5,076,062, 31 December 1991. [Google Scholar]
- Woltmann, I.E.; Mayer, J.C.; Manteiga, J.A. Gas Turbine Engine Ignition Flameholder with Internal Impingement Cooling. U.S. Patent 5,396,761, 14 March 1995. [Google Scholar]
- Lubarsky, E.; Cross, C.; Cutright, J.; Zinn, B.; Knaus, D.; Magari, P. Novel carbureted flameholder for improved afterburner stability. In Proceedings of the 46th AIAA Aerospace Sciences Meeting and Exhibit, Reno, NV, USA, 7–10 January 2008; p. 98. [Google Scholar]
- Chan, T.; Haiping, C. Numerical Simulation of Effusion Holes on the Longitudinal Ripple Heat Shield. J. Aerosp. Power 2009, 1. [Google Scholar]
- Qu, L.; Zhang, J.; Tan, X.; Wang, M. Numerical investigation on adiabatic film cooling effectiveness and heat transfer coefficient for effusion cooling over a transverse corrugated surface. Chin. J. Aeronaut. 2017, 30, 677–684. [Google Scholar] [CrossRef]
- Scrittore, J.J.; Thole, K.; Burd, S.W. Investigation of Velocity Profiles for Effusion Cooling of a Combustor Liner. J. Turbomach. 2006, 129, 518–526. [Google Scholar] [CrossRef]
- Singh, K.; Premachandran, B.; Ravi, M.J.A.T.E. Experimental and numerical studies on film cooling of a corrugated surface. Appl. Therm. Eng. 2016, 108, 312–329. [Google Scholar] [CrossRef]
- Ravichandran, M.; Ganesan, V.J.E.i.f. Aerodynamic flow investigations in an isothermal model of an afterburner. Exp. Fluids 1994, 17, 59–67. [Google Scholar] [CrossRef]
- Qiu, H.; Zhang, J.; Sun, X.; Chang, J.; Bao, W.; Zhang, S. Flowing residence characteristics in a dual-mode scramjet combustor equipped with strut flame holder. Aerosp. Sci. Technol. 2020, 99, 105718. [Google Scholar] [CrossRef]
- Miao, J.; Fan, Y.; Wu, W.; Zhao, S. Influence of air-entraining intensity on the afterburner ignition, flame-holding and combustion characteristics. Aerosp. Sci. Technol. 2020, 106, 106063. [Google Scholar] [CrossRef]
- Huang, W.; Pourkashanian, M.; Ma, L.; Ingham, D.B.; Luo, S.-B.; Wang, Z.-G. Effect of geometric parameters on the drag of the cavity flameholder based on the variance analysis method. Aerosp. Sci. Technol. 2012, 21, 24–30. [Google Scholar] [CrossRef]
- Xie, Y.; Liu, Y.-H. A Modified Thermal Mixing Efficiency and its Application to Lobed Mixer Nozzle for Aero-Engines. Heat Transf. Res. 2011, 42, 317–335. [Google Scholar] [CrossRef]














| Model | r/mm | e/mm |
|---|---|---|
| r1e1 | 12.5 | 8.5 |
| r2e1 | 13.5 | 8.5 |
| r3e1 | 15.5 | 8.5 |
| r4e1 | 17.5 | 8.5 |
| r1e2 | 12.5 | 9.5 |
| r1e3 | 12.5 | 11.5 |
| r1e4 | 12.5 | 13.5 |
| Parameter | Afterburner Inlet | Bypass Inlet |
|---|---|---|
| Mass flow rate(kg/s) | 10.3 | 6.0 |
| Total pressure(MPa) | 0.42 | 0.48 |
| Total temperature(K) | 1130 | 470 |
| Section | Major Losses | Reasons |
|---|---|---|
| 1–3 | Diffusion loss | the diffusive process of core flow |
| Local loss | the sudden expansion or contraction of flow path | |
| Friction loss | the flow through the wall | |
| 3–5 | Mixing loss | the mixing of core flow and bypass flow |
| 5–7 | Friction loss | the flow through the contraction channel |
| Model | Radial Flameholder | Circumferential Flameholder | Fuel Injector | Heat Shield |
|---|---|---|---|---|
| r1e1 | 0.396 | 0.512 | 0.873 | 0.946 |
| r2e1 | 0.391 | 0.509 | 0.870 | 0.951 |
| r3e1 | 0.385 | 0.499 | 0.860 | 0.942 |
| r4e1 | 0.380 | 0.490 | 0.852 | 0.946 |
| r1e2 | 0.391 | 0.510 | 0.870 | 0.954 |
| r1e3 | 0.386 | 0.500 | 0.867 | 0.952 |
| r1e4 | 0.379 | 0.490 | 0.861 | 0.954 |
Publisher’s Note: MDPI stays neutral with regard to jurisdictional claims in published maps and institutional affiliations. |
© 2021 by the authors. Licensee MDPI, Basel, Switzerland. This article is an open access article distributed under the terms and conditions of the Creative Commons Attribution (CC BY) license (https://creativecommons.org/licenses/by/4.0/).
Share and Cite
Jia, X.; Shan, Y.; Xu, X.; Zhang, J.; Tan, X. Effects of Bypass Flow Distribution on Cold Flow Characteristics of Integrated Afterburner. Energies 2021, 14, 5842. https://doi.org/10.3390/en14185842
Jia X, Shan Y, Xu X, Zhang J, Tan X. Effects of Bypass Flow Distribution on Cold Flow Characteristics of Integrated Afterburner. Energies. 2021; 14(18):5842. https://doi.org/10.3390/en14185842
Chicago/Turabian StyleJia, Xiangzhong, Yong Shan, Xingping Xu, Jingzhou Zhang, and Xiaoming Tan. 2021. "Effects of Bypass Flow Distribution on Cold Flow Characteristics of Integrated Afterburner" Energies 14, no. 18: 5842. https://doi.org/10.3390/en14185842
APA StyleJia, X., Shan, Y., Xu, X., Zhang, J., & Tan, X. (2021). Effects of Bypass Flow Distribution on Cold Flow Characteristics of Integrated Afterburner. Energies, 14(18), 5842. https://doi.org/10.3390/en14185842

