Numerical Study of the Influence of Secondary Air Uniformity on Jet Penetration and Gas-Solid Diffusion Characteristics in a Large-Scale CFB Boiler
Abstract
:1. Introduction
2. Numerical Simulation
2.1. The 600 MW Supercritical CFB Boiler
2.2. Computational Mesh and Solution Method
2.3. Calculation Cases
2.4. Data Analysis
2.5. Grid Independence
3. Results and Discussion
3.1. Model Validation
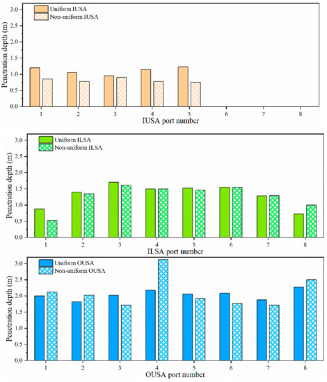
3.2. Influence of SA Uniformity on Jet Penetration and Diffusion
3.3. Influence of SA Uniformity on Gas-Solid Mixing in the Furnace
3.4. Influence of Boiler Load on Jet Penetration and Diffusion Characteristics of SA
3.5. Prediction of the Thermal SA Penetration Depth
4. Conclusions
- (1)
- The distribution uniformity of SA had a great influence on the penetration and lateral diffusion distance of the SA jet. Non-uniform SA led to the deviation of kinetic energy at the inlet of each SA nozzle, especially the SA ports on the front and rear walls.
- (2)
- Under the condition of uneven SA distribution, the deviation of solid concentration was greater than that when under uniform SA distribution, especially in these areas below 10 m from the air distributor with a doubled deviation.
- (3)
- With the increase of load, the penetration depth and lateral diffusion distance of SA jets increased, while the uniformity of SA diffusion was best at the 80% BMCR load, indicating that it was not linear with the increase of load.
- (4)
- Jet angle and volume expansion were taken into consideration in the proposed calculation model of SA penetration depth, and the predicted value was more accurate at 60% BMCR load. Due to the influence of adjacent SA diffusion, the deviation of predicted value at high load could exceed 20%.
Author Contributions
Funding
Institutional Review Board Statement
Informed Consent Statement
Acknowledgments
Conflicts of Interest
Nomenclature
| t | time: s |
| v | velocity, m/s |
| P | pressure, Pa |
| Ps | particle phase pressure, Pa |
| g | gravitational acceleration, m2/s |
| interphase exchange coefficient of momentum, kg/(m3·s) | |
| k | Turbulence kinetic energy, m2/s2 |
| u | phase weighed velocity, m/s |
| generation of turbulence kinetic energy due to mean velocity | |
| constant in turbulence model | |
| Re | Reynolds number |
| ds | particle diameter, mm |
| radial distribution function | |
| particle-particle restitution coefficient | |
| I2D | the second invariant of the deviator stress tensor |
| x | penetration depth of SA |
| d0 | diameter of the SA nozzle, m |
| l | core jet length, m |
| CFB | circulating fluidized bed |
| ILSA | inner lower SA |
| IUSA | inner upper SA |
| OUSA | outer upper SA |
| PA | primary air |
| SA | secondary air |
| αb | angle between the SA jet and the horizontal direction |
| K | constant |
| C | constant |
| Greek letters | |
| volume fraction | |
| dynamic viscosity, Pa·s | |
| turbulence viscosity, Pa·s | |
| effective viscosity, Pa·s | |
| solid shear viscosity, Pa·s | |
| solid collision viscosity, Pa·s | |
| solid kinetic viscosity, Pa·s | |
| solid frictional viscosity, Pa·s | |
| density, kg/m3 | |
| shear stress, N/m2 | |
| identity matrix | |
| turbulence dissipation rate | |
| turbulent Prandtl numbers | |
| granular temperature, m2/s2 | |
| angle of internal friction | |
| granular bulk viscosity, Pa·s | |
| Subscripts | |
| i, j | gas or solid phase, i and j are different |
| g | gas |
| s | solid |
| max | maximum |
| SA | secondary air |
| PA | primary air |
| p | solid particles |
References
- Yue, G.X.; Cai, R.X.; Lyu, J.F.; Zhang, H. From a CFB reactor to a CFB boiler—The review of R&D progress of CFB coal combustion technology in China. Powder Technol. 2017, 316, 18–28. [Google Scholar]
- Blaszczuk, A.; Nowak, W. Heat transfer behavior inside a furnace chamber of large-scale supercritical CFB reactor. Int. J. Heat Mass Transf. 2015, 87, 464–480. [Google Scholar] [CrossRef]
- Yan, J.; Lu, X.; Zhang, C.; Li, Q.; Wang, J.; Liu, S.; Zheng, X.; Fan, X. An experimental study on the characteristics of NOx distributions at the SNCR inlets of a large-scale CFB boiler. Energies 2021, 14, 1267. [Google Scholar] [CrossRef]
- Cheng, L.; Ji, J.; Wei, Y.; Wang, Q.; Fang, M.; Luo, Z.; Ni, M.; Cen, K. A note on large-size supercritical CFB technology development. Powder Technol. 2020, 363, 398–407. [Google Scholar] [CrossRef]
- Chen, H.W.; Song, Y.F.; Yang, S.; Xin, Y. Prediction of particle circulation rate in an internally circulating fluidized bed with a central draft tube. Powder Technol. 2021, 380, 497–505. [Google Scholar] [CrossRef]
- Kobyashi, N.; Itaya, Y.; Piao, G.; Mori, S.; Kondo, M.; Hamai, M.; Yamaguchi, M. The behavior of flue gas from RDF combustion in a fluidized bed. Powder Technol. 2005, 151, 87–95. [Google Scholar] [CrossRef]
- Wu, J.H.; Zhang, J.G. Influence of secondary air adjustment on mechanical incomplete combustion loss of CFB boilers. Control Instrum. Chem. Ind. 2010, 37, 97–106. [Google Scholar]
- Wang, Z.Y.; Qin, M.; Sun, S.Z.; Qin, Y. Influence of secondary air distribution on the gas-solid mixing and combustion in a CFB (Circulating Fluidized Bed) boiler furnace. J. Eng. Therm. Energy Power 2009, 24, 205–210. [Google Scholar]
- Vodička, M.; Hrdlička, J.; Skopec, P. Experimental study of the NOX reduction through the staged oxygen supply in the oxy-fuel combustion in a 30 kWth bubbling fluidized bed. Fuel 2021, 286, 119343. [Google Scholar] [CrossRef]
- Xiao, Y.; Song, G.L.; Yang, X.T.; Ji, Z.C.; Wang, C.; Lyu, Q.G. Influence of stoichiometry air ratio on char characteristics and nitrogen conversion in circulating fluidized bed with post-combustion. Fuel 2021, 298, 120842. [Google Scholar] [CrossRef]
- Knoebig, T.; Werther, J. Horizontal reactant injection into large-scale fluidized bed reactors modeling of secondary air injection into a circulating fluidized bed combustor. Chem. Eng. Technol. 1999, 22, 656–659. [Google Scholar] [CrossRef]
- Zheng, C.H.; Cheng, L.M.; Zhou, X.L.; Xu, Q.S.; Wang, Q.H.; Fang, M.X. Numerical simulation of secondary air penetration depth in a 300 MW single-furnace circulating fluidized bed boiler. J. Chin. Soc. Power Eng. 2009, 9, 801–805. [Google Scholar]
- Wang, C.; Cheng, L.; Zhou, X.; Zheng, C.; Wang, Q.; Luo, Z.; Zhou, Q.; Nie, L. Numerical simulation of gas-solid hydrodynamics in a 600 MW supercritical circulating fluidized bed boiler furnace. Proc. CSEE 2011, 31, 1–7. [Google Scholar]
- Murat, K.; Feridun, H. CFD simulation of the gas-solid flow in the riser of a circulating fluidized bed with secondary air injection. Chem. Eng. Commun. 2005, 192, 1151–1179. [Google Scholar]
- Zhang, W.J.; Zhang, M.; Zhang, Y.; Lyu, J.F.; Yang, H.R. The effect of the secondary air injection on the gas–solid flow characteristics in the circulating fluidized bed. Chem. Eng. Res. Des. 2019, 141, 220–228. [Google Scholar] [CrossRef]
- Yan, J.; Lu, X.; Wang, Q.; Kang, Y.; Li, J.; Xu, Z.; Lei, X.; Zheng, X.; Fan, X.; Liu, Z. Study on the influence of secondary air on the distributions of flue gas composition at the lower part of a 600 MW supercritical CFB boiler. Fuel Process. Technol. 2019, 196, 106035. [Google Scholar] [CrossRef]
- Yan, J.; Lu, X.F.; Xue, R.; Lu, J.Y.; Zheng, Y.; Zhang, Y.; Liu, Z. Validation and application of CPFD model in simulating gas-solid flow and combustion of a supercritical CFB boiler with improved inlet boundary conditions. Fuel Process. Technol. 2020, 208, 106512. [Google Scholar] [CrossRef]
- Yan, J.; Lu, X.; Zheng, X.; Xue, R.; Lei, X.; Fan, X.; Liu, S. Experimental Investigations on Lateral Dispersion Coefficients of Fuel Particles in Large-Scale Circulating Fluidized Bed Boilers with Different Coal Feeding Modes. Energies 2020, 13, 6336. [Google Scholar] [CrossRef]
- Zhou, J.L.; Wang, Q.H.; Yan, J.; Guo, Q.; Lv, Z.; Zhang, Y.; Lu, X.F. Experimental and numerical simulation on the uniformity of secondary air system of Baima 600 MW supercritical CFB boiler. Proc. CSEE 2018, 38, 406–412. [Google Scholar]
- Bakshi, A.; Altantzis, C.; Bates, R.B.; Ghoniem, A.F. Eulerian–Eulerian simulation of dense solid–gas cylindrical fluidized beds: Impact of wall boundary condition and drag model on fluidization. Powder Technol. 2015, 277, 47–62. [Google Scholar] [CrossRef] [Green Version]
- Chiesa, M.; Mathiesen, V.; Melheim, J.A.; Halvorsen, B. Numerical simulation of particulate flow by the Eulerian–Lagrangian and the Eulerian–Eulerian approach with application to a fluidized bed. Comput. Chem. Eng. 2005, 29, 29,291–304. [Google Scholar] [CrossRef]
- Vegendla, S.N.P.; Heynderickx, G.J.; Marin, G.B. Comparison of Eulerian–Lagrangian and Eulerian–Eulerian method for dilute gas–solid flow with side inlet. Comput. Chem. Eng. 2011, 35, 1192–1199. [Google Scholar] [CrossRef]
- Gidaspow, D.; Bezburuah, R.; Ding, J. Hydrodynamics of circulating fluidized beds, kinetic theory approach. In Proceedings of the 7th Engineering Foundation Conference on Fluidization, Brisbane, Australia, 3–8 May 1991; pp. 75–82. [Google Scholar]
- Ahangar, E.K.; Izanlu, M.; Jabbari, M.; Ahmadi, G.; Karimipour, A. Thermal microscale gas flow simulation using wall function and bounce-back scheme: Modified lattice Boltzmann method. Int. Commun. Heat Mass 2020, 119, 104993. [Google Scholar] [CrossRef]
- Scheffold, F.; Wiersma, D. Inelastic scattering puts in question recent claims of Anderson localization of light. Nat. Photon. 2013, 7, 934–935. [Google Scholar] [CrossRef]
- Lubatsch, A.; Frank, R. Self-consistent quantum field theory for the characterization of complex random media by short laser pulses. Phys. Rev. Res. 2020, 2, 013324. [Google Scholar] [CrossRef] [Green Version]
- De Visscher, A.; Van Cleemput, O. Simulation model for gas diffusion and methane oxidation in landfill cover soils. Waste Manag. 2003, 23, 581–591. [Google Scholar] [CrossRef]
- Xu, L.J.; Cheng, L.M.; Ji, J.Q.; Wang, Q.H.; Fang, M.X. A comprehensive CFD combustion model for supercritical CFB boilers. Particuology 2019, 43, 29–37. [Google Scholar] [CrossRef]
- Xu, J.; Lu, X.; Wang, Q.; Zhang, W.; Liu, C.; Xie, X.; Sun, S.; Fan, X.; Li, J. Visualization of gas-solid flow characteristics at the wall of a 60-meter-high transparent CFB riser. Powder Technol. 2018, 336, 180–190. [Google Scholar] [CrossRef]
- Yang, J.H.; Yang, H.R.; Yue, G.X. Experimental study on secondary air jet penetration in circulating fluidized bed. J. Power Eng. 2008, 4, 0509. [Google Scholar]

















| Item | Value |
|---|---|
| Gas property | ρ = 0.3032 kg/m3, ν = 4.678 × 10−5 m2/s |
| Solid property | ρ = 2600 kg/m3, ν = 1.033 × 10−3 m2/s |
| Gravitational acceleration | 9.81 m2/s |
| Mean particle size | 0.3 mm |
| Particle temperature | algebraic |
| Specular rebound coefficient | 0.01 |
| Inlet boundary condition | Velocity inlet |
| Outlet boundary condition | Pressure outlet |
| Item | Uniform Cases | Non-Uniform Case | ||
|---|---|---|---|---|
| 60% BMCR | 80% BMCR | 100% BMCR | 100% BMCR | |
| PA flow rate | 89.77 kg/s | 110.60 kg/s | 117 kg/s | 117 kg/s |
| SA flow rate | 70.74 kg/s | 103.06 kg/s | 123.69 kg/s | 123.69 kg/s |
| SA ratio | 44% | 48% | 52% | 52% |
| Superficial velocity | 2.53 m/s | 3.36 m/s | 3.83 m/s | 3.83 m/s |
| Items | Boundary Conditions | 60% BMCR | 80% BMCR | 100% BMCR |
|---|---|---|---|---|
| PA | Velocity inlet | 2.65 m/s | 3.26 m/s | 3.45 m/s |
| OUSA | 37.06 m/s | 53.99 m/s | 65.84 m/s | |
| ILSA | 19.83 m/s | 28.89 m/s | 35.24 m/s | |
| IUSA | 16.73 m/s | 24.37 m/s | 29.72 m/s | |
| Furnace outlet | Pressure outlet | 50 Pa | 50 Pa | 50 Pa |
| Working Conditions | IUSA | ILSA | OUSA |
|---|---|---|---|
| Non-uniform SA | 0.04 | 0.26 | 0.55 |
| Uniform SA | 0.09 | 0.28 | 0.18 |
| Working Conditions | IUSA | ILSA | OUSA |
|---|---|---|---|
| Non-uniform SA | 0.23 | 0.24 | 0.27 |
| Uniform SA | 0.06 | 0.06 | 0.17 |
| Item | SA Port | 60% BMCR | 80% BMCR | 100% BMCR |
|---|---|---|---|---|
| Penetration | OUSA | 0.131 | 0.043 | 0.147 |
| IUSA | 0.085 | 0.091 | 0.089 | |
| ILSA | 0.046 | 0.041 | 0.111 | |
| Dispersion | OUSA | 0.163 | 0.110 | 0.070 |
| IUSA | 0.217 | 0.065 | 0.150 | |
| ILSA | 0.174 | 0.123 | 0.082 |
Publisher’s Note: MDPI stays neutral with regard to jurisdictional claims in published maps and institutional affiliations. |
© 2021 by the authors. Licensee MDPI, Basel, Switzerland. This article is an open access article distributed under the terms and conditions of the Creative Commons Attribution (CC BY) license (https://creativecommons.org/licenses/by/4.0/).
Share and Cite
Zheng, X.; Yan, J.; Wang, J.; Lu, X. Numerical Study of the Influence of Secondary Air Uniformity on Jet Penetration and Gas-Solid Diffusion Characteristics in a Large-Scale CFB Boiler. Energies 2021, 14, 5679. https://doi.org/10.3390/en14185679
Zheng X, Yan J, Wang J, Lu X. Numerical Study of the Influence of Secondary Air Uniformity on Jet Penetration and Gas-Solid Diffusion Characteristics in a Large-Scale CFB Boiler. Energies. 2021; 14(18):5679. https://doi.org/10.3390/en14185679
Chicago/Turabian StyleZheng, Xiong, Jin Yan, Jinping Wang, and Xiaofeng Lu. 2021. "Numerical Study of the Influence of Secondary Air Uniformity on Jet Penetration and Gas-Solid Diffusion Characteristics in a Large-Scale CFB Boiler" Energies 14, no. 18: 5679. https://doi.org/10.3390/en14185679
APA StyleZheng, X., Yan, J., Wang, J., & Lu, X. (2021). Numerical Study of the Influence of Secondary Air Uniformity on Jet Penetration and Gas-Solid Diffusion Characteristics in a Large-Scale CFB Boiler. Energies, 14(18), 5679. https://doi.org/10.3390/en14185679

