Non-Contact Methods for High-Voltage Insulation Equipment Diagnosis during Operation
Abstract
:1. Introduction
2. Materials and Methods
3. Results
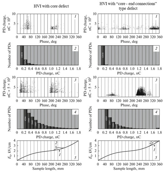
3.1. Diagnostics by Electromagnetic and Acoustic Recording of PD
3.2. Diagnostics by Acoustic Recording of PD Using a Microphone Array
3.3. Diagnostics with an Electro-Optical Sensor
4. Discussion
4.1. Electromagnetic and Acoustic Recording of PD Method
- The significant broadening of the phase intervals of radiation of partial discharges;
- The sharp increase in the number of partial discharges in negative high voltage half-periods in comparison with positive half-periods;
- The significant difference in the shape of single pulses of partial discharges for positive and negative signals.
4.2. Method for Determining a Faulty Isolator Using a Microphone Array
4.3. Electro-Optical Method
5. Conclusions
Author Contributions
Funding
Conflicts of Interest
References
- Sanitary and Epidemiological Rules and Regulations 1.2.3685-21. Hygienic Standards and Requirements for Ensuring the Safety and (or) Harmlessness to Humans of Environmental Factors; Chief State Sanitary Doctor of the Russian Federation: Moscow, Russia, 2021. [Google Scholar]
- State Standard 12.1.045-84. Occupational Safety Standards System. Electrostatic Fields. Tolerance Levels and Methods of Control at Working Places; Standartinform: Moscow, Russia, 2006. [Google Scholar]
- Boggs, S.A. Partial discharge: Overview and signal generation. IEEE Electr. Insul. Mag. 1990, 6, 33–39. [Google Scholar] [CrossRef]
- Altenbuzges, R.; Heitz, C.; Timmer, J. Analisis of phase-resolved partial discharge pattern of voids. J. Phys. D Appl. Phys. 2002, 35, 1149–1163. [Google Scholar]
- Mor, R.A.; Heredia, L.C.; Harmsen, D.A.; Munoz, F.A. A new design of a test platform for testing multiple partial discharge sources. Electrical Power and Energy Systems. 2018, 94, 374–384. [Google Scholar]
- Bartnicas, R. Partial discharges. Their mechanism, detection and measurement. IEEE Trans. Dielectr. Electr. Insul. 2002, 9, 763–808. [Google Scholar] [CrossRef]
- Runde, M.; Aurud, T.; Ljokelsoy, K.; Lundgaard, L.; Nokleby, J.; Skyberg, B. Risk assessment basis of moving particles in gas insulated substations. IEEE Transactions on Power Delivery. 1997, 12, 714–721. [Google Scholar] [CrossRef]
- Li, C.; Yoshino, T. Optical voltage sensor based on electrooptic crystal multiplier. J. Lightwave Technol. 2002, 20, 843–849. [Google Scholar] [CrossRef]
- IEC TS 62478:2016|IEC Webstore. Available online: https://webstore.iec.ch/publication/25740 (accessed on 27 July 2021).
- IEEE 4-2013-IEEE Standard for High-Voltage Testing Techniques. Available online: https://standards.ieee.org/standard/4-2013.html (accessed on 27 July 2021).
- Callender, G.; Golosnoy, I.; Rapisarda, P.; Lewin, P. Critical analysis of partial discharge dynamics in air filled spherical voids. J. Phys. D Appl. Phys. 2018, 51, 125601. [Google Scholar] [CrossRef] [Green Version]
- Wonf, R.L. Application of very high frequency method to ceramic insulators. IEEE Trans. Dielectr. Electr. Insul. 2004, 11, 1057–1064. [Google Scholar]
- Castro, B.; Clerice, G.; Ramos, C.; Andreoli, A.; Baptista, F.; Campos, F.; Ulson, J. Partial Discharge Monitoring in Power Transformers Using Low-Cost Piezoelectric Sensors. Sensors 2016, 16, 1266. [Google Scholar] [CrossRef] [PubMed] [Green Version]
- Ramesh, M.; Cui, L.; Gorur, R.S. Impact of superficial and internal defects on electric field of composite insulators. Electr. Power Energy Syst. 2019, 106, 327–334. [Google Scholar] [CrossRef]
- Callender, G.; Lewin, P.L. Modeling Partial Discharge Phenomena. IEEE Electr. Insul. Mag. 2020, 36, 29–36. [Google Scholar] [CrossRef]
- Long, J.; Wang, X.; Zhou, W.; Zhang, J.; Dai, D.; Zhu, G. Comprehensive Review of Signal Processing and Machine Learning Technologies for UHF PD Detection and Diagnosis (I): Preprocessing and Localization Approaches. IEEE Access 2021, 9, 69876–69904. [Google Scholar] [CrossRef]
- Sikorski, W.; Walczak, K.; Gil, W.; Szymczak, C. On-Line partial discharge monitoring system for power transformers based on the simultaneous detection of high frequency, ultra-high frequency, and acoustic emission signals. Energies 2020, 13, 3271. [Google Scholar] [CrossRef]
- Zhou, N.; Luo, L.; Song, H.; Sheng, G.; Jiang, X. A substation UHF partial discharge directional of arrival estimation method based on maximum likelihood estimation. Trans. China Electr. Soc. 2019, 34, 3285–3292. [Google Scholar]
- Usachev, A.E.; Kubarev, A.Y. Problems of Insulation Diagnostics of Power Equipment by the Method of Partial Discharges. E3S Web Conf. 2021, 288, 01077. [Google Scholar] [CrossRef]
- Ilkhechi, H.D.; Samimi, M.H. Applications of the Acoustic Method in Partial Discharge Measurement: A Review. IEEE Trans. Dielectr. Electr. Insul. 2021, 28, 42–51. [Google Scholar] [CrossRef]
- Ghosh, R.; Chatterjee, B.; Dalai, S. A Method for the Localization of Partial Discharge Sources using Partial Discharge Pulse Information from Acoustic Emissions. IEEE Trans. Dielectr. Electr. Insul. 2017, 24, 237–243. [Google Scholar] [CrossRef]
- Sikorski, W. Development of Acoustic Emission Sensor Optimized for Partial Discharge Monitoring in Power Transformers. Sensors 2019, 19, 1865. [Google Scholar] [CrossRef] [PubMed] [Green Version]
- Pang, X.; Wu, H.; Li, X.; Qi, Y.; Jing, H.; Zhang, J.; Xie, Q. Partial discharge ultrasonic detection based on EULER-MUSIC algorithm and conformal array sensor. IET Gener. Transm. Distrib. 2018, 12, 3596–3605. [Google Scholar] [CrossRef]
- Azadifar, M.; Karami, H.; Wang, Z.; Rubinstein, M.; Rachidi, F.; Karami, H.; Ghasemi, A.; Gharehpetian, G.B. Partial discharge localization using electromagnetic time reversal: A performance analysis. IEEE Access 2020, 8, 147507–147515. [Google Scholar] [CrossRef]
- Gao, S.; Zhang, Y.; Xie, Q.; Kan, Y.; Li, S.; Liu, D.; Lü, F. Research on partial discharge source localization based on an ultrasonic array and a step-by-step over-complete dictionary. Energies 2017, 10, 593. [Google Scholar] [CrossRef] [Green Version]
- Luo, Y.; Li, Z.; Wang, H. A review of online partial discharge measurement of large generators. Energies 2017, 10, 1694. [Google Scholar] [CrossRef] [Green Version]
- Runde, D.; Brunken, S.; Rüter, C.E.; Kip, D. Integrated Optical Electric Field Sensor Based on a Bragg Grating in Lithium Niobate. Appl. Phys. B 2006, 86, 91–95. [Google Scholar] [CrossRef]
- Golenishchev-Kutuzov, A.V.; Golenishchev-Kutuzov, V.A.; Kalimullin, R.I. Photon, and Phonon Crystals: Formation and Application in Opto-Acoustoelectronics; Fizmatlit: Moscow, Russia, 2010; p. 158. [Google Scholar]
- Zaripov, D.; Nasibullin, R. Experimental system for continuous monitoring of overhead power lines and substations insulation. In E3S Web of Conferences; Voropai, N., Ed.; EDP Sciences: Les Ulis, France, 2020; Volume 216. [Google Scholar] [CrossRef]
- Phung, B.T.; Blackburn, T.R.; Liu, Z. Acoustic measurements of partial discharge signals. J. Electr. Electron. Eng. 2001, 21, 41–47. [Google Scholar]
- Lundgaard, L. Partial discharge. XIII. Acoustic partial discharge detection-fundamental considerations. IEEE Electr. Insul. Mag. 1992, 8, 25–31. [Google Scholar] [CrossRef]
- Rohwetter, P.; Habel, W.; Heidmann, G.; Pepper, D. Acoustic emission from DC pre-treeing discharge processes in silicone elastomer. IEEE Trans. Dielectr. Electr. Insul. 2015, 22, 52–64. [Google Scholar] [CrossRef]
- Silverman, H.F.; Yu, Y.; Sachar, J.M.; Patterson, W.R. Performance of real-time source-location estimators for a large-aperture microphone array. IEEE Trans. Speech Audio Process. 2005, 13, 593–606. [Google Scholar] [CrossRef]
- Lundgaard, L.; Tangen, G.; Skyberg, B.; Faugstad, K. Acoustic diagnoses of GIS; field experience and development of expert system. IEEE Trans. Power Del. 1992, 7, 287–294. [Google Scholar] [CrossRef]
- Pan, C.; Chen, G.; Tang, J.; Wu, K. Numerical Modeling of Partial Discharges in a Solid Dielectric-bounded Cavity: A Review. IEEE Trans. Dielectr. Electr. Insul. 2019, 26, 981–1000. [Google Scholar] [CrossRef] [Green Version]
- Xie, Q.; Li, T.; Tao, J.; Liu, X.; Liu, D.; Xu, Y. Comparison of the acoustic performance and positioning accuracy of three kinds of planar partial discharge ultrasonic array sensors. IET Radar Sonar Navigat. 2016, 10, 166–173. [Google Scholar] [CrossRef]
- Ultrasonic Sensor Murata MA40S4S/MA40S4R: Data Sheet. Available online: https://www.murata.com/-/media/webrenewal/products/sensor/ultrasonic/open/datasheet_maopn.ashx (accessed on 7 January 2021).
- Yaroslavsky, D.A.; Ivanov, D.A.; Sadykov, M.F.; Goryachev, M.P.; Savelyev, O.G.; Misbakhov, R.S. Real-Time Operating Systems for Wireless Modules. J. Eng. Appl. Sci. 2016, 11, 1168–1171. [Google Scholar] [CrossRef]
- Ivanov, D.A.; Golenishchev-Kutuzov, A.V.; Yaroslavsky, D.A.; Sadykov, M.F. Portable complex for remote control of high-voltage insulators using wireless data collection and transmission module. ARPN J. Eng. Appl. Sci. 2018, 13, 2358–2362. [Google Scholar]
- Ivanov, D.; Sadykov, M.; Golenishchev-Kutuzov, A.; Yaroslavsky, D.; Galieva, T.; Arslanov, A. The application of the technology of sensor networks for the intellectualization of the overhead power transmission lines. In E3S Web of Conferences; Art. No. 01071; Fedyukhin, A., Dixit, S., Eds.; EDP Sciences: Les Ulis, France, 2020; Volume 220. [Google Scholar] [CrossRef]
- Golenishchev-Kutuzov, A.V.; Golenishchev-Kutuzov, V.A.; Mardanov, G.D.; Khusnutdinov, R.A. Method of Contactless Remote Diagnostics of High-Voltage Insulators. Russian Federation Patent No. 2597962, 20 September 2016. [Google Scholar]
- Golenishchev-Kutuzov, A.V.; Golenishchev-Kutuzov, V.A.; Ivanov, D.A.; Mardanov, G.D.; Semennikov, A.V. Integrated Noncontact Diagnostics of the Operable Condition of High-Voltage Insulators. Russ. J. Nondestruct. Test. 2019, 55, 596–602. [Google Scholar] [CrossRef]
- Bogdanova, K.G.; Bulatov, A.R.; Golenishchev-Kutuzov, A.V.; Golenishchev-Kutuzov, V.A.; Kalimullin, R.I.; Potapov, A.A. Formation of Submicron Partially Ordered Domain Structures in Ferroelectric and Magnetic Materials. Phys. Solid State 2011, 53, 2263–2265. [Google Scholar] [CrossRef]
- Golenishchev-Kutuzov, A.V.; Golenishchev-Kutuzov, V.A.; Kalimullin, R.I.; Mardanov, G.D.; Potapov, A.A. Ultrasonic Tunable Transducer on Domain Structures. Ferroelectrics 2012, 441, 25–29. [Google Scholar] [CrossRef]
- Golenishchev-Kutuzov, A.V.; Golenishchev-Kutuzov, V.A.; Ivanov, D.A.; Mardanov, G.D.; Semennikov, A.V. Remote Testing for Defects in In-Service High-Voltage Insulators. Russ. J. Nondestruct. Test. 2018, 54, 682–686. [Google Scholar] [CrossRef]
- Golenishchev-Kutuzov, A.V.; Golenishchev-Kutuzov, V.A.; Ivanov, D.A.; Mardanov, G.D.; Semennikov, A.V.; Van’kov, Y.V. Complex Diagnostics of Defects in High-Voltage Insulators. Bull. Russ. Acad. Sci. Phys. 2019, 83, 1490–1493. [Google Scholar] [CrossRef]
- Andreev, N.K. Influence of sensitivity and specifity of measuring methods on their informativity and hardware requirements. In E3S Web of Conferences; Art. No. 05043; Shamsutdinov, E.V., Ed.; EDP Sciences: Les Ulis, France, 2019; Volume 124. [Google Scholar] [CrossRef]
- Golenishchev-Kutuzov, A.V.; Golenishchev-Kutuzov, V.A.; Ivanov, D.A.; Mardanov, G.D.; Semennikov, A.V. Method of Contactless Remote Diagnostics of High-Voltage Insulators. Russian Federation Patent No.2679759, 12 February 2019. [Google Scholar]
- Ivanov, D.; Galieva, T.; Sadykov, M.; Golenischev-Kutuzov, A.; Naumov, A. Method for the diagnosis of high-voltage dielectric elements during operation based on dynamic registration of electromagnetic radiation. In E3S Web of Conferences; Art. No. 01061; Voropai, N., Ed.; EDP Sciences: Les Ulis, France, 2020; Volume 216. [Google Scholar] [CrossRef]
- Golenishchev-Kutuzov, A.V.; Ivanov, D.A.; Kalimullin, R.I.; Semennikov, A.V. Remotely Measured Diagnostic Parameters for Estimating the Residual Life of High Voltage Insulators. Bull. Russ. Acad. Sci. Phys. 2020, 84, 1502–1504. [Google Scholar] [CrossRef]













| HVI No. | ∆φ | q, pC | N | ∆φ | q, pC | N |
|---|---|---|---|---|---|---|
| 1 | 45–65 | 60 | 200 | 220–240 | 60 | 1600 |
| 2 | 40–60 | 60 | 220 | 225–235 | 50 | 2000 |
| 3 | 50–65 | 70 | 200 | 230–250 | 60 | 1900 |
| 4 | 50–65 | 60 | 150 | 220–240 | 65 | 1000 |
| 5 | 45–75 | 70 | 180 | 230–250 | 75 | 1700 |
| 6 | 40–50 | 290 | 250 | 230–240 | 300 | 2600 |
| 7 | 35–45 | 270 | 280 | 220–235 | 270 | 2550 |
Publisher’s Note: MDPI stays neutral with regard to jurisdictional claims in published maps and institutional affiliations. |
© 2021 by the authors. Licensee MDPI, Basel, Switzerland. This article is an open access article distributed under the terms and conditions of the Creative Commons Attribution (CC BY) license (https://creativecommons.org/licenses/by/4.0/).
Share and Cite
Ivanov, D.A.; Sadykov, M.F.; Yaroslavsky, D.A.; Golenishchev-Kutuzov, A.V.; Galieva, T.G. Non-Contact Methods for High-Voltage Insulation Equipment Diagnosis during Operation. Energies 2021, 14, 5670. https://doi.org/10.3390/en14185670
Ivanov DA, Sadykov MF, Yaroslavsky DA, Golenishchev-Kutuzov AV, Galieva TG. Non-Contact Methods for High-Voltage Insulation Equipment Diagnosis during Operation. Energies. 2021; 14(18):5670. https://doi.org/10.3390/en14185670
Chicago/Turabian StyleIvanov, Dmitry A., Marat F. Sadykov, Danil A. Yaroslavsky, Aleksandr V. Golenishchev-Kutuzov, and Tatyana G. Galieva. 2021. "Non-Contact Methods for High-Voltage Insulation Equipment Diagnosis during Operation" Energies 14, no. 18: 5670. https://doi.org/10.3390/en14185670
APA StyleIvanov, D. A., Sadykov, M. F., Yaroslavsky, D. A., Golenishchev-Kutuzov, A. V., & Galieva, T. G. (2021). Non-Contact Methods for High-Voltage Insulation Equipment Diagnosis during Operation. Energies, 14(18), 5670. https://doi.org/10.3390/en14185670

