Temperature Control to Improve Performance of Hempcrete-Phase Change Material Wall Assemblies in a Cold Climate
Abstract
1. Introduction
2. Materials and Methods
2.1. Geometry and Materials
2.2. Climate and Controls
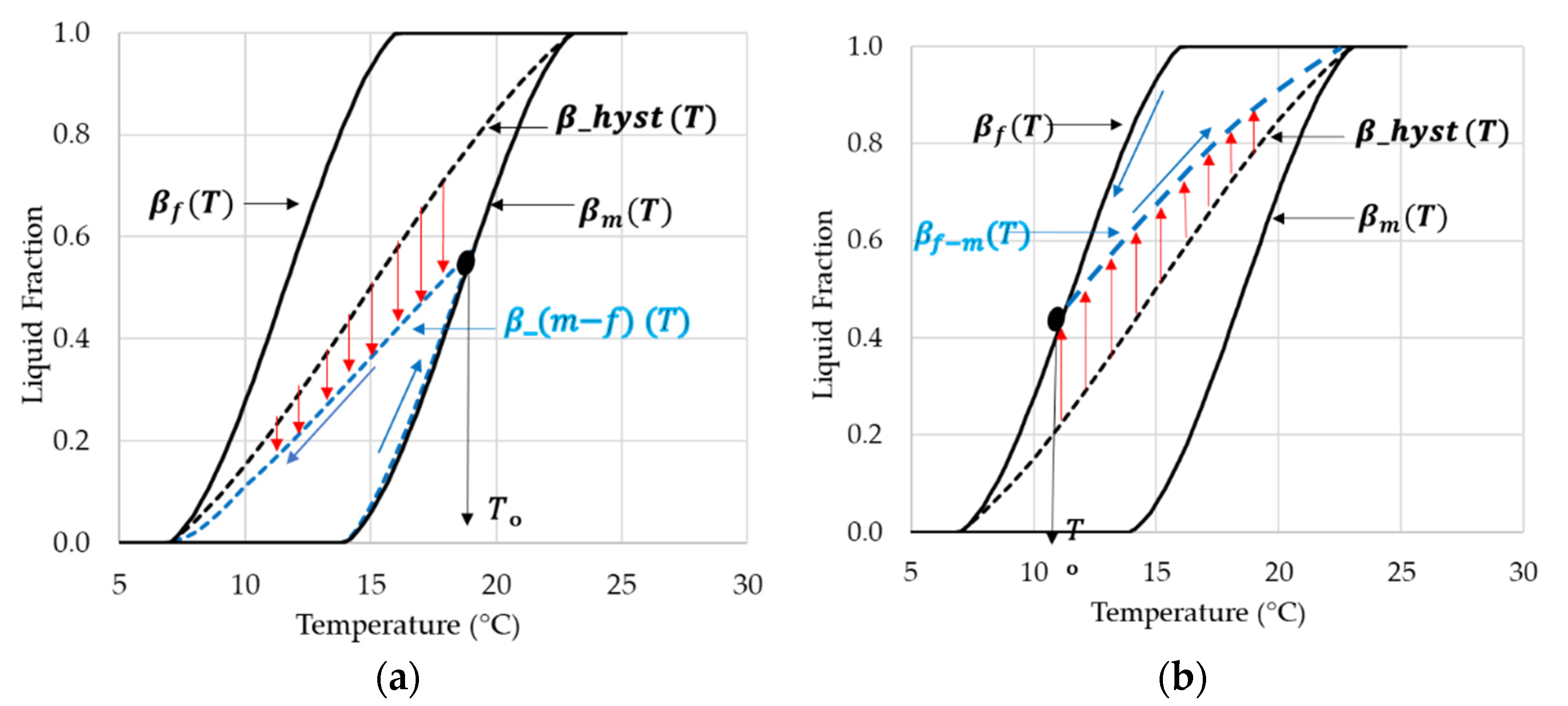
2.3. Governing Equations and Hysteresis
3. Results and Discussion
3.1. Wall Type Comparison for Base Case Schedule
3.2. The Performance of HPCM10 under Schedules 1 and 2
3.3. The Performance of HPCM10 under Schedules 3 and 4
4. Conclusions and Observations
- Overall, the HPCM wall types outperformed the hempcrete wall assembly under Winnipeg climate conditions and investigated control strategies. In this respect, under the base case (BC: 20–24 °C) schedule, HPCM wall types had between 3% and 7.5% higher heating energy savings and from 7.8% to 20.8% higher cooling energy savings compared to the hempcrete wall assembly. However, due to the cold and long winters in Winnipeg, heating energy reductions range from 1125 to 2735 W h/m2, whereas cooling savings are between 79 and 211 W h/m2. Considering that these savings are per square meter, the energy reductions for the entire envelope are likely to be significantly higher, especially for buildings with a high exposed surface area to volume ratio. Furthermore, HPCM walls maintained higher wall surface temperatures during the coldest days, lower during the warmest days, and within a tighter range than hempcrete, thus improving the thermal comfort. A possible explanation for the better performance of the HPCM wall types than the hempcrete wall may lie in its significantly lower thermal diffusivity (i.e., the lower rate at which heat disperses throughout the material). For example, the HPCM has 26–76% lower thermal diffusivity than the hempcrete due to its 8.7% lower thermal conductivity and 17–73% higher specific heat capacity. As a result, the HPCM walls had a lower heat transfer from the inside (hot) to the outside (cold) than hempcrete assembly, thus maintaining higher indoor surface temperatures and reducing the heating energy consumption. The subsequent study should verify the numerical analysis experimentally by conducting on-site testing of the hempcrete and HPCM wall assemblies.
- The results also show that phase change hours of HPCM layers reduce significantly (~30–50%) beyond 10 cm (i.e., HPCM10), and the reasons are twofold. First, because microencapsulated phase change material was selected to perform during the heating season and thus has a low operating phase change temperature of 18 ± 1 °C, it stayed melted most of the summer in all wall types. Second, due to the low average winter temperatures of −15 °C or colder, MPCM stayed solid most of the winter in the wall sections of HPCM20 and HPCM30 close to the exterior environment. Therefore, future work should explore adding insulation on the exterior of the wall to improve the performance of the HPCM. Additionally, the follow-up study should investigate the application of MPCMs with higher melting temperatures that will perform well during the warmer months.
- The implementation of heating (SCH1: 18 °C, SCH2: 16 °C) and cooling (SCH1 and 2: 26 °C) setback temperatures during the dormant hours (00:00–06:30) had a dual effect on the energy performance of the hempcrete and HPCM10 wall types. On the one hand, the SCH1 and SCH2 reduced heating (~4–8%) and cooling energy consumption (~14–17%) of hempcrete and HPCM10 wall assemblies compared to the BC controls. On the other hand, SCH1 and SCH2 increased heating and cooling energy consumption during the active hours, particularly in the early morning hours when the outdoor air temperatures were low and heating setback temperature changed to the setpoint. Energy increase in the daytime and peaks in the mornings may cause higher energy prices due to the high energy demand during the on-peak hours.
- Therefore, modified control strategies, SCH3 and SCH4, with setback temperature ramping between 05:00 and 07:00, were introduced to reduce the energy peaks during the morning and active hours. Additionally, to the overall heating (~7–21%) and cooling (~45%) energy savings compared to the previous control strategies, the temperature ramping in SCH3 and SCH4 drastically improved hempcrete and HPCM10 assemblies’ heating and cooling energy demand profiles. In this respect, unlike SCH1 and SCH2, the lowest hourly heating energy demand was during the morning (i.e., 07:00 and 08:00) and early afternoon hours, when the outdoor temperatures were at their minimum. As a result, implementing the gradual increase in the heating setback temperatures may decrease energy prices due to the lower energy demand during the on-peak hours. Therefore, subsequent research should include experimental and numerical studies to test further, refine, and advance the developed control strategies. Furthermore, the follow-up numerical research should simulate the entire building to explore further the impact of the HPCM envelope on occupants’ thermal comfort and energy consumption.
- This study shows that in high thermal mass materials such as hempcrete and HPCM, the sudden temperature rise over a short time requires more energy than a gradual temperature increase over an extended period. Thus, sudden setpoint temperature change under SCH1 and SCH2 caused the wall assemblies to charge during the morning and early afternoon hours, increasing energy consumption. The walls released this heat back to space during the night, thus reducing energy consumption. On the other hand, the gradual heating setback temperature increase under SCH3 and SCH4 reduced energy demand during the daytime. However, SCH3 and SCH4 also reduced the heating energy savings during the dormant periods compared to SCH1 and SCH2. Consequently, the optimal applications of thermal energy storage materials into building envelopes require their integration with HVAC systems and temperature controls that facilitate the charging and discharging of these thermal batteries.
- Furthermore, the results show that despite lower thermal diffusivity than the hempcrete wall, the HPCM10 case had periods during the daytime with higher energy consumption. Therefore, another possible rationale for the difference in thermal and energy performance of the two assemblies may be the latent nature of HPCM wall types. Hence, when outdoor air temperatures and solar radiation allowed phase change material to melt and absorb heat, the HPCM case increased energy use compared to the hempcrete wall during daytime hours. Nevertheless, the HPCM10 wall released stored heat back to the space during subsequent cold days and nights, thus using less energy than the hempcrete wall. In particular, introducing a setback temperature of 16 °C that is close to the MPCM’s freezing point facilitated the release of heat stored in the HPCM layer during the night, thus having lower energy consumption than the hempcrete wall type. The follow-up numerical study should conduct sensitivity analysis and investigate different case studies (e.g., MPCMs with other properties and maintaining specific parameters consistent between the cases) to further understand the impact of the MPCM incorporation into hempcrete and optimize the design.
Supplementary Materials
Author Contributions
Funding
Institutional Review Board Statement
Informed Consent Statement
Conflicts of Interest
References
- Zhou, D.; Zhao, C.Y.; Tian, Y. Review on thermal energy storage with phase change materials (PCMs) in building applications. Appl. Energy 2012, 92, 593–605. [Google Scholar] [CrossRef]
- Gholamibozanjani, G.; Farid, M. A Critical Review on the Control Strategies Applied to PCM-Enhanced Buildings. Energies 2021, 14, 1929. [Google Scholar] [CrossRef]
- Wijesuriya, S.; Brandt, M.; Tabares-Velasco, P.C. Parametric analysis of a residential building with phase change material (PCM)—Enhanced drywall, precooling, and variable electric rates in a hot and dry climate. Appl. Energy 2018, 222, 497–514. [Google Scholar] [CrossRef]
- Su, W.; Darkwa, J.; Kokogiannakis, G.; Li, Y. Thermal Performance of Various Microencapsulated Phase Change Material Drywalls Integrated into Buildings: A Numerical Investigation by ESP-r. In The International Sympsium on Heating Ventilation and Air Conditionig; Springer: Singapore, 2019; pp. 847–855. [Google Scholar]
- Su, W.; Darkwa, J.; Kokogiannakis, G. Numerical thermal evaluation of laminated binary microencapsulated phase change material drywall systems. Build. Simul. 2020, 13, 89–98. [Google Scholar] [CrossRef]
- Ren, M.; Wen, X.; Gao, X.; Liu, Y. Thermal and mechanical properties of ultra-high performance concrete incorporated with microencapsulated phase change material. Constr. Build. Mater. 2021, 273, 121714. [Google Scholar] [CrossRef]
- Drissi, S.; Ling, T.-C.; Mo, K.H. Thermal performance of a solar energy storage concrete panel incorporating phase change material aggregates developed for thermal regulation in buildings. Renew. Energy 2020, 160, 817–829. [Google Scholar] [CrossRef]
- Krasoń, J.; Mikasik, P.; Lichołai, L.; Dkebska, B.; Starakiewicz, A. Analysis of the thermal characteristics of a composite ceramic product filled with phase change material. Buildings 2019, 9, 217. [Google Scholar] [CrossRef]
- Iribarren, V.E.; Palermo, J.L.S.; Castelló, F.J.A.; Maestre, C.R. Energy rehabilitation of buildings through phase change materials and ceramic ventilated façades. Int. J. Energy Prod. Manag. 2019, 4, 332–342. [Google Scholar] [CrossRef][Green Version]
- Al-Yasiri, Q.; Szabó, M. Experimental evaluation of the optimal position of a macroencapsulated phase change material incorporated composite roof under hot climate conditions. Sustain. Energy Technol. Assess. 2021, 45, 101121. [Google Scholar]
- Rathore, P.K.S.; Shukla, S.K. An experimental evaluation of thermal behavior of the building envelope using macroencapsulated PCM for energy savings. Renew. Energy 2020, 149, 1300–1313. [Google Scholar] [CrossRef]
- Rathore, P.K.S.; Shukla, S.K. Potential of macroencapsulated PCM for thermal energy storage in buildings: A comprehensive review. Constr. Build. Mater. 2019, 225, 723–744. [Google Scholar] [CrossRef]
- Zhou, Q.; Liu, P.-F.; Tzeng, C.-T.; Lai, C.-M. Thermal performance of microencapsulated phase change material (mPCM) in roof modules during daily operation. Energies 2018, 11, 679. [Google Scholar] [CrossRef]
- Wang, S.M.; Matiašovský, P.; Mihálka, P.; Lai, C.M. Experimental investigation of the daily thermal performance of a mPCM honeycomb wallboard. Energy Build. 2018, 159, 419–425. [Google Scholar] [CrossRef]
- Zhao, Y.; Min, X.; Huang, Z.; Liu, Y.; Wu, X.; Fang, M. Honeycomb-like structured biological porous carbon encapsulating PEG: A shape-stable phase change material with enhanced thermal conductivity for thermal energy storage. Energy Build. 2018, 158, 1049–1062. [Google Scholar] [CrossRef]
- Lai, C.M.; Hokoi, S. Thermal performance of an aluminum honeycomb wallboard incorporating microencapsulated PCM. Energy Build. 2014, 73, 37–47. [Google Scholar] [CrossRef]
- Kosny, J. PCM-Enhanced Building Components An Application of Phase Change Materials in Building Envelopes and Internal Structures, 1st ed.; Springer International Publishing: Geneva, Switzerland, 2015; Volume XV, p. 271. [Google Scholar]
- Ikutegbe, C.A.; Farid, M.M. Application of phase change material foam composites in the built environment: A critical review. Renew. Sustain. Energy Rev. 2020, 131, 110008. [Google Scholar] [CrossRef]
- Torres-Rodriguez, A.; Morillón-Gálvez, D.; Aldama-Ávalos, D.; Hernández-Gómez, V.H.; Kerdan, I.G. Thermal performance evaluation of a passive building wall with CO2-filled transparent thermal insulation and paraffin-based PCM. Sol. Energy 2020, 205, 1–11. [Google Scholar] [CrossRef]
- Mohammadzadeh, A.; Kavgic, M. Multivariable optimization of PCM-enhanced radiant floor of a highly glazed study room in cold climates. Building Simul. 2019, 13, 559–574. [Google Scholar] [CrossRef]
- Solgi, E.; Kari, B.M.; Fayaz, R.; Taheri, H. The impact of phase change materials assisted night purge ventilation on the indoor thermal conditions of office buildings in hot-arid climates. Energy Build. 2017, 150, 488–497. [Google Scholar] [CrossRef]
- Barzin, R.; Chen, J.J.J.; Young, B.R.; Farid, M.M. Application of PCM energy storage in combination with night ventilation for space cooling. Appl. Energy 2015, 158, 412–421. [Google Scholar] [CrossRef]
- Zhu, N.; Wang, S.; Ma, Z.; Sun, Y. Energy Performance and Optimal Control of Air-Conditioned Buildings with Envelopes Enhanced by Phase Change Materials. Energy Convers. Manag. 2011, 52, 3197–3205. [Google Scholar] [CrossRef]
- Konstantinidou, C.A.; Lang, W.; Papadopoulos, A.M. Multiobjective Optimization of a Building Envelope with the Use of Phase Change Materials (PCMs) in Mediterranean Climates. Int. J. Energy Res. 2018, 42, 3030–3047. [Google Scholar] [CrossRef]
- Bastani, A.; Haghighat, F.; Manzano, C.J. Investigating the effect of control strategy on the shift of energy consumption in a building integrated with PCM wallboard. Energy Procedia 2015, 78, 2280–2285. [Google Scholar] [CrossRef]
- Hagenau, M.; Jradi, M. Dynamic modeling and performance evaluation of building envelope enhanced with phase change material under Danish conditions. J. Energy Storage 2020, 30, 101536. [Google Scholar] [CrossRef]
- Barzin, R.; Chen, J.J.; Young, B.R.; Farid, M.M. Peak load shifting with energy storage and price-based control system. Energy 2015, 92, 505–514. [Google Scholar] [CrossRef]
- Toppi, T.; Mazzarella, L. Gypsum based composite materials with micro-encapsulated PCM: Experimental correlations for thermal properties estimation on the basis of the composition. Energy Build. 2013, 57, 227–236. [Google Scholar] [CrossRef]
- Lecompte, T.; Le Bideau, P.; Glouannec, P.; Nortershauser, D.; Le Masson, S. Mechanical and thermo-physical behaviour of concretes and mortars containing phase change material. Energy Build. 2015, 94, 52–60. [Google Scholar] [CrossRef]
- Franquet, E.; Gibout, S.; Tittelein, P.; Zalewski, L.; Dumas, J.-P. Experimental and theoretical analysis of a cement mortar containing microencapsulated PCM. Appl. Therm. Eng. 2014, 73, 32–40. [Google Scholar] [CrossRef]
- Stanwix, W.; Sparrow, A. The Hempcrete Book: Designing and building with hemp-lime. In Green Books; UK Hempcrete: Matlock, UK, 2014. [Google Scholar]
- Pochwala, S.; Makiola, D.; Anweiler, S.; Bohm, M. The Heat Conductivity Properties of Hemp-Lime Composite Material Used in Single-Family Buildings. Materials 2020, 13, 1011. [Google Scholar] [CrossRef]
- Collet, F.; Pretot, S. Thermal conductivity of hemp concretes: Variation with formulation, density and water content. Constr. Build. Mater. 2014, 65, 612–619. [Google Scholar] [CrossRef]
- Walker, R.; Pavía, S. Moisture transfer and thermal properties of hemp–lime concretes. Constr. Build. Mater. 2014, 64, 270–276. [Google Scholar] [CrossRef]
- Evrard, A.; Herde, A.D. Bioclimatic envelopes made of lime and hemp concrete. In Proceedings of the CISBAT2005 Conference—Renewables in a Changing Climate—Innovation in Building Envelopes and Environmental Systems, Lausanne, Switzerland, 28–29 September 2005. [Google Scholar]
- Evrard, A. Transient hygrothermal behavior of Lime-Hemp Materials. Ph.D. Thesis, Universite Catholique De Louvain, Ottignies-Louvain-la-Neuve, Belgium, 2008. [Google Scholar]
- Abdellatef, Y.; Khan, M.A.; Khan, A.; Alam, M.I.; Kavgic, M. Mechanical, Thermal, and Moisture Buffering Properties of Novel Insulating Hemp-Lime Composite Building Materials. Materials 2020, 13, 5000. [Google Scholar] [CrossRef]
- Yates, T. Final Report on the Construction of the Hemp House at Haverhill, Suffolk; Building Research Establishment: Watford, UK, 2002. [Google Scholar]
- Magwood, C. Essential Hempcrete Construction: The Complete Step-by-Step Guide; New Society Publishers: Gabriola Island, BC, Canada, 2016. [Google Scholar]
- Abdellatef, Y.; Kavgic, M. Thermal, microstructural and numerical analysis of hempcrete-microencapsulated phase change material composites. Appl. Therm. Eng. 2020, 178, 115520. [Google Scholar] [CrossRef]
- Abdellatef, Y.; Kavgic, M.; Foruzanmehr, R. Thermal and moisture buffering properties of novel hemp-lime composites integrated with microencapsulated phase change materials. In Proceedings of the 4th International Conference on Bio-based Building Materials, Barcelona, Spain, 16–18 June 2021. [Google Scholar]
- Navarro, L.; de Gracia, A.; Niall, D.; Castell, A.; Browne, M.; McCormack, S.J.; Griffiths, P.; Cabeza, L.F. Thermal energy storage in building integrated thermal systems: A review. Part 2. Integration as passive system. Renew. Energy 2016, 85, 1334–1356. [Google Scholar] [CrossRef]
- Microtek Laboratories Inc. MPCM Technical Information. Available online: https://www.microteklabs.com/ (accessed on 26 August 2021).
- WUFI® Software, 2019. Available online: www.wufi.com (accessed on 26 August 2021).
- Bird, R.B.; Stewart, W.E.; Lightfoot, E.N. Transport Phenomena; John Wiley and Sons: Hoboken, NJ, USA, 1960; ISBN 978-0-471-07392-5. [Google Scholar]
- U.S. Department of Energy. Weather Data Sources 2019. Available online: https://energyplus.net/weather (accessed on 26 August 2021).
- Liu, Y.; Harris, D.J. Measurements of wind speed and convective coefficient on the external surface of a low-rise building. Int. J. Ambient. Energy 2015, 36, 225–234. [Google Scholar] [CrossRef]
- Awbi, H.B.; Hatton, A. Natural convection from heated room surfaces. Energy Build. 1999, 30, 233–244. [Google Scholar] [CrossRef]
- Klimeš, L.; Charvát, P.; Mastani Joybari, M.; Zálešák, M.; Haghighat, F.; Panchabikesan, K.; El Mankibi, M.; Yuan, Y. Computer modelling and experimental investigation of phase change hysteresis of PCMs: The state-of-the-art review. Appl. Energy 2020, 263, 114572. [Google Scholar] [CrossRef]
- Delcroix, B.; Kummert, M.; Daoud, A. Thermal Behavior Mapping of a Phase Change Material Between the Heating and Cooling Enthalpy-temperature Curves. Energy Procedia 2015, 78, 225–230. [Google Scholar] [CrossRef]
- Pelland, S.; McKenney, D.W.; Poissant, Y.; Morris, R.; Lawrence, K.; Campbell, K.; Papadopol, P. The development of photovoltaic resource maps for Canada. In Proceedings of the 31st Annual Conference of the Solar Energy Society of Canada (SESCI), Montréal, QC, Canada, 20–24 August 2006. [Google Scholar]
- Meng, E.; Cai, R.; Sun, Z.; Yang, J.; Wang, J. Experimental study of the passive and active performance of real-scale composite PCM room in winter. Appl. Therm. Eng. 2021, 185, 116418. [Google Scholar] [CrossRef]
- Al-janabi, A.; Kavgic, M. Application and sensitivity analysis of the phase change material hysteresis method in EnergyPlus: A case study. Appl. Therm. Eng. 2019, 162, 114222. [Google Scholar] [CrossRef]
- Singh, R.; Sadeghi, S.; Shabani, B. Thermal Conductivity Enhancement of Phase Change Materials for Low-Temperature Thermal Energy Storage Applications. Energies 2019, 12, 75. [Google Scholar] [CrossRef]
















| Common Building Materials | Infill Design Types | |||
|---|---|---|---|---|
| Material | Gypsum | Cement lime plaster | Hempcrete | HPCM |
| Thickness (cm) | 2 | 1.5 | 30 | 10, 20, 30 cm |
| Density (kg/m3) | 675 | 1900 | 318 | 327 |
| Conductivity [W/(m K)] | 0.202 | 0.803 | 0.103 | 0.094 |
| Specific heat [J/(kg K)] | 850 | 850 | 1500 | Sensible = 1800 Maximum * = 5500 |
| Thermal diffusivity (m2/s) | 3.521 × 10−7 | 4.972 × 10−7 | 2.159 × 10−7 | Sensible = 1.594 × 10−7 Maximum * = 5.215 × 10−8 |
| Wall Type | Consumption (W h/m2) | Percentage Savings (%) | ||
|---|---|---|---|---|
| Heating | Cooling | Heating | Cooling | |
| Hempcrete | 36,975 | 1017 | - | - |
| HPCM10 | 35,850 | 938 | 3 | 8 |
| HPCM20 | 34,901 | 827 | 6 | 19 |
| HPCM30 | 34,240 | 806 | 7 | 21 |
| Wall Type | Mean (°C) | Standard Deviation | Minimum (°C) | Maximum (°C) |
|---|---|---|---|---|
| Hempcrete | 19.43 | 2.16 | 15.87 | 24.86 |
| HPCM10 | 19.46 | 2.12 | 16.00 | 24.75 |
| HPCM20 | 19.49 | 2.09 | 16.10 | 24.65 |
| HPCM30 | 19.51 | 2.07 | 16.19 | 24.55 |
| Consumption | Base Case | Schedule 1 | Schedule 2 | |||
|---|---|---|---|---|---|---|
| (W h/m2) | Hempcrete | HPCM10 | Hempcrete | HPCM10 | Hempcrete | HPCM10 |
| Heating | 36,975 | 35,850 | 35,344 | 34,362 | 34,216 | 33,045 |
| Cooling | 1017 | 938 | 853 | 802 | 857 | 803 |
| Consumption | Base Case | Schedule 3 | Schedule 4 | |||
|---|---|---|---|---|---|---|
| (W h/m2) | Hempcrete | HPCM10 | Hempcrete | HPCM10 | Hempcrete | HPCM10 |
| Heating | 36,975 | 35,850 | 32,753 | 31,835 | 29,024 | 28,123 |
| Cooling | 1017 | 938 | 464 | 422 | 458 | 433 |
Publisher’s Note: MDPI stays neutral with regard to jurisdictional claims in published maps and institutional affiliations. |
© 2021 by the authors. Licensee MDPI, Basel, Switzerland. This article is an open access article distributed under the terms and conditions of the Creative Commons Attribution (CC BY) license (https://creativecommons.org/licenses/by/4.0/).
Share and Cite
Kavgic, M.; Abdellatef, Y. Temperature Control to Improve Performance of Hempcrete-Phase Change Material Wall Assemblies in a Cold Climate. Energies 2021, 14, 5343. https://doi.org/10.3390/en14175343
Kavgic M, Abdellatef Y. Temperature Control to Improve Performance of Hempcrete-Phase Change Material Wall Assemblies in a Cold Climate. Energies. 2021; 14(17):5343. https://doi.org/10.3390/en14175343
Chicago/Turabian StyleKavgic, Miroslava, and Yaser Abdellatef. 2021. "Temperature Control to Improve Performance of Hempcrete-Phase Change Material Wall Assemblies in a Cold Climate" Energies 14, no. 17: 5343. https://doi.org/10.3390/en14175343
APA StyleKavgic, M., & Abdellatef, Y. (2021). Temperature Control to Improve Performance of Hempcrete-Phase Change Material Wall Assemblies in a Cold Climate. Energies, 14(17), 5343. https://doi.org/10.3390/en14175343
