Transition to Periodic Behaviour of Flow Past a Circular Cylinder under the Action of Fluidic Actuation in the Transitional Regime
Abstract
:1. Introduction
2. Problem Formulation and Numerical Approach
3. Wake Dynamics of Flow under Time-Dependent Actuation
3.1. Chaos
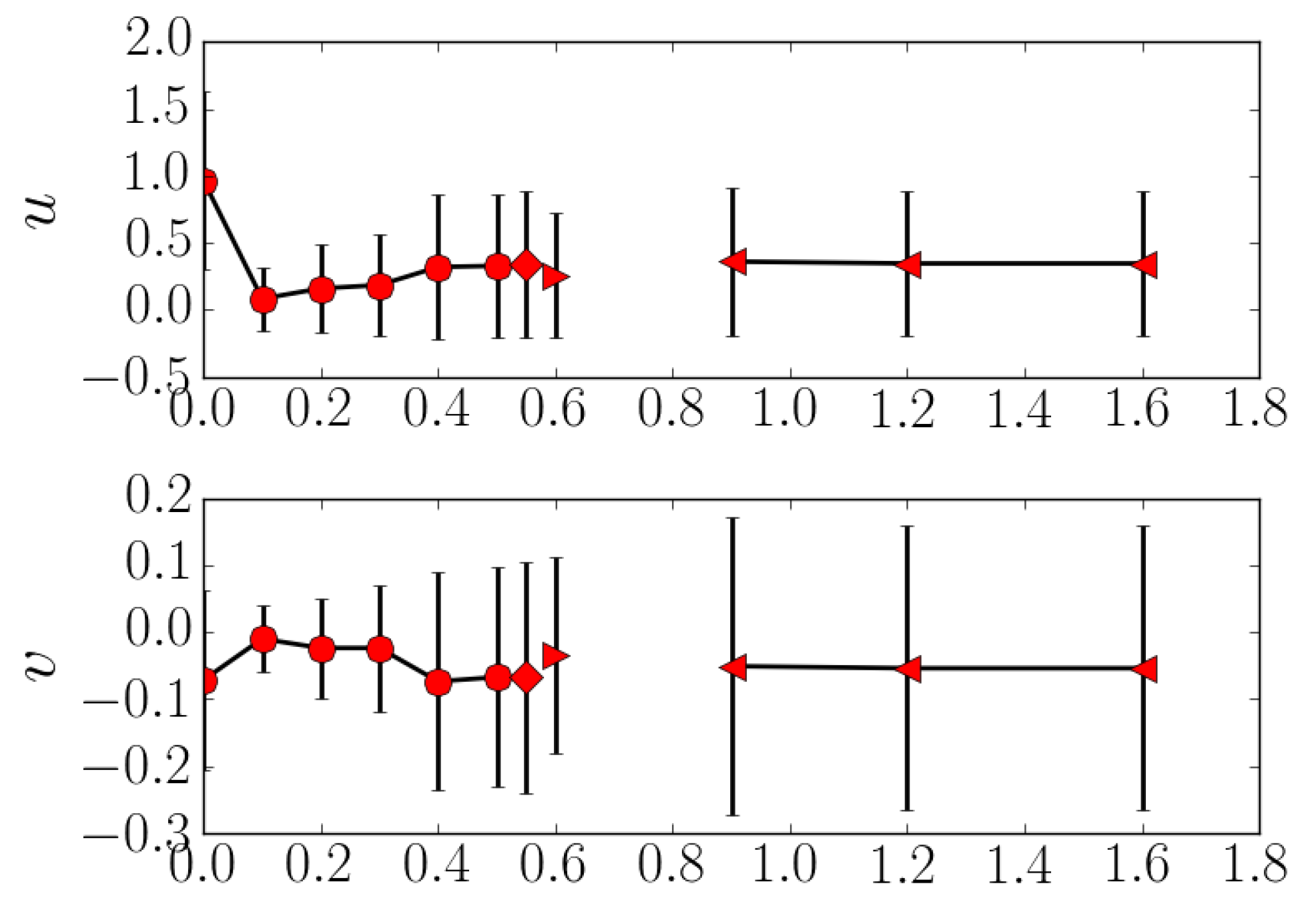
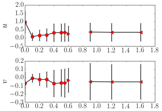
3.2. Inverse Period Doubling Cascade
4. Conclusions
Author Contributions
Funding
Institutional Review Board Statement
Informed Consent Statement
Data Availability Statement
Conflicts of Interest
References
- Feigenbaum, M.J. Quantitative universality for a class of nonlinear transformations. J. Stat. Phys. 1978, 19, 25–52. [Google Scholar] [CrossRef]
- Chen, M.; Jia, L.B.; Wu, Y.F.; Yin, X.Z.; Ma, Y.B. Bifurcation and chaos of a flag in an inviscid flow. J. Fluid Struc. 2014, 45, 124–137. [Google Scholar] [CrossRef] [Green Version]
- An, B.; Bergada, J.M.; Mellibovsky, F. The lid-driven right-angled isosceles triangular cavity flow. J. Fluid Mech. 2019, 875, 476–519. [Google Scholar] [CrossRef]
- Ruelle, D.; Takens, F. Note Concerning Our paper: “On the Nature of Turbulence”; Springer: Berlin/Heidelberg, Germany, 1971; Volume 23, pp. 343–344. [Google Scholar]
- Manneville, P.; Pomeau, Y. Different ways to turbulence in dissipative dynamical systems. Physica D 1980, 1, 219–226. [Google Scholar]
- Kelly, R.; Hu, H.C. The onset of Rayleigh–Bénard convection in non-planar oscillatory flows. J. Fluid Mech. 1993, 249, 373–390. [Google Scholar] [CrossRef]
- Karniadakis, G.E.; Triantafyllou, G.S. Three-dimensional dynamics and transition to turbulence in the wake of bluff objects. J. Fluid Mech. 1992, 238, 1–30. [Google Scholar] [CrossRef]
- Heinrichs, R.; Ahlers, G.; Cannell, D.S. Traveling waves and spatial variation in the convection of a binary mixture. Phys. Rev. A 1987, 35, 2761. [Google Scholar] [CrossRef] [PubMed]
- Zhang, J.; Liu, N.S.; Lu, X.Y. Route to a chaotic state in fluid flow past an inclined flat plate. Phys. Rev. E 2009, 79, 045306. [Google Scholar] [CrossRef] [PubMed]
- Sarwar, W.; Bergadà, J.M.; Mellibovsky, F. Onset of temporal dynamics within a low reynolds-number laminar fluidic oscillator. Appl. Math. Model. 2021, 95, 219–235. [Google Scholar] [CrossRef]
- Abdelhamidab, T.; Alama, M.M.; Islamc. Heat transfer and flow around cylinder: Effect of corner radius and Reynolds number. Int. J. Heat Mass Transfer 2021, 171, 121105. [Google Scholar]
- Henderson, R.D.; Barkley, D. Secondary instability in the wake of a circular cylinder. Phys. Fluids 1996, 8, 1683–1685. [Google Scholar] [CrossRef] [Green Version]
- Bai, H.; Alam, M.M. Dependence of square cylinder wake on Reynolds number. Phys. Fluids 2018, 30, 015102. [Google Scholar] [CrossRef]
- Barkley, D.; Henderson, R. Three-dimensional Floquet stability analysis of the wake of a circular cylinder. J. Fluid Mech. 1996, 322, 215–241. [Google Scholar] [CrossRef] [Green Version]
- Derakhshandeh, J.; Alam, M.M. A review of bluff body wakes. Oce. Eng. 2019, 182, 475–488. [Google Scholar] [CrossRef]
- Mansy, H.; Yang, P.; Williams, D. Quantitative measurements of three-dimensional structures in the wake of a circular cylinder. J. Fluid Mech. 1994, 270, 277–296. [Google Scholar] [CrossRef]
- Sarwar, W.; Mellibovsky, F. Characterization of three-dimensional vortical structures in the wake past a circular cylinder in the transitional regime. Phys. Fluids 2020, 32, 074104. [Google Scholar] [CrossRef]
- Cantwell, C.; Moxey, D.; Comerford, A.; Bolis, A.; Rocco, G.; Mengaldo, G.; De Grazia, D.; Yakovlev, S.; Lombard, J.E.; Ekelschot, D.; et al. Nektar++: An open-source spectral/hp element framework. Comp. Phys. Commu. 2015, 192, 205–219. [Google Scholar] [CrossRef] [Green Version]
- Singh, S.; Mittal, S. Flow past a cylinder: Shear layer instability and drag crisis. Int. J. Num. Meth. Fluids 2005, 47, 75–98. [Google Scholar] [CrossRef] [Green Version]









| Mesh | Method | St | ||||
|---|---|---|---|---|---|---|
| DNS | 0.2312 | 1.2299 | 1.6132 | 0.2452 | ||
| DNS | 0.2351 | 1.2346 | 1.6292 | 0.2395 | ||
| DNS | 0.2401 | 1.2409 | 1.6304 | 0.2313 | ||
| DNS | 0.2457 | 1.2476 | 1.6236 | 0.2304 | ||
| DNS | 0.2417 | 1.2416 | 1.6192 | 0.2336 | ||
| DNS | 0.2418 | 1.2409 | 1.6204 | 0.2343 |
Publisher’s Note: MDPI stays neutral with regard to jurisdictional claims in published maps and institutional affiliations. |
© 2021 by the authors. Licensee MDPI, Basel, Switzerland. This article is an open access article distributed under the terms and conditions of the Creative Commons Attribution (CC BY) license (https://creativecommons.org/licenses/by/4.0/).
Share and Cite
Sarwar, W.; Mellibovsky, F.; Alam, M.M.; Zafar, F. Transition to Periodic Behaviour of Flow Past a Circular Cylinder under the Action of Fluidic Actuation in the Transitional Regime. Energies 2021, 14, 5069. https://doi.org/10.3390/en14165069
Sarwar W, Mellibovsky F, Alam MM, Zafar F. Transition to Periodic Behaviour of Flow Past a Circular Cylinder under the Action of Fluidic Actuation in the Transitional Regime. Energies. 2021; 14(16):5069. https://doi.org/10.3390/en14165069
Chicago/Turabian StyleSarwar, Wasim, Fernando Mellibovsky, Md. Mahbub Alam, and Farhan Zafar. 2021. "Transition to Periodic Behaviour of Flow Past a Circular Cylinder under the Action of Fluidic Actuation in the Transitional Regime" Energies 14, no. 16: 5069. https://doi.org/10.3390/en14165069
APA StyleSarwar, W., Mellibovsky, F., Alam, M. M., & Zafar, F. (2021). Transition to Periodic Behaviour of Flow Past a Circular Cylinder under the Action of Fluidic Actuation in the Transitional Regime. Energies, 14(16), 5069. https://doi.org/10.3390/en14165069

