Next Article in Journal
Evaluation of Methodology for Lightning Impulse Voltage Distribution over High-Voltage Windings of Inductive Voltage Transformers
Next Article in Special Issue
Improving the Performance of Controllers for Wind Turbines on Semi-Submersible Offshore Platforms: Fuzzy Supervisor Control
Previous Article in Journal
A Minimal System Cost Minimization Model for Variable Renewable Energy Integration: Application to France and Comparison to Mean-Variance Analysis
Previous Article in Special Issue
General Methodology for the Identification of Reduced Dynamic Models of Barge-Type Floating Wind Turbines
 
 
Font Type:
Arial Georgia Verdana
Font Size:
Aa Aa Aa
Line Spacing:
Column Width:
Background:
Article

Nonlinear Optimal-Based Vibration Control of a Wind Turbine Tower Using Hybrid vs. Magnetorheological Tuned Vibration Absorber

by
Paweł Martynowicz
Department of Process Control, AGH University of Science and Technology, Mickiewicza 30 Ave, 30-059 Kraków, Poland
Energies 2021, 14(16), 5145; https://doi.org/10.3390/en14165145
Submission received: 18 July 2021 / Revised: 15 August 2021 / Accepted: 17 August 2021 / Published: 20 August 2021
(This article belongs to the Special Issue Dynamics and Control of Offshore and Onshore Wind Turbine Structures)

Abstract

:
This paper presents an implementation of a nonlinear optimal-based wind turbine tower vibration control method. An NREL 5.0 MW tower-nacelle model equipped with a hybrid tuned vibration absorber (HTVA) is analysed against the model equipped with a magnetorheological TVA (MRTVA). For control purposes, a 3 kN active actuator in parallel with a passive TVA is used in the HTVA system, while an MR damper is built in the MRTVA instead of a viscous damper, as in a standard TVA. All actuator force constraints are embedded in the implemented nonlinear control techniques. By employing the Pontryagin maximum principle, the nonlinear optimal HTVA control proposition was derived along with its simplified revisions to avoid a high computational load during real-time control. The advantage of HTVA over MRTVA in vibration attenuation is evident within the first tower bending frequency neighbourhood, with HTVA also requiring less working space. Using the appropriate optimisation fields enabled an 8-fold reduction of HTVA energy demand along with a (further) 29% reduction of its working space while maintaining a significant advantage of HTVA over the passive TVA. The obtained results are encouraging for the assumed mass ratio and actuator force limitations, proving the effectiveness and validity of the proposed approaches.

1. Introduction

Slender structures such as masts, chimneys [1], bridges [2,3], plates [4], high-rise buildings [5,6], beams [7], or wind turbines [8,9,10] are particularly vulnerable to vibrations and their consequences. Thus, most of them are equipped with vibration reduction and fatigue mitigation solutions.
Wind turbines experience time-varying external loads, including wind speed variations, wind shear (yielding differences in inflow conditions for the blades), Karman vortices, a blade passing effect, along with the unbalance or load fluctuations of the rotating machinery (and waves/ice load for offshore structures), all of them contributing to tower and blade structural vibration, fatigue, wear, or damage [11]. Previous research on wind turbine vibration [12,13], and in particular, tower vibration [14,15], shows that first and second tower bending modes (especially first lateral) are characterised with the lowest modal damping ratio. Moreover, the first tower bending mode has dominant modal mass participation (usually greater than 60%) [14]. Thus, the problem of the wind turbine towers’ first bending mode control [16,17,18] is addressed in the present paper as an illustrative example for control method implementation, using a simplified tower-nacelle model of the (onshore version) National Renewable Energy Laboratory’s (NREL) 5.0 MW wind turbine structure [12,19]. The regarded model dynamics include disturbance load without modelling nature of the disturbing forces—the model does not focus on blades or drivetrain dynamics, tower-blade interactions, etc.; while their contribution to system oscillations is represented by a concentrated force applied to the nacelle-rotor assembly (that incorporates blades, a hub, shaft, generator, and a gearbox) fixed to the top of the tower [20,21].
The concepts utilised to mitigate vibration cover (dynamic) vibration absorbers, VAs, including tuned vibration absorbers, TVAs (otherwise called tuned mass dampers, TMDs) [22], tuned liquid dampers, tuned pendulum dampers, viscoelastic/hydraulic/friction/granular dampers, bracing systems, piezoelectric actuators, etc. Among them, TVAs are the most frequently used vibration attenuation solutions. A passive TVA consists of an additional moving mass, a spring and a viscous damper, the parameters of which are tuned to the specific vibration mode of the structure [23]. Passive TVAs are effective in a narrow frequency range but cannot cope with a wider excitation spectrum [10]. In real-world conditions, the modal characteristics of many structures may vary in time due to external (e.g., temperature change, icing) or operational (e.g., mechanical wear, structure fatigue) factors [24], leading to the TVA detuning, which may be a severe problem if the structure’s damping is low. Thus, more advanced (T)VA (i.e., VA or TVA) solutions are implemented to enhance passive TVA efficiency and applicability. Among them, semiactive, active, and hybrid (T)VAs are placed. Active (T)VA uses an active cylinder/actuator in place of both a viscous damper and a spring (or in place of a viscous damper alone) [25,26]. Active (T)VAs are characterised by high efficiency; however, their energy demand and robustness concerns are fundamental. The limitations of the passive and active TVAs yielded the introduction of semiactive and hybrid solutions [27].
Semiactive TVA employs a semiactive control device to tune the TVA to the current vibration profile; the control actuators do not add mechanical energy directly to the structure, as in active TVAs [28]. Frequently used semiactive actuators include magnetorheological (MR) [29,30,31] or electrorheological (ER) dampers, variable orifice dampers, or mini electric drives that use a small amount of energy to amend system properties [6,32]. Semiactive TVAs provide wider ranges of operational frequencies or/and increased efficiency for the frequency of tuning (in comparison with passive TVAs) [16,17], higher reliability, and significantly lower energy requirements than active systems [3,28]. Simulations and experiments show that implementing a semiactive actuator (e.g., an MR damper) in the TVA system may lead to significant vibration reduction with regard to passive TVA [33,34].
Hybrid TVA (HTVA) is a combination of a passive TVA with an active actuator (sometimes with an active TVA) [27]. HTVAs are among the most common and reliable devices employed in full-scale civil engineering structures [35,36]. The active force of HTVA increases both the vibration reduction efficiency of the TVA and its robustness to changes in the dynamic behaviour of the structure. Energy/power and force requirements of a standard HTVA actuator are much lower than those of an active (T)VA of comparable performance [28]. This promoted the widespread application of HTVA for structural control and grounded our interest in it.
Specific control solutions must be used as wind turbine structural behaviour, and actuator dynamics (including force output or stroke limitations, i.e. operating characteristics saturation) are intrinsically nonlinear. Most real-time vibration control techniques are based on a simple bang-bang approach [37], soft computing methods [1], or more advanced two-stage concepts with a calculation of an optimal actuator force (being the first stage) and precise actuator force tracking (being the second stage) [3,18]. Two-stage concepts are compromised by the accuracy of mapping the required (by the first stage) force pattern with the actuator used. The most frequent force tracking problems are actuator dynamics nonlinearities and time constants/delays. For semiactive elements (as MR dampers), the impossibility to generate active forces is also a major force mapping issue. Another problem with TVA implementation is the constrained actuator force output (resulting in a far-from-optimal or even detrimental control pattern) and the limited TVA working space. The latter often requires end-stop collision dampers or additional springs of increased stiffness [38] that effectively increase (up-tune) the TVA frequency at large strokes; this may further increase the primary structure deflection amplitude. Moreover, some advanced first stage algorithms need real-time (dominant) frequency determination, which may be an issue for random (e.g., seismic) or polyperiodic (due to wind, waves, and rotation) vibrations.
Recently the author proposed an entirely different vibration control concept for a structure/system equipped with MRTVA (i.e., magnetorheological TVA, consisting of a mass, a spring, and an MR damper in parallel) [33,34], utilising nonlinear control techniques. Nonlinear control methods include Pontryagin maximum principle-based methods [7,39], control Lyapunov function-based methods [2,5,40], linearisation methods with linear optimal control theory (LQR/LQG/H2/H∞) based on the Riccati equation/approximating sequence of the Riccati equations [41,42], etc. Along with the advantages, each method group has its disadvantages, throughout which the most common is the high computational load necessary for the real-time implementation and control authority degradation in the presence of disturbances or unmodelled dynamics.
The above issues are addressed within the scope of the current paper, utilising maximum principle-based nonlinear optimal control as the derivation foundation. An NREL 5.0 MW tower-nacelle model (representing the first tower bending mode) with HTVA is considered a research platform for this tower vibration reduction problem. The analysed configuration may be regarded as an HTVA installed in the nacelle (in a side-side direction of operation) to address the tower’s first lateral bending mode of the lowest modal damping ratio. The HTVA actuator force nonlinearities are embedded in the proposed control method, eliminating possible efficiency and robustness issues associated with a calculated optimal or optimal-based control function inaccurately mapped or beyond the permissible actuator range. The produced control is a direct input signal (i.e., voltage) of the assumed exemplary actuator.
This paper is organised as follows. In the following section, the regarded model is introduced. Subsequently, the optimal control problem formulation and solution are given. Then, implementation techniques, including optimal-based control and hybrid ground-hook control, are derived. Test configurations are described afterwards. The paper is summarised with control results, remarks, and conclusions.

2. NREL 5.0 MW Tower-Nacelle Model with HTVA

The tower-nacelle model of the NREL 5.0 MW wind turbine structure [12,19] is considered a primary vibrating system. The control analysis focuses on the 1st bending mode of the tower—the associated modal parameters are mass m1, stiffness k1, and damping c1 (Figure 1). An HTVA of mass m2, stiffness k2, damping c2, and active force Fa of maximum absolute value Fsat is built at the top of a tower/in the nacelle (where the maximum deflection of the regarded mode occurs) to address the tower’s 1st bending mode attenuation effectively. The movements of both m1 and m2 are restricted to being linear displacement x1 and x2 (respectively) along the horizontal axis, which is also the axis of an excitation force Fe applied to the nacelle/rotor (assuming small tower deflection angles). Based on the previous research, the mass m2 is assumed to be 10 tons (2.33% of m1) to optimise performance vs. the added mass ratio [16,19,34,43,44]. The stiffness (k2) and damping (c2) parameters were calculated according to Den Hartog [23]. The values of the regarded system parameters are presented in Table 1, while the system diagram is depicted in Figure 1.

3. Optimal Control Problem Formulation and Solution

Consider the equation of a vibrating system with an HTVA:
z ˙ ( t ) = f ( z ( t ) , u ( t ) , t ) , t [ t 0 , t 1 ] ,
where z ( t ) is a state vector:
z ( t ) = [ z 1 ( t ) z 2 ( t ) z 3 ( t ) z 4 ( t ) ] T
with the initial condition:
z ( t 0 ) = z 0
u ( t ) is a piecewise-continuous, scalar control function ( u ( t ) U ), and the quality index to be minimised is:
G ( z , u ) = t 0 t 1 g ( z ( t ) , u ( t ) , t ) d t
Following Section 2, assume: z 1 = x 1 , z 2 = x ˙ 1 , z 3 = x 2 , z 4 = x ˙ 2 , thus:
f ( z ( t ) , u ( t ) , t ) = [ z 2 ( t ) 1 m 1 ( ( k 1 + k 2 ) z 1 ( t ) ( c 1 + c 2 ) z 2 ( t ) + k 2 z 3 ( t ) + c 2 z 4 ( t ) F a ( t ) + F e ( t ) ) z 4 ( t ) 1 m 2 ( k 2 z 1 ( t ) + c 2 z 2 ( t ) k 2 z 3 ( t ) c 2 z 4 ( t ) + F a ( t ) ) ]
where F e ( t ) is the excitation force applied to the primary structure. To account for the actuator operating characteristics’ nonlinearity (Figure 2), as in [45] (with negative forces incorporated to obtain the profile symmetrical with respect to the origin), including its output force F a constraints, i.e., saturation to [ F s a t ,   F s a t ] range ( F s a t > 0 , see Table 1), it was further assumed:
  • an actuator input voltage v ( t ) = a 1 sin u ( t ) constrained to [ a 1 ,   a 1 ] V range,
  • an unconstrained control signal u ( t ) U , U = ( ,   ) ,
  • an actuator force F a ( v ( t ) ) = F m tgh ( a 2 v ( t ) ) ; thus: F a ( u ( t ) ) = F m tgh ( a sin u ( t ) ) (see Table 1, a = a 1 a 2 ; note that tgh ( a ) 1 with roundoff error below 10—5).
The actuator time constants were assumed negligible for the current analysis stage (time constant associated with the regarded NREL 5.0 MW first tower bending mode is above 3 s).
The considered quality index is:
g ( z ( t ) , u ( t ) , t ) = g 11 z 1 2 ( t ) + g 12 z 2 2 ( t ) + g 13 ( z 1 ( t ) z 3 ( t ) ) 2 + g 14 ( z 2 ( t ) z 4 ( t ) ) 2 + g 22 F a 2 ( u ( t ) ) + g 23 P a 2 ( z ( t ) , u ( t ) , t )
to account for the minimisation of the primary structure displacement z 1 and velocity z 2 , the HTVA stroke z 1 z 3 and relative velocity z 2 z 4 , and the actuator control force F a and power P a , where: P a ( z ( t ) , u ( t ) , t ) = F a ( u ( t ) ) ( z 2 ( t ) z 4 ( t ) ) .
Assume a Hamiltonian function in the form:
H ( ξ ( t ) , z ( t ) , u ( t ) , t ) = g ( z ( t ) , u ( t ) , t ) + ξ T ( t ) f ( z ( t ) , u ( t ) , t )
If (𝑧∗(𝑡), 𝑢∗(𝑡)) is an optimal controlled process, there exists an adjoint (co-state) vector function ξ satisfying the equation:
ξ ˙ ( t ) = f z T ( z ( t ) , u ( t ) , t ) ξ ( t ) + g z T ( z ( t ) , u ( t ) , t ) ,       t [ t 0 , t 1 ]
with a terminal (transversality) condition:
ξ ( t 1 ) = 0
so that u ( t ) maximises the Hamiltonian over the set U for almost all t [ t 0 , t 1 ] (Pontryagin maximum principle) [46]. The functions f and g are assumed to be continuously differentiable with respect to the state and continuous with respect to time and control, while f z   and g z are f and g derivatives with respect to z .
For the regarded system, the co-state vector is:
ξ ( t ) = [ ξ 1 ( t ) ξ 2 ( t ) ξ 3 ( t ) ξ 4 ( t ) ] T
while:
f z T ( z ( t ) , u ( t ) , t ) = [ 0 1 m 1 ( k 1 + k 2 ) 0 1 m 2 k 2 1 1 m 1 ( c 1 + c 2 ) 0 1 m 2 c 2 0 1 m 1 k 2 0 1 m 2 k 2 0 1 m 1 c 2 1 1 m 2 c 2   ]
and:
g z T ( z ( t ), u ( t ),t ) =[ 2 g 11 z 1 ( t )+2 g 13 ( z 1 ( t ) z 3 ( t ) ) 2 g 12 z 2 ( t )+2 g 23 F a 2 ( u ( t ) )( z 2 ( t ) z 4 ( t ) )+2 g 14 ( z 2 ( t ) z 4 ( t ) ) 2 g 13 ( z 1 ( t ) z 3 ( t ) ) 2 g 23 F a 2 ( u ( t ) )( z 2 ( t ) z 4 ( t ) )2 g 14 ( z 2 ( t ) z 4 ( t ) ) ]
The Hamiltonian maximisation condition is [46]:
H ( ξ ( t ) , z ( t ) , u ( t ) , t ) u ( t ) = a cos ( u ( t ) ) ( 1 t g h 2 ( a sin u ( t ) ) ) { 1 m 2 ξ 4 ( t ) 1 m 1 ξ 2 ( t ) 2 F m t g h ( a sin u ( t ) ) ( g 22 + g 23 ( z 2 ( t ) z 4 ( t ) ) 2 ) } = 0 ,
or (assuming g 22 0 ; note that a ( 1 t g h 2 ( a sin u ( t ) ) ) > 0 for all u ( t ) U ):
cos ( u ( t ) ) { 1 2 F m [ g 22 + g 23 ( z 2 ( t ) z 4 ( t ) ) 2 ] ( 1 m 2 ξ 4 ( t ) 1 m 1 ξ 2 ( t ) ) t g h ( a sin u ( t ) ) } = 0
with the appropriate sign change regime, as analysed hereinafter; for attention, consider u ( t ) range of [ π / 2 ,   π / 2 ] (see Figure 3, including zoom of point ( π / 2 ,   1 ) neighbourhood in its top left corner).
Equation (14) yields proposition (15a)–(15c) covering three disjoint and complementary cases (see Figure 3):
1.
if   { 1 2 F m [ g 22 + g 23 ( z 2 ( t ) z 4 ( t ) ) 2 ] ( 1 m 2 ξ 4 ( t ) 1 m 1 ξ 2 ( t ) ) } t g h ( a ) , then (14) is fulfilled and H ( ξ ( t ) , z ( t ) , u ( t ) , t ) u ( t ) exhibits + / sign change (Hamiltonian maximisation) for: u ( t ) = π 2 only, so:
v ( t ) = a 1 , F a ( u ( t ) ) = F m t g h ( a ) = F s a t
2.
if   { 1 2 F m [ g 22 + g 23 ( z 2 ( t ) z 4 ( t ) ) 2 ] ( 1 m 2 ξ 4 ( t ) 1 m 1 ξ 2 ( t ) ) } t g h ( a ) , then (14) is fulfilled and H ( ξ ( t ) , z ( t ) , u ( t ) , t ) u ( t ) exhibits + / sign change for: u ( t ) = π 2 only, so:
v ( t ) = a 1 , F a ( u ( t ) ) = F m t g h ( a ) = F s a t ,
3.
  if   { 1 2 F m [ g 22 + g 23 ( z 2 ( t ) z 4 ( t ) ) 2 ] ( 1 m 2 ξ 4 ( t ) 1 m 1 ξ 2 ( t ) ) } ( t g h ( a ) ,   t g h ( a ) ) ,   then (14) is fulfilled and H ( ξ ( t ) , z ( t ) , u ( t ) , t ) u ( t ) exhibits + / sign change for: t g h ( a sin u ( t ) ) = 1 2 F m [ g 22 + g 23 ( z 2 ( t ) z 4 ( t ) ) 2 ] ( 1 m 2 ξ 4 ( t ) 1 m 1 ξ 2 ( t ) ) only, so:
v ( t ) = 1 a 2 a r c t g h { 1 2 F m [ g 22 + g 23 ( z 2 ( t ) z 4 ( t ) ) 2 ] ( 1 m 2 ξ 4 ( t ) 1 m 1 ξ 2 ( t ) ) } , F a ( u ( t ) ) = 1 2 [ g 22 + g 23 ( z 2 ( t ) z 4 ( t ) ) 2 ] ( 1 m 2 ξ 4 ( t ) 1 m 1 ξ 2 ( t ) )
The obtained solution is consistent with [33,47].

4. Implementation Techniques

The common implementation technique of the optimal control for nonlinear systems is an offline computation of the u ( t ) pattern using the two-point boundary value problem (BVP) (1)(3)(8)(9) solution. Nonetheless, (so determined) open-loop control does not provide robustness to uncertainties such as unmodeled dynamics and perturbations of external forces or initial conditions. Thus, perturbation control techniques are often employed [39,48]. However, proper linearisation may be a problem for many nonlinear systems with implicit relations, actuator saturation, etc. Here, the author proposes another approach.

4.1. Optimal-Based Control

To address the above issues regarding uncertain systems with nonlinearities, the BVP (1)(3)(8)(9) may be solved at each sampling step ( t s ) of the real-time implementation. Recently, numerical and experimental implementation of such a nonlinear optimal control technique for a system with an MRTVA (see Section 5.2) was realised with the MATLAB/Simulink s-function and the bvp4c two-point BVP solving algorithm employed at every sampling step [33,49]. It was also shown that the BVP iteration procedure implicating large computational load might be omitted while maintaining robustness to external disturbances and unmodelled dynamics [33,34] by utilising a short time horizon of, one after the other, optimal problem task with appropriate resetting time (i.e., terminal time t 1 ) of co-state integrators. As was previously proven [33], it may be demonstrated for the current study (see the following Remark 1) that the influence of the transversality condition (9) error is negligible. Thus, the optimal-based vibration control of the structure/system with HTVA, with all of its advantages (as method-embedded nonlinearities and various optimisation fields covered by the quality index), may be implemented in real-time using a simple data acquisition and control environment. In the present analysis, the baseline optimisation horizon of ten sampling steps is assumed. This approach is further designated simply by HTVA.
Remark 1.
Some crucial steps of the transversality condition error analysis are given below (the detailed analysis–for the MRTVA application–is presented in [33]).
Let τ be an arbitrary continuity point of the optimal control u ( t ) , and a needle-like variation of u ( t ) is defined as:
u λ ( t ) = { u ( t ) ,   if   t [ τ λ , τ )   μ ,   if   t [ τ λ , τ )
for μ being an arbitrary, fixed element of the set U , and sufficiently small λ . From [46]:
y ( τ ) = f ( z ( τ ) , μ , τ ) f ( z ( τ ) , u ( τ ) , τ ) .
For any t [ τ , t 1 ] :
y ( t ) = y ( τ ) + τ t f z ( z ( θ ) , u ( θ ) , θ ) y ( θ ) d θ .
Thus, the function y ( t ) is the solution of:
y ˙ ( t ) = f z ( z ( t ) , u ( t ) , t ) y ( t ) ,
on [ τ , t 1 ] with the initial condition (17). Hence:
ξ T ( t ) y ( t ) = t t 1 g z ( z ( θ ) , u ( θ ) , θ ) y ( θ ) d θ + ξ T ( t 1 ) y ( t 1 ) .
Here, in the elementary proof of the maximum principle [46] it is assumed: ξ ( t 1 ) = 0 according to (9). If ξ ( t 1 ) 0 , thus for t = τ (17):
ξ T ( τ ) [ f ( z ( τ ) , u ( τ ) , τ ) f ( z ( τ ) , μ , τ ) ] = τ t 1 g z ( z ( θ ) , u ( θ ) , θ ) y ( θ ) d θ ξ T ( t 1 ) y ( t 1 ) .
For ( z ( t ) , u ( t ) ) being an optimal control process:
g ( z ( τ ) , μ , τ ) g ( z ( τ ) , u ( τ ) , τ ) τ t 1 g z ( z ( θ ) , u ( θ ) , θ ) y ( θ ) d θ .
Using (21) we get:
g ( z ( τ ) , u ( τ ) , τ ) + ξ T ( τ ) f ( z ( τ ) , u ( τ ) , τ ) g ( z ( τ ) , μ , τ ) + ξ T ( τ ) f ( z ( τ ) , μ , τ ) ξ T ( t 1 ) y ( t 1 ) ,
This can be written in the equivalent form:
H ( ξ ( τ ) , z ( τ ) , u ( τ ) , τ ) H ( ξ ( τ ) , z ( τ ) , μ , τ ) ξ T ( t 1 ) y ( t 1 ) .
For ξ ( t 1 ) = 0 , the maximum principle is easily proved. For ξ ( t 1 ) 0 , however, the product: ξ T ( t 1 ) y ( t 1 ) in (24) is estimated by calculating y ( t 1 ) with the use of equations (17) and (19). It was assumed: y ( τ ) = f ( z ( τ ) , u ( τ ) , τ ) , which is of the order of magnitude equal or higher than: f ( z ( τ ) , μ , τ ) f ( z ( τ ) , u ( τ ) , τ ) , being the right-hand-side (RHS) of (17), concerning the values of the terms present in RHS of (5) for the regarded system parameters (Table 1) and value ranges of F e ( t ) , F a ( u ( t ) ) and excitation frequencies. Note that f ( z ( τ ) , μ , τ ) is of the order of f ( z ( τ ) , u ( τ ) , τ ) as μ U in (16). Based on (24), the transversality condition (9) error ε ( τ ) is calculated as follows (considering H ( ξ ( τ ) , z ( τ ) , u ( τ ) , τ ) 0 ):
H ( ξ ( τ ) , z ( τ ) , μ , τ ) H ( ξ ( τ ) , z ( τ ) , u ( τ ) , τ ) 1 + ε ( τ ) ,
ε ( τ ) = ξ T ( t 1 ) y ( t 1 ) H ( ξ ( τ ) , z ( τ ) , u ( τ ) , τ ) .
The values of the quotient ε ( τ ) (26) are negligible for most of the time instants, except those corresponding to the protected structure deflection (nacelle-assembly displacement) x1 sign change neighbourhood; thus, Hamiltonian is close to zero. Therefore, the control results are considered credible in all but a minor amount of time samples. The exemplary ε ( τ ) patterns for excitation frequencies of 0.27 Hz and 0.30 Hz, and t 1 = 10 t s , are presented in Figure 4. The value of τ = t s = 10 4 s was assumed; ε ( τ ) time patterns for different τ values are equivalent.

4.2. Hybrid Ground-Hook Control

On the basis of the proposition (15a)–(15c), the ground hook law for the HTVA is derived. For nonzero (positive) g 22 and F m values, a sign of the term: { 1 2 F m [ g 22 + g 23 ( z 2 ( t ) z 4 ( t ) ) 2 ] ( 1 m 2 ξ 4 ( t ) 1 m 1 ξ 2 ( t ) ) } (being the (15a)–(15c) antecedent left-hand-side, LHS) is consistent with the sign of the term: ξ 2 ( t ) , as: 1 m 1 ξ 2 ( t ) is many orders of magnitude greater than: 1 m 2 ξ 4 ( t ) for dominant g 11 value in the quality index (4) (i.e., when the primary structure/system displacement amplitude minimisation is a dominant objective). Moreover, the co-state dynamics’ (8) first and second equation RHS s yield: s g n ( ξ 2 ( t ) ) s g n ( x 1 ( t ) ) , thus:
s g n { 1 2 F m [ g 22 + g 23 ( z 2 ( t ) z 4 ( t ) ) 2 ] ( 1 m 2 ξ 4 ( t ) 1 m 1 ξ 2 ( t ) ) } s g n ( x 1 ( t ) ) .
The simulations prove that Formula (27) gives an adequately precise approximation of the proposition (15a)–(15c) antecedent LHS sign.
For adequately high g 11 , it holds:
| 1 2 F m [ g 22 + g 23 ( z 2 ( t ) z 4 ( t ) ) 2 ] ( 1 m 2 ξ 4 ( t ) 1 m 1 ξ 2 ( t ) ) | t g h ( a ) ,
for almost all time samples (see control F a time patterns of values being equal to F s a t for g 11 = 10 18 , Section 6), effectively eliminating case 3 (15c) from the control proposition (15a)–(15c).
Thus, on the basis of (27) and (28), when the primary structure/system displacement amplitude minimisation is a sole objective, the HTVA optimal control proposition (15a)–(15c) simplifies to:
v ( t ) = a 1   s g n ( x 1 ( t ) ) , F a ( t ) = F s a t   s g n ( x 1 ( t ) ) ,
which is a two-level optimal-based displacement ground-hook law [37] (designated further by HTVA-GH), similar to the one derived by the author earlier for the MRTVA [33].

5. Test Configurations

The utilisation of the optimal-based HTVA is combined with the optimal-based MRTVA and a passive TVA tuned according to [23], hereinafter designated by passive TVA.

5.1. Optimal-Based Control for the Wind Turbine Tower-Nacelle Model with HTVA

For the purpose of the real-time control of the wind turbine (NREL 5.0 MW) tower first bending mode, the HTVA implementation techniques described in Section 2, Section 3 and Section 4 are adopted: the optimal-based HTVA control is analysed along with the HTVA-GH law. The system parameters as in Table 1 are used along with the control force proposition (15a)–(15c).

5.2. Optimal-Based Control for the Wind Turbine Tower-Nacelle Model with MRTVA

The optimal-based MRTVA is implemented based on [34] (Figure 5), where the MR damper force F m r is given by:
F m r ( z ( t ) , i m r ( t ) , t ) = ( C 1 i m r ( t ) + C 2 ) tanh { ν [ ( z 4 ( t ) z 2 ( t ) ) + ( z 3 ( t ) z 1 ( t ) ) ] } + ( C 3 i m r ( t ) + C 4 ) [ ( z 4 ( t ) z 2 ( t ) ) + ( z 3 ( t ) z 1 ( t ) ) ] ,
according to the hyperbolic tangent model—an upscaled version of the MR damper as in [33,34,50], while i m r ( t ) is the MR damper coil current obtained based on nonlinear optimal control problem formulation and solution (its construct is given by proposition (18) in [34] and omitted here for clarity), respecting the MR damper dynamics, resistance force constraints, and input current limitation to [ 0 ,   i m a x ] range [33,34]. The value of i m a x = 1.0 [A] was adopted. For the MRTVA implementation, the considered quality function is based on [34]:
g ( z ( t ) , i m r ( t ) , t ) = g 11 z 1 2 ( t ) + g 12 z 2 2 ( t ) + g 13 ( z 1 ( t ) z 3 ( t ) ) 2 + g 14 ( z 2 ( t ) z 4 ( t ) ) 2 + g 21 i m r 2 ( t ) + g 22 F m r 2 ( z ( t ) , i m r ( t ) , t ) ,  
to minimise the primary structure deflection z 1 and velocity z 2 , the MR damper stroke z 1 z 3 and piston velocity z 2 z 4 , and the MR damper control current i m r and force F m r . For the current study, the quality index (31) weights were set to minimise the primary structure deflection as a sole objective, or along with the MR damper force minimisation. For the purpose of the MR damper implementation instead of a viscous one (as for HTVA, see Figure 1 and Table 1), TVA spring stiffness was re-tuned to the k2MR value (see Figure 5 and Table 2), as the MR damper resistance force also contains a stiffness component. The assumed MR damper model (30) parameters are given in Table 2. The above-described solution is further designated by MRTVA.

5.3. Test Conditions

Test condition parameters are assumed as follows. The wind turbine tower-nacelle model is excited by a harmonic force of a frequency range [ 0.20 ,   0.45 ] Hz (corresponding to the regarded NREL 5.0 MW towers 1st bending mode frequency neighbourhood) and an amplitude A ( F e ( t ) ) = 21 kN, applied horizontally to the nacelle/rotor. A fixed sampling step t s = 10 4 s is adopted, while the optimisation horizon t 1 = 10 t s is assumed, if not stated otherwise.
The weighting factors for the HTVA quality index (6) are assumed concerning (control conf. I–III):
  • minimisation of the primary structure deflection (nacelle-assembly displacement) x 1 amplitude as the sole objective: g 11 = 10 18 , g 12 = g 13 = g 14 = g 23 = 0 , g 22 = 4   ·   10 12 (additionally, t 1 = 10 2 t s was regarded);
  • minimisation of the primary structure deflection x 1 amplitude, considering lower (than for conf. I) deflection amplitude weight with regard to actuator force weight: g 11 = 5   ·   10 6 , g 12 = g 13 = g 14 = g 23 = 0 , g 22 = 4   ·   10 12 ;
  • minimisation of the primary structure deflection x 1 amplitude, along with the actuator mean power: g 11 = 5   ·   10 6 (structure deflection vs. actuator force consideration as for conf. II), g 12 = g 13 = g 14 = 0 , g 22 = 4   ·   10 12 , g 23 = 1   ·   10 10 or g 23 = 4   ·   10 10 .
The nonzero g 22 value was set for all above configurations to eliminate any division-by-zero risk in Equation (14) and proposition (15a)–(15c) antecedent.
The weighting factors for the MRTVA quality index (17) are assumed concerning (control conf. IV–V):
IV.
minimisation of the primary structure deflection (nacelle-assembly displacement) x 1 amplitude as the sole objective: g 11 = 10 18 , g 12 = g 13 = g 14 = g 22 = 0 , g 21 = 4 ;
V.
minimisation of the primary structure deflection x 1 amplitude along with the MR damper force: g 11 = 10 18 , g 12 = g 13 = g 14 = 0 , g 21 = 4 , g 22 = 1 or g 22 = 2 .

6. Control Results and Discussion

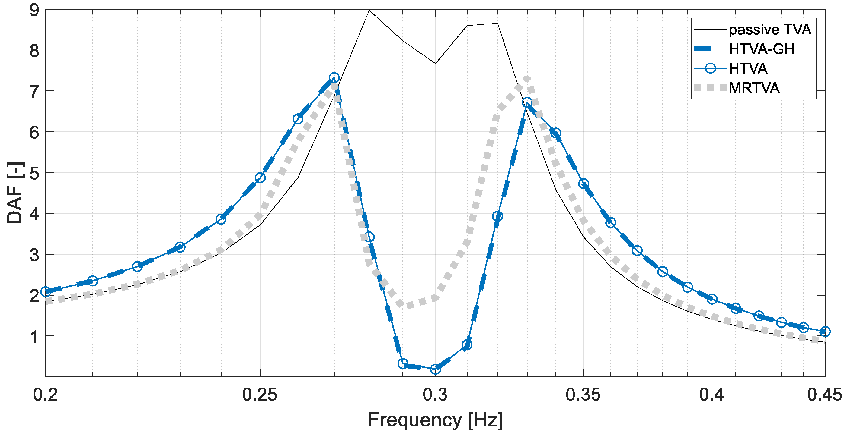
The efficiency of the HTVA (vs. MRTVA) is analysed employing frequency characteristics of the dynamic amplification factor (DAF):
D A F = A ( x 1 ( t ) ) A ( F e ( t ) ) / k 1 ,
as well as the actuator (vs. MR damper) stroke amplitude A ( x 1 x 2 ), and the actuators mean power AP and maximum force limit combined with the MR damper maximum force MRF (A(•) states for amplitude). Moreover, time patterns of the primary structure deflection (nacelle-assembly displacement) x 1 , actuator stroke x 1 x 2 , actuator force F a , spring force F s , and viscous damper force F d are analysed.
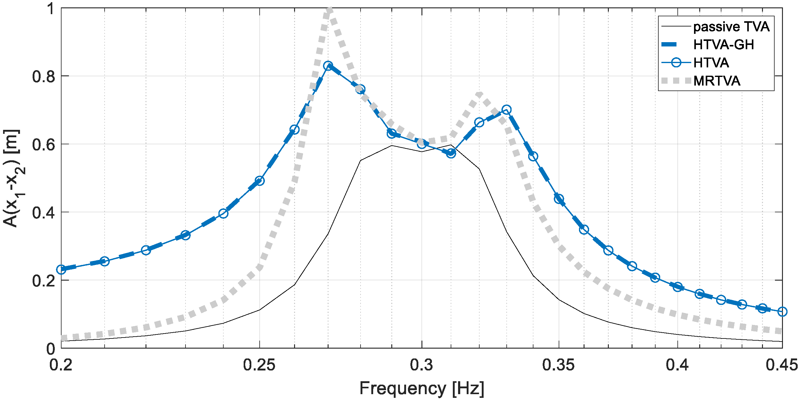
Figure 6, Figure 7, Figure 8, Figure 9, Figure 10 and Figure 11 present the frequency characteristics of DAF, and A ( x 1 x 2 ) , respectively, obtained for the HTVA vs. MRTVA optimal-based control implementations, with regard to the passive TVA. Figure 6, Figure 7, Figure 8 and Figure 9 combine DAF and A ( x 1 x 2 ) frequency characteristics (respectively) obtained for passive TVA vs. HTVA–GH vs. HTVA vs. MRTVA systems. Figure 7, Figure 8, Figure 9 and Figure 10 present frequency patterns of DAF and A ( x 1 x 2 ) , respectively, for the HTVA system with different values of g 11 (the primary structure deflection weight) and g 23 (the actuator mean power weight). Similarly, Figure 8, Figure 9, Figure 10 and Figure 11 present DAF and A ( x 1 x 2 ) frequency characteristics obtained for the MRTVA system with different g 22 values (the MR damper force weight). Additionally, Figure 12 presents the actuator mean power frequency characteristics for HTVA with different g 11 and g 23 weights vs. HTVA-GH, while Figure 13 combines the MR damper maximum force for MRTVA with different g 22 values and HTVA actuator force limit of 3.0 kN.
Figure 14, Figure 15 and Figure 16 present the comparison of the x 1 , x 1 x 2 , F a , F s , and F d time patterns obtained for HTVA, HTVA-GH, and passive TVA systems at the frequency points of: 0.27 Hz, 0.28 Hz and 0.30 Hz (see DAF and A ( x 1 x 2 ) values at these frequency points in Figure 6, Figure 7, Figure 8, Figure 9 and Figure 10). Time patterns obtained for the MRTVA system are presented in [33,34].
Observing the comparison of DAF frequency characteristics in Figure 6, it is evident that implementation of both HTVA (either HTVA-GH, or HTVA) with 3.0 kN actuator, and MRTVA with MRF of 9.2 kN, leads to significant NREL 5.0 MW tower vibration reduction in comparison to a system with a passive TVA of the same absorber mass ratio. However, HTVA (HTVA-GH, and HTVA conf. I), due to its active force of the demanded value and sign, is capable of lowering DAF almost to zero in the 1st tower bending frequency (ca. 3.0 Hz) neighbourhood, where optimal damping ratio is zero. In contrast, MRTVA (conf. IV) lowers the DAF value to ca. 1.8, as the MR damper residual force at zero current is always nonzero, and the force sign is arbitrary. Maximum DAF values for both HTVA and MRTVA are ca. 7.3. Yet, these values of DAF are quite satisfactory for the 2.33% TVA mass ratio. In comparison, minimum and maximum DAF values within the 1st bending frequency neighbourhood for passive TVA are 7.7 and 9.0, respectively. The influence of g 11 (the tower deflection weight) and g 23 (the actuator mean power weight) values on DAF is evident in Figure 7. The weighting factors of the conf. I yield the most favourable DAF patterns; however, this comes at the cost of the longest TVA stroke required (as for HTVA-GH, see Figure 9 and Figure 10) and, especially, the highest mean power/energy demand (although slightly lower than for HTVA-GH, Figure 12). The conf. II yields a somewhat higher minimum DAF within the 1st bending frequency neighbourhood, but the TVA stroke is slightly lower, while the power/energy demand is significantly reduced. Finally, the conf. III yields raised minimum DAF values within the 1st bending frequency neighbourhood, although maximum DAF values are, on the other hand, lowered below 7.0; moreover, stroke amplitudes are considerably reduced—even below 0.6 m ( g 23 = 4 · 10 10 ; ca. 30% reduction with regard to conf. I, t 1 = 10 2 t s )—similar to passive TVA, while the demanded energy is reduced massively (8-fold for g 23 = 4   ·   10 10 with regard to conf. I, t 1 = 10 2 t s ). Concerning the MRTVA dependence on the MR damper force weight, setting nonzero g 22 , conf. V (vs. g 22 = 0 , conf. IV) yields DAF patterns (Figure 8) with the local minimum value raised, lowered two maxima for g 22 = 1 (see comment above for conf. III), and leads to an ca. 16% reduction in the maximum demanded MR damper force (see Figure 13) and, at the same time, 40% reduction in the damper stroke amplitude (Figure 11). Maximum A ( x 1 x 2 ) values for conf. V are similar to both passive TVA and HTVA conf. III with g 23 = 4   ·   10 10 (Figure 10).
It may be concluded that both HTVA and MRTVA yield tower vibration reduction compared to the passive TVA. The highest DAF reduction efficiency is observed for HTVA conf. I and HTVA-GH with a 0.83 m stroke amplitude and 3.0 kN actuator force/25.6 kW mean actuator power. The best MRTVA based solution is conf. IV with the 1.0 m stroke amplitude and 9.2 kN MR damper maximum force. Concerning DAF, the advantage of HTVA solutions (HTVA-GH, and HTVA conf. I) over MRTVA (conf. IV) is evident within the 1st tower bending frequency –5/+10% neighbourhood (Figure 6), using 17% less working space (Figure 9); however, MRTVA uses only minimal (signal level) energy, to amend MR damper operating properties, as compared with HTVA. The interesting alternatives are HTVA conf. III, and MRTVA conf. V with g 22 = 1 . Compared with the passive TVA, they require similar working space, while DAF reduction is quite significant. The actuator mean power in conf. III is as low as 7.6 kW or even 3.2 kW ( g 23 = 1   ·   10 10 or g 23 = 4 · 10 10 , respectively), while the required MR damper force for conf. V is ca. 7.7 kN. In conclusion, by increasing the g 23 weight of HTVA (or g 22 weight of MRTVA), effective vibration attenuation is obtained with reduced mean actuator power (or reduced MR damper force); thanks to this, reasonable performance is attainable using a significantly (8-fold) lower energy amount (or MR damper characterised with 16% lower resistance force).
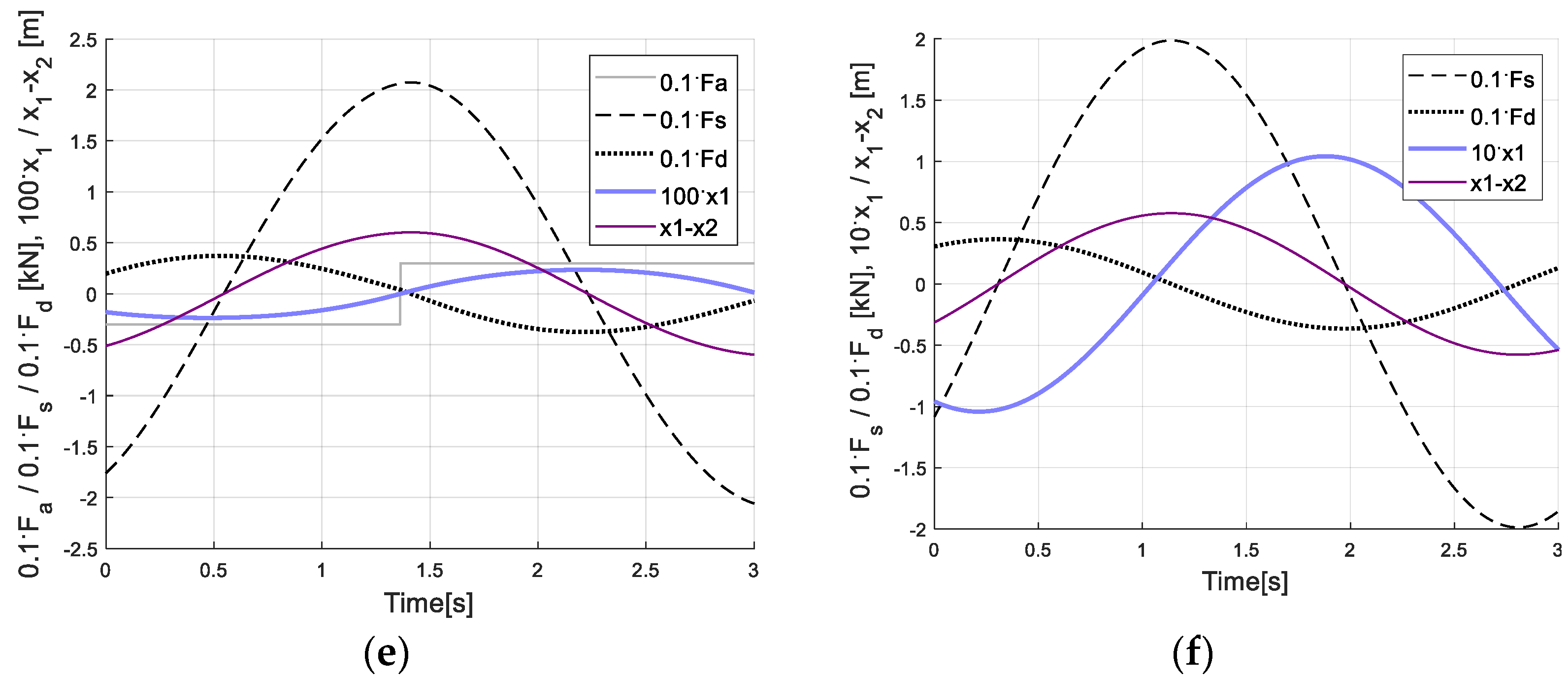
Time patterns presented in Figure 14, Figure 15 and Figure 16 give the possibility to compare control force F a characteristics, as well as the effectiveness of HTVA with different g 11 and g 23 values (a ÷ d) and HTVA-GH (e), combined with passive TVA (f). Both HTVA conf. I (a) and conf. II (b) are distinguished by high-frequency bang-bang (0, ±Fsat) control patterns, although for lower g 11 value (conf. II), very short transition time ranges corresponding to the proposition (15c) may be observed. HTVA conf. I (a) (corresponding to the highest g 11 weight) along with HTVA-GH (e) both exhibit the best A ( x 1 ) reduction efficiency overall, especially at 0.30 Hz excitation frequency (Figure 16, mind different ordinate labels for (a) and (e)). The difference in HTVA conf. I (a) and HTVA-GH (e) control patterns (high-frequency high-duty-cycle bang-bang switches vs. simple bang-bang switches) yield slightly lower mean actuator power (energy demand) for HTVA conf. I. The influence of nonzero g 23 is evident when observing HTVA conf. III control F a patterns (c) and (d), characterised with the actuator force trimming that is more evident for greater g 23 value (d), yielding significantly reduced mean actuator power (Figure 12) and hence energy demand.
The greater the (H)TVA stroke amplitude A ( x 1 x 2 ) (that is influenced by the control force F a pattern), the higher the spring force component F s and (for the same frequency) viscous damper force component F d . Based on Figure 14, Figure 15 and Figure 16, it may be seen that F a is set in phase with x 1 , which confirms (29). Considering the F a sign in (5) indicates that control force F a opposes primary structure deflection x 1 .

7. Conclusions

The current research aimed to compare the optimal-based vibration control solutions for the wind turbine towers 1st bending mode, utilising the tower-nacelle model of the NREL 5.0 MW wind turbine equipped with a nonlinear HTVA vs. MRTVA. Employing the Pontryagin maximum principle, the nonlinear optimal HTVA control proposition was derived along with its simplified revisions to avoid high computational load BVP solving during real-time control. The developed techniques were successfully implemented and verified by simulation analyses against the previously developed MRTVA control solution. The derived simple optimal-based hybrid ground-hook control (HTVA-GH) and the proposed optimal-based nonlinear control (HTVA) tuned with the aim of the primary structure deflection minimisation priority provided the best vibration attenuation efficiency. The advantage of HTVA over MRTVA is evident within the 1st tower bending frequency (3.0 Hz) neighbourhood (see Figure 6), with HTVA also requiring less working space.
Using the appropriate optimisation fields of a nonlinear optimal control quality index enabled an 8-fold reduction of the HTVA mean actuator power along with a (further) 29% reduction of the working space while maintaining a significant advantage of HTVA (concerning DAF) over the passive TVA. The attained DAF values are more than adequate for the assumed 2.33% mass ratio and 3.0 kN actuator force, proving the effectiveness and validity of the proposed approaches.
Although the above results are obtained using the simplified 2 DOF tower-nacelle model with HTVA, the developed control solutions may be implemented in many engineering structures and systems such as onshore and offshore wind turbines, high-rise buildings, masts, bridges, etc. Both HTVA and HTVA-GH do not require determination of the actual (dominant) vibration frequency or mode, excitation or disturbance assumptions, nor the specification of the protected structure/system nature; the HTVA has to be tuned accordingly using modal parameters (mass and stiffness) associated with the protected structure/system selected mode, whereas for the HTVA proposition (15a)–(15c), state and co-state dynamics model (representing the selected mode and HTVA) is also required. The produced control signal is directly the actuator input, i.e., the voltage in the regarded example (in addition to the calculation of the required active force), as actuator nonlinearity is an intrinsic part of the control proposition derived for the sample actuator characteristics. No force tracking nor offline calculations are necessary. Thus, the control quality is not compromised by excitation/disturbance variation or actuator force constraints, both essential for real-time control.
The method limitation is the HTVA location—it should be optimised with regard to the particular vibration mode deflection maximum, e.g., for the 1st tower bending mode attenuation, TVA should be preferably localised in the nacelle or top tower section, while for the 2nd tower bending mode attenuation—at 0.6÷0.7 height of the tower. It is apparent [11,14] that the second tower bending mode node occurs very close to the nacelle location; thus, vibration attenuation possibilities using the TVA located in the nacelle are little to moderate. Also, when the vibration frequency deviates significantly from the frequency of HTVA tuning, the stiffness (spring) force has to be amended by the active actuator to re-tune the HTVA; thus, the HTVA efficiency is limited for such a case by an actuator force constraints in relation to the magnitude of the frequency deviation.
The derived HTVA-GH algorithm is devoted to the case when only the primary structure deflection amplitude has to be minimised, while the HTVA proposition (15a)–(15c) copes well with various minimisation fields covered by the quality index (6) as, e.g., primary structure deflection, velocity, or (indirectly—with the use of dynamics (5)) acceleration, actuator stroke (working space), velocity, force, or energy demand; all may be encountered during real-world wind turbine operation. Only some of these fields were optimised within the current research. However, the proposed approach will serve as a general platform for future widespread analyses covering, e.g., actuator velocity and acceleration restrictions, root-mean-square vs. peak force limitation, protected structure acceleration minimisation, etc. The nearest stage of the author’s research is the experimental validation of the proposed solution using a scaled laboratory model of a wind turbine tower-nacelle system [51,52] that exhibits dynamical similarity with a full-scale wind turbine structure [53].

Funding

This research was funded by AGH University of Science and Technology, research program number 16.16.130.942.

Conflicts of Interest

The author declares no conflict of interest.

References

  1. Xu, Z.-D.; Zhu, J.-T.; Wang, D.-X. Analysis and Optimisation of Wind-Induced Vibration Control for High-Rise Chimney Structures. Int. J. Acoust. Vib. 2014, 19. [Google Scholar] [CrossRef]
  2. Wang, X.; Gordaninejad, F. Lyapunov-Based Control of a Bridge Using Magneto-rheological Fluid Dampers. J. Intell. Mater. Syst. Struct. 2002, 13, 7–8. [Google Scholar] [CrossRef]
  3. Weber, F.; Maslanka, M. Precise stiffness and damping emulation with MR dampers and its application to semi-active tuned mass dampers of Wolgograd Bridge. Smart Mater. Struct. 2014, 23, 15019. [Google Scholar] [CrossRef]
  4. Bakhtiari-Nejad, F.; Meidan-Sharafi, M. Vibration Optimal Control of a Smart Plate with Input Voltage Constraint of Piezoelectric Actuators. J. Vib. Control 2004, 10, 1749–1774. [Google Scholar] [CrossRef]
  5. Ali, S.F.; Ramaswamy, A. Hybrid structural control using magnetorheological dampers for base isolated structures. Smart Mater. Struct. 2009, 18. [Google Scholar] [CrossRef]
  6. Esteki, K.; Bagchi, A.; Sedaghati, R. Semi-Active Tuned Mass Damper for Seismic Applications. In Proceedings of the International Workshop Smart Materials, Structures & NDT in Aerospace Inter-digitized Transducers (IDTS) for Integrated Structural Health Monitoring (ISHM) Applications, Montreal, QC, Canada, 2–4 November 2011. [Google Scholar]
  7. Kucuk, I.; Yıldırım, K.; Sadek, I.; Adali, S. Optimal control of a beam with Kelvin–Voigt damping subject to forced vibrations using a piezoelectric patch actuator. J. Vib. Control 2013, 21, 701–713. [Google Scholar] [CrossRef]
  8. Caterino, N. Semi-active control of a wind turbine via magnetorheological dampers. J. Sound Vib. 2015, 345, 1–17. [Google Scholar] [CrossRef]
  9. Enevoldsen, I.; Mørk, K.J. Effects of a Vibration Mass Damper in a Wind Turbine Tower*. Mech. Struct. Mach. 1996, 24, 155–187. [Google Scholar] [CrossRef]
  10. Kirkegaard, P.H.; Nielsen, S.R.K.; Poulsen, B.L.; Andersen, J.; Pedersen, L.H.; Pedersen, B.J. Semiactive Vibration Control of a Wind Turbine Tower using an MR Damper. In Structural Dynamics—EURODYN; Grundmann, H., Schueller, G.I., Eds.; Swets & Zeitlinger: Lisse, Switzerland, 2002. [Google Scholar]
  11. Nguyen, T.-C.; Huynh, T.-C.; Kim, J.-T. Numerical evaluation for vibration-based damage detection in wind turbine tower structure. Wind. Struct. Int. J. 2015, 21, 657–675. [Google Scholar] [CrossRef]
  12. Bir, G.; Jonkman, J. Aeroelastic Instabilities of Large Offshore and Onshore Wind Turbines. J. Phys. Conf. Ser. 2007, 75, 012069. [Google Scholar] [CrossRef] [Green Version]
  13. Hansen, M.H.; Fuglsang, P.; Thomsen, K.; Knudsen, T. Two Methods for Estimating Aeroelastic Damping of Operational Wind Turbine Modes from Experiments. In Proceedings of the European Wind Energy Association Annual Event, Copenhagen, Denmark, 16–19 April 2012. [Google Scholar]
  14. Butt, U.A.; Ishihara, T. Seismic Load Evaluation of Wind Turbine Support Structures Considering Low Structural Damping and Soil Structure Interaction. In Proceedings of the European Wind Energy Association Annual Event, Copenhagen, Denmark, 16–19 April 2012. [Google Scholar]
  15. Matachowski, F.; Martynowicz, P. Analiza dynamiki konstrukcji elektrowni wiatrowej z wykorzystaniem środowiska Comsol Multiphysics. Modelowanie Inżynierskie 2012, 44, 209–216. [Google Scholar]
  16. Martynowicz, P. Study of vibration control using laboratory test rig of wind turbine tower-nacelle system with MR damper based tuned vibration absorber. Bull. Pol. Acad. Sci. Tech. Sci. 2016, 64, 347–359. [Google Scholar] [CrossRef]
  17. Martynowicz, P. Vibration control of wind turbine tower-nacelle model with magnetorheological tuned vibration absorber. J. Vib. Control 2015, 23, 3468–3489. [Google Scholar] [CrossRef]
  18. Martynowicz, P. Control of an MR Tuned Vibration Absorber for Wind Turbine Application Utilising the Refined Force Tracking Algorithm. J. Low Freq. Noise Vib. Act. Control 2017, 36, 339–353. [Google Scholar] [CrossRef] [Green Version]
  19. Martynowicz, P.; Santos, M. Structural vibration control of NREL 5.0 MW FOWT using optimal-based MR tuned vibration absorber. In Proceedings of the 21st IFAC World Congress, Berlin, Germany, 11–17 July 2020. [Google Scholar]
  20. Martynowicz, P.; Rosół, M. Wind Turbine Tower-Nacelle System with MR Tuned Vibration Absorber: Modelling, Test Rig, and Identification. In Proceedings of the ICCC 2019 20th International Carpathian Control Conference, Kraków, Poland, 26–29 May 2019. [Google Scholar]
  21. Rosół, M.; Martynowicz, P. Identification of the Wind Turbine Model with MR Damper Based Tuned Vibration Absorber. In Proceedings of the ICCC 2019 20th International Carpathian Control Conference, Kraków, Poland, 26–29 May 2019. [Google Scholar]
  22. Demetriou, D.; Nikitas, N. A Novel Hybrid Semi-Active Mass Damper Configuration for Structural Applications. Appl. Sci. 2016, 6, 397. [Google Scholar] [CrossRef]
  23. Den Hartog, J.P. Mechanical Vibrations; Dover Publications: Mineola, NY, USA, 1985. [Google Scholar]
  24. Kim, J.T.; Yun, C.B.; Park, J.H. Thermal effects on modal properties and frequency-based damage detection in plate-girder bridges. Proc. SPIE 2004, 5391, 400–409. [Google Scholar]
  25. Rotea, M.A.; Lackner, M.A.; Saheba, R. Active Structural Control of Offshore Wind turbines. In Proceedings of the 48th AIAA Aerospace Sciences Meeting Including the New Horizons Forum and Aerospace Exposition, Orlando, FL, USA, 4–7 January 2010. [Google Scholar]
  26. Preumont, A.; Alaluf, D.; Bastaits, R. Hybrid Mass Damper: A Tutorial Example. In Active and Passive Vibration Control of Structures; Hagedorn, P., Spelsberg-Korspeter, G., Eds.; CISM International Centre for Mechanical Sciences: Udine, Italy, 2014. [Google Scholar] [CrossRef]
  27. Kavyashree, B.; Patil, S.; Rao, V.S. Review on vibration control in tall buildings: From the perspective of devices and applications. Int. J. Dyn. Control 2020, 9, 1316–1331. [Google Scholar] [CrossRef]
  28. Spencer, B.F., Jr.; Soong, T.T. New Applications and Development of Active, Semi-Active and Hybrid Control Techniques for Seismic and Non-Seismic Vibration in the USA. In Proceedings of the International Post-SMiRT Conference Seminar on Seismic Isolation, Passive Energy Dissipation and Active Control of Vibration of Structures, Cheju, Korea, 19–21 May 1999. [Google Scholar]
  29. Koo, J.H.; Ahmadian, M. Qualitative Analysis of Magneto-Rheological Tuned Vibration Absorbers: Experimental Approach. J. Intell. Mater. Syst. Struct. 2007, 18, 1137–1142. [Google Scholar] [CrossRef]
  30. Kciuk, S.; Martynowicz, P. Special application magnetorheological valve numerical and experimental analysis. Control engineering in materials processing, Diffusion and Defect Data—Solid State Data. Part B Solid State Phenom. 2011, 177, 102–115. [Google Scholar] [CrossRef]
  31. Sapiński, B.; Rosół, M. MR damper performance for shock isolation. J. Theor. Appl. Mech. 2017, 45, 133–145. [Google Scholar]
  32. Krysinski, T.; Ferullo, D.; Roure, A. Helicopter vibration control methodology and flight test validation of a self-adaptive anti-vibration system. In Proceedings of the 24th European Rotorcraft Forum, Marseille, France, 15–17 September 1998. [Google Scholar]
  33. Martynowicz, P. Nonlinear optimal-based vibration control for systems with MR tuned vibration absorbers. J. Low Freq. Noise Vib. Act. Control 2019, 38, 1607–1628. [Google Scholar] [CrossRef] [Green Version]
  34. Martynowicz, P. Real-time implementation of nonlinear optimal-based vibration control for a wind turbine model. J. Low Freq. Noise Vib. Act. Control 2018, 38, 1635–1650. [Google Scholar] [CrossRef]
  35. Nakamura, Y.; Tanaka, K.; Nakayama, M.; Fujita, T. Hybrid mass dampers using two types of electric servomotors: AC servomotors and linear-induction servomotors. Earthq. Eng. Struct. Dyn. 2001, 30, 1719–1743. [Google Scholar] [CrossRef]
  36. Tan, P.; Liu, Y.; Zhou, F.; Teng, J. Hybrid mass dampers for Canton Tower. CTBUH J. 2012, 1, 24–29. [Google Scholar]
  37. Shen, Y.-J.; Wang, L.; Yang, S.-P.; Gao, G.-S. Nonlinear dynamical analysis and parameters optimization of four semi-active on-off dynamic vibration absorbers. J. Vib. Control 2011, 19, 143–160. [Google Scholar] [CrossRef]
  38. Hu, Y.; He, E. Active structural control of a floating wind turbine with a stroke-limited hybrid mass damper. J. Sound Vib. 2017, 410, 447–472. [Google Scholar] [CrossRef]
  39. Bryson, A.E.; Ho, Y.C. Applied Optimal Control; Taylor & Francis: New York, NY, USA, 1975. [Google Scholar]
  40. Freeman, R.A.; Kokotovic, P.V. Robust Nonlinear Control Design: State-Space and Lyapunov Techniques; Birkhauser: Berlin/Heidelberg, Germany, 1996. [Google Scholar]
  41. Itik, M. Optimal control of nonlinear systems with input constraints using linear time varying approximations. Nonlinear Anal. Model. Control 2016, 21, 400–412. [Google Scholar] [CrossRef]
  42. Shukla, P.; Ghodki, D.; Manjarekar, N.S.; Singru, P.M. A Study of H infinity and H2 synthesis for Active Vibration Control. IFAC-PapersOnLine 2016, 49, 623–628. [Google Scholar] [CrossRef]
  43. Villoslada, D.; Santos, M.; Tomás-Rodríguez, M. Identification and Validation of a Barge Floating Offshore Wind Turbine Model with Optimized Tuned Mass Damper. In Proceedings of the 10th EUROSIM Congress, Logroño, Spain, 1–5 July 2019. [Google Scholar]
  44. Stewart, G.M.; Lackner, M.A. The effect of actuator dynamics on active structural control of offshore wind turbines. Eng. Struct. 2011, 33, 1807–1816. [Google Scholar] [CrossRef]
  45. Sahu, G.N.; Singh, S.; Singh, A.; Law, M. Static and Dynamic Characterization and Control of a High-Performance Electro-Hydraulic Actuator. Actuators 2020, 9, 46. [Google Scholar] [CrossRef]
  46. Ioffe, A.D.; Tihomirov, V.M. Theory of Extremal Problems. Studies in Mathematics and Its Applications; North-Holland Publishing Company: Amsterdam, The Netherlands, 1979. [Google Scholar]
  47. Lenhart, S.; Workman, J.T. Optimal Control Applied to Biological Models; CRC Press: New York, NY, USA, 2007. [Google Scholar]
  48. Oates, W.S.; Smith, R.C. Nonlinear Optimal Control Techniques for Vibration Attenuation Using Magnetostrictive Actuators. J. Intell. Mater. Syst. Struct. 2008, 19, 193–209. [Google Scholar] [CrossRef] [Green Version]
  49. Pinto, S.G.; Rodriguez, S.P.; Torcal, J.I.M. On the numerical solution of stiff IVPs by Lobatto IIIA Runge-Kutta methods. J. Comput. Appl. Math. 1997, 82, 129–148. [Google Scholar] [CrossRef]
  50. Lord. Magneto-Rheological (MR) Technology. MR Controllable Friction Damper RD-1097-01 Product Bulletin. Printed in USA, 2005, Lord Corporation. Available online: www.lord.com (accessed on 20 August 2006).
  51. Martynowicz, P.; Szydło, Z. Wind turbine’s tower-nacelle model with magnetorheological tuned vibration absorber: The laboratory test rig. In Proceedings of the 14th International Carpathian Control Conference (ICCC), Rytro, Poland, 26–29 May 2013. [Google Scholar]
  52. Martynowicz, P. Development of Laboratory Model of Wind Turbine’s Tower-Nacelle System with Magnetorheological Tuned Vibration Absorber. Solid State Phenom. 2014, 208, 40–51. [Google Scholar] [CrossRef]
  53. Snamina, J.; Martynowicz, P. Prediction of characteristics of wind turbine’s tower-nacelle system from investigation of its scaled model. In Proceedings of the 6WCSCM: Sixth World Conference on Structural Control and Monitoring—Proceedings of the 6th edition of the World Conference of the International Association for Structural Control and Monitoring (IACSM), Barcelona, Spain, 15–17 July 2014. [Google Scholar]
Figure 1. Two-body diagram of a regarded system with hybrid tuned vibration absorber (HTVA).
Figure 1. Two-body diagram of a regarded system with hybrid tuned vibration absorber (HTVA).
Energies 14 05145 g001
Figure 2. Actuator force nonlinearity.
Figure 2. Actuator force nonlinearity.
Energies 14 05145 g002
Figure 3. Hamiltonian derivative sign analysis.
Figure 3. Hamiltonian derivative sign analysis.
Energies 14 05145 g003
Figure 4. Assessed error ε ( τ ) time patterns at: (a) 0.27 Hz, (b) 0.30 Hz.
Figure 4. Assessed error ε ( τ ) time patterns at: (a) 0.27 Hz, (b) 0.30 Hz.
Energies 14 05145 g004
Figure 5. Two-body diagram of a regarded system with magnetorheological TVA (MRTVA).
Figure 5. Two-body diagram of a regarded system with magnetorheological TVA (MRTVA).
Energies 14 05145 g005
Figure 6. Dynamic Amplification Factor (DAF) frequency characteristics: passive TVA vs. HTVA–GH vs. HTVA ( g 11 = 10 18 , g 23 = 0 , t 1 = 10 2 t s ) vs. MRTVA ( g 22 = 0 ).
Figure 6. Dynamic Amplification Factor (DAF) frequency characteristics: passive TVA vs. HTVA–GH vs. HTVA ( g 11 = 10 18 , g 23 = 0 , t 1 = 10 2 t s ) vs. MRTVA ( g 22 = 0 ).
Energies 14 05145 g006
Figure 7. DAF frequency characteristics: passive TVA vs. HTVA with different g 11 and g 23 values ( g 23 = 0 , if not stated otherwise).
Figure 7. DAF frequency characteristics: passive TVA vs. HTVA with different g 11 and g 23 values ( g 23 = 0 , if not stated otherwise).
Energies 14 05145 g007
Figure 8. DAF frequency characteristics: passive TVA vs. MRTVA with different g 22 values.
Figure 8. DAF frequency characteristics: passive TVA vs. MRTVA with different g 22 values.
Energies 14 05145 g008
Figure 9. The TVA stroke amplitude A ( x 1 x 2 ) frequency characteristics: passive TVA vs. HTVA–GH vs. HTVA ( g 11 = 10 18 , g 23 = 0 , t 1 = 10 2 t s ) vs. MRTVA ( g 22 = 0 ).
Figure 9. The TVA stroke amplitude A ( x 1 x 2 ) frequency characteristics: passive TVA vs. HTVA–GH vs. HTVA ( g 11 = 10 18 , g 23 = 0 , t 1 = 10 2 t s ) vs. MRTVA ( g 22 = 0 ).
Energies 14 05145 g009
Figure 10. A ( x 1 x 2 ) frequency characteristics: passive TVA vs. HTVA with different g 11 and g 23 values ( g 23 = 0 , if not stated otherwise).
Figure 10. A ( x 1 x 2 ) frequency characteristics: passive TVA vs. HTVA with different g 11 and g 23 values ( g 23 = 0 , if not stated otherwise).
Energies 14 05145 g010
Figure 11. A ( x 1 x 2 ) frequency characteristics: passive TVA vs. MRTVA with different g 22 values.
Figure 11. A ( x 1 x 2 ) frequency characteristics: passive TVA vs. MRTVA with different g 22 values.
Energies 14 05145 g011
Figure 12. The actuator mean power AP frequency characteristics: HTVA with different g 11 and g 23 values ( g 23 = 0 , if not stated otherwise) vs. HTVA–GH.
Figure 12. The actuator mean power AP frequency characteristics: HTVA with different g 11 and g 23 values ( g 23 = 0 , if not stated otherwise) vs. HTVA–GH.
Energies 14 05145 g012
Figure 13. The MR damper maximum force MRF frequency characteristics: MRTVA with different g 22 values vs. HTVA actuator maximum force limit.
Figure 13. The MR damper maximum force MRF frequency characteristics: MRTVA with different g 22 values vs. HTVA actuator maximum force limit.
Energies 14 05145 g013
Figure 14. Time responses at 0.27 Hz: (a) HTVA, g 11 = 10 18 , g 23 = 0 , t 1 = 10 2 t s , (b) HTVA, g 11 = 5   ·   10 6 , g 23 = 0 , (c) HTVA, g 11 = 5 · 10 6 , g 23 = 1   ·   10 10 , (d) HTVA, g 11 = 5 · 10 6 , g 23 = 4   ·   10 10 , (e) HTVA–GH, (f) passive TVA.
Figure 14. Time responses at 0.27 Hz: (a) HTVA, g 11 = 10 18 , g 23 = 0 , t 1 = 10 2 t s , (b) HTVA, g 11 = 5   ·   10 6 , g 23 = 0 , (c) HTVA, g 11 = 5 · 10 6 , g 23 = 1   ·   10 10 , (d) HTVA, g 11 = 5 · 10 6 , g 23 = 4   ·   10 10 , (e) HTVA–GH, (f) passive TVA.
Energies 14 05145 g014aEnergies 14 05145 g014b
Figure 15. Time responses at 0.28 Hz: (a) HTVA, g 11 = 10 18 , g 23 = 0 , t 1 = 10 2 t s , (b) HTVA, g 11 = 5 · 10 6 , g 23 = 0 , (c) HTVA, g 11 = 5 · 10 6 , g 23 = 1 · 10 10 , (d) HTVA, g 11 = 5 · 10 6 , g 23 = 4 · 10 10 , (e) HTVA–GH, (f) passive TVA.
Figure 15. Time responses at 0.28 Hz: (a) HTVA, g 11 = 10 18 , g 23 = 0 , t 1 = 10 2 t s , (b) HTVA, g 11 = 5 · 10 6 , g 23 = 0 , (c) HTVA, g 11 = 5 · 10 6 , g 23 = 1 · 10 10 , (d) HTVA, g 11 = 5 · 10 6 , g 23 = 4 · 10 10 , (e) HTVA–GH, (f) passive TVA.
Energies 14 05145 g015aEnergies 14 05145 g015b
Figure 16. Time responses at 0.30 Hz: (a) HTVA, g 11 = 10 18 , g 23 = 0 , t 1 = 10 2 t s , (b) HTVA, g 11 = 5   ·   10 6 , g 23 = 0 , (c) HTVA, g 11 = 5 · 10 6 , g 23 = 1   ·   10 10 , (d) HTVA, g 11 = 5   ·   10 6 , g 23 = 4   ·   10 10 , (e) HTVA–GH, (f) passive TVA.
Figure 16. Time responses at 0.30 Hz: (a) HTVA, g 11 = 10 18 , g 23 = 0 , t 1 = 10 2 t s , (b) HTVA, g 11 = 5   ·   10 6 , g 23 = 0 , (c) HTVA, g 11 = 5 · 10 6 , g 23 = 1   ·   10 10 , (d) HTVA, g 11 = 5   ·   10 6 , g 23 = 4   ·   10 10 , (e) HTVA–GH, (f) passive TVA.
Energies 14 05145 g016aEnergies 14 05145 g016b
Table 1. NREL 5.0 MW with HTVA model parameters.
Table 1. NREL 5.0 MW with HTVA model parameters.
ParameterValue
m1428.790 Mg
k11545.6 kN/m
c13.5420 kNs/m
m210 Mg
k234.421 kN/m
c23.3521 kNs/m
Fm3.0 kN
a1, a2, a1.50 V, 4.10 1/V, 6.15
Fsat F m tgh ( a ) 3.0 kN
Table 2. NREL 5.0 MW with MRTVA model parameters.
Table 2. NREL 5.0 MW with MRTVA model parameters.
ParameterValue
m1428.790 Mg
k11545.6 kN/m
c13.5420 kNs/m
m210 Mg
k2MR30.599 kN/m ( g 22 = 0 )
29.297 kN/m ( g 22 > 0 )
C13410
C282.5
C32640
C4770
ν 130
Publisher’s Note: MDPI stays neutral with regard to jurisdictional claims in published maps and institutional affiliations.

Share and Cite

MDPI and ACS Style

Martynowicz, P. Nonlinear Optimal-Based Vibration Control of a Wind Turbine Tower Using Hybrid vs. Magnetorheological Tuned Vibration Absorber. Energies 2021, 14, 5145. https://doi.org/10.3390/en14165145

AMA Style

Martynowicz P. Nonlinear Optimal-Based Vibration Control of a Wind Turbine Tower Using Hybrid vs. Magnetorheological Tuned Vibration Absorber. Energies. 2021; 14(16):5145. https://doi.org/10.3390/en14165145

Chicago/Turabian Style

Martynowicz, Paweł. 2021. "Nonlinear Optimal-Based Vibration Control of a Wind Turbine Tower Using Hybrid vs. Magnetorheological Tuned Vibration Absorber" Energies 14, no. 16: 5145. https://doi.org/10.3390/en14165145

APA Style

Martynowicz, P. (2021). Nonlinear Optimal-Based Vibration Control of a Wind Turbine Tower Using Hybrid vs. Magnetorheological Tuned Vibration Absorber. Energies, 14(16), 5145. https://doi.org/10.3390/en14165145

Note that from the first issue of 2016, this journal uses article numbers instead of page numbers. See further details here.

Article Metrics

Back to TopTop