Local Buckling Characteristics of Stainless-Steel Polypropylene Deep-Sea Sandwich Pipe under Axial Tension and External Pressure
Abstract
:1. Introduction
2. Experiment
2.1. Manufacture of Sandwich Pipes
2.2. Geometric Features of Pipes
2.3. Material Test
2.4. Buckling Test
2.5. Result
3. Numerical Model and Validation
3.1. Geometry of the Initial Model
3.2. Mesh Independence Test
3.3. Model Validation
4. Parametric Study
4.1. Effect of Axial Tension
4.2. Effect of Outer Pipe Diameter-to-Thickness Ratio
4.3. Effect of Inner Pipe Diameter-to-Thickness Ratio
5. The Result and Discussion
5.1. The Results of FE Models
5.2. Discussion of the Two Loading Paths
6. Conclusions
- (1)
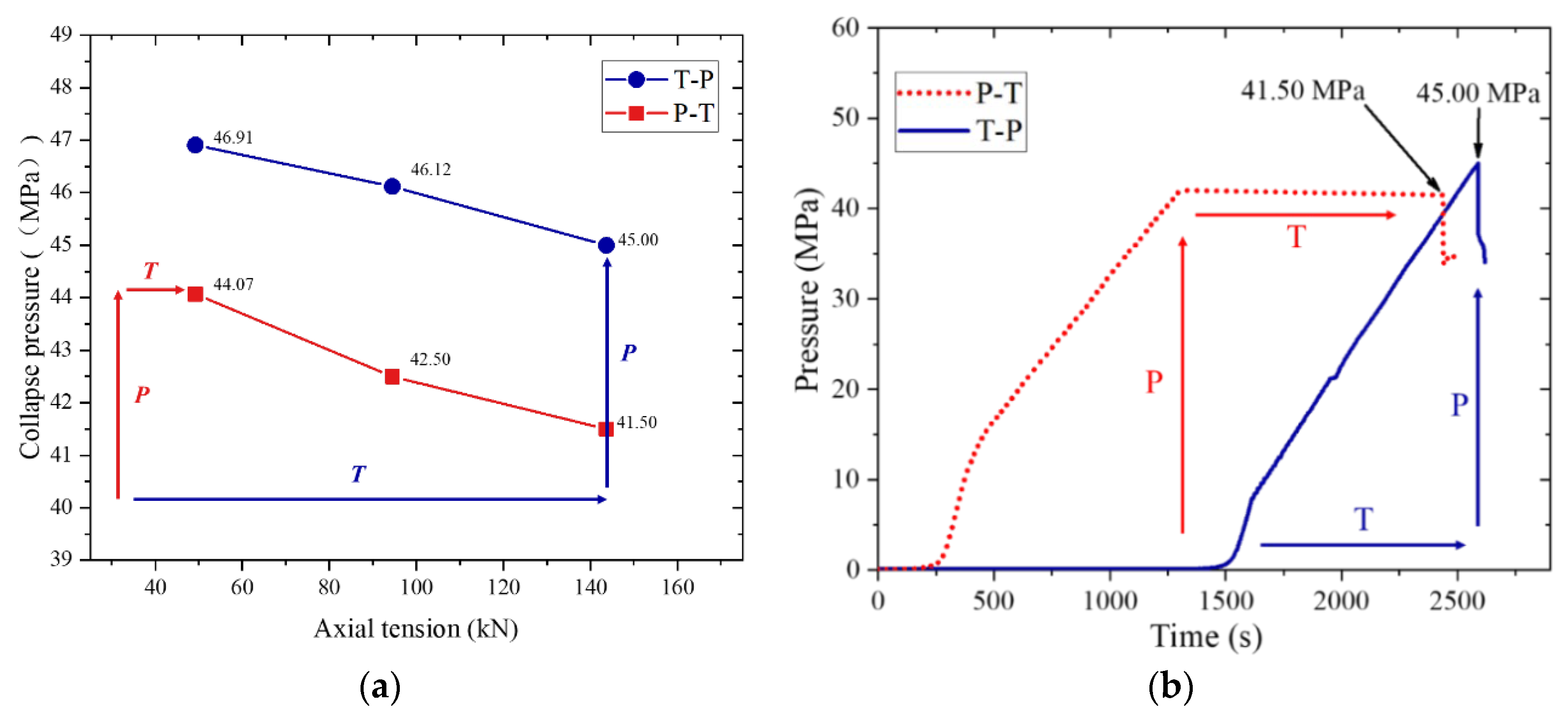
- The ultimate load of the sandwich pipe under the combined action of external pressure and axial tension is studied through eight groups of tests. It is verified that the ultimate load of the sandwich pipe with the same geometric parameters is different under different loading paths. Experiments show that the path of applying water pressure and then axial tension is more dangerous than the path of applying axial tension and then water pressure, and the influence range of different paths on the collapse pressure of the sandwich pipe is 4.07~7.78%.
- (2)
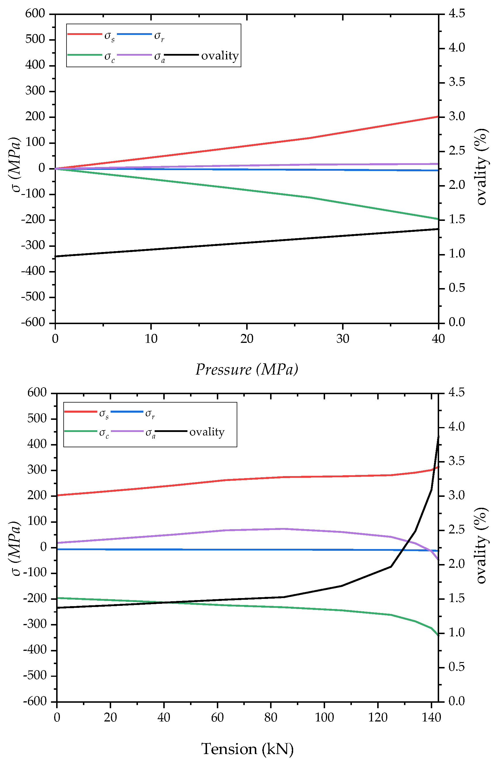
- The influence of two loading paths on the ultimate strength of the sandwich pipe is studied by using a finite element model. The results show that different paths lead to different stress changes in the cross-section of the sandwich pipe. In the P→T loading path, the external water pressure increases the ovality of the pipeline, and the axial tension increases the circumferential stress of the sandwich pipe, resulting in the local section of the sandwich pipe reaching the yield state faster. However, in the loading path of T→P, the axial tension has little effect on the circumferential stress, which results in a smaller change of ovality, and the sandwich tube has a higher ultimate strength.
- (3)
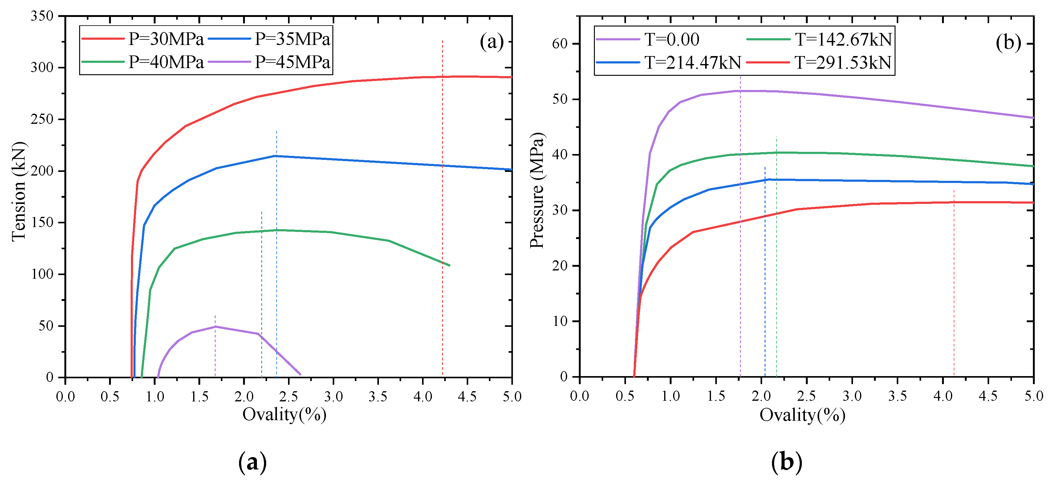
- The experimental results are supplemented by parametric studies. When the axial tension increases from 0 to 291.53 kN, the difference in collapse pressure under different loading paths increases from 0% to 4.9%. When the diameter-to-thickness ratio of the outer pipe increases from 12 to 24, the difference in collapse pressure under different loading paths is reduced from 2.88% to 0.6%. The increase of the diameter-to-thickness ratio of the outer pipe reduces the influence of different loading paths. When the inner tube diameter-to-thickness ratio increases from 10 to 25.5, the difference in collapse pressure under different loading paths is reduced from 4.05% to 0.86%. The increase in the inner tube diameter-to-thickness ratio will reduce the influence of different loading paths. The inner pipe diameter-to-thickness ratio has a greater influence on the collapse pressure than the outer pipe diameter-to-thickness ratio.
Author Contributions
Funding
Institutional Review Board Statement
Informed Consent Statement
Data Availability Statement
Conflicts of Interest
References
- Dyau, J.Y.; Kyriakides, S. On the localization of collapse in cylindrical shells under external pressure. Int. J. Solids Struct. 1993. [Google Scholar] [CrossRef]
- Yu, J.; Wu, M.; Sun, Z.; Duan, J. Research progress of buckling propagation experiment of deep-water pipelines. Trans. Tianjin Univ. 2016, 22, 285–293. [Google Scholar] [CrossRef]
- Sun, C.; Zheng, M.; Soares, C.G.; Duan, M.; Wang, Y.; Onuoha, M.D.U. Theoretical prediction model for indentation of pipe-in-pipe structures. Appl. Ocean Res. 2019, 92. [Google Scholar] [CrossRef]
- Yu, J.; Wang, H.; Fan, Z.; Yu, Y. Computation of plastic collapse capacity of 2D ring with random pitting corrosion defect. Thin-Walled Struct. 2017. [Google Scholar] [CrossRef]
- Xue, J.; Wang, Y.; Yuan, D. A shear deformation theory for bending and buckling of undersea sandwich pipes. Compos. Struct. 2015, 132, 633–643. [Google Scholar] [CrossRef]
- Xia, M.; Takayanagi, H.; Kemmochi, K. Analysis of transverse loading for laminated cylindrical pipes. Compos. Struct. 2001, 53, 279–285. [Google Scholar] [CrossRef]
- Zhu, X.; Lei, Q.; Meng, Y.; Cui, X. Analysis of tensile response of flexible pipe with ovalization under hydrostatic pressure. Appl. Ocean Res. 2021, 108, 102451. [Google Scholar] [CrossRef]
- Yuan, L.; Kyriakides, S. Hydraulic expansion of lined pipe for offshore pipeline applications. Appl. Ocean Res. 2021, 108, 102523. [Google Scholar] [CrossRef]
- Yu, J.X.; Han, M.X.; Duan, J.H.; Yu, Y.; Wang, H.K. The research on the different loading paths of pipes under combined external pressure and axial tension. Int. J. Mech. Sci. 2019. [Google Scholar] [CrossRef]
- Liu, R.; Li, C.; Peng, B. Axial pipe-soil interaction during pipeline-walking analysis of pipelines placed on Bohai sand. Appl. Ocean Res. 2020, 99, 102133. [Google Scholar] [CrossRef]
- Zhang, X.; Pan, G. Critical force of upheaval buckling for imperfect subsea pipe-in-pipe pipelines on nonlinear foundation. Appl. Ocean Res. 2021, 110, 102593. [Google Scholar] [CrossRef]
- Zhang, X.; Duan, M.; Guedes Soares, C. Lateral buckling critical force for submarine pipe-in-pipe pipelines. Appl. Ocean Res. 2018, 78, 99–109. [Google Scholar] [CrossRef]
- Gowid, S.; Mahdi, E.; Renno, J.; Sassi, S.; Kharmanda, G.; Shokry, A. Experimental investigation of the crashworthiness performance of fiber and fiber steel-reinforced composites tubes. Compos. Struct. 2020, 251, 112655. [Google Scholar] [CrossRef]
- Huang, Z.; Zhou, Y.; Hu, G.; Deng, W.; Gao, H.; Sui, L. Flexural resistance and deformation behaviour of CFRP-ULCC-steel sandwich composite structures. Compos. Struct. 2021, 257, 113080. [Google Scholar] [CrossRef]
- Pan, D.; Chen, L.; Zhao, Q.; Chen, L.; Lin, M.; Li, C. Local buckling theoretical calculation method of the FRP foam sandwich cylinder under axial compression. Compos. Struct. 2020, 246, 112371. [Google Scholar] [CrossRef]
- Zhang, Z.; Yu, J.; Liu, H.; Chen, Z. Experimental and finite element study on lateral global buckling of pipe-in-pipe structure by active control method. Appl. Ocean Res. 2019, 92, 101917. [Google Scholar] [CrossRef]
- Estefen, S.F.; Netto, T.A.; Pasqualino, I.P. Strength analyses of sandwich pipes for ultra deepwaters. J. Appl. Mech. Trans. ASME 2005, 72, 599–608. [Google Scholar] [CrossRef]
- Castello, X.; Estefen, S.F. Limit strength and reeling effects of sandwich pipes with bonded layers. Int. J. Mech. Sci. 2007, 49, 577–588. [Google Scholar] [CrossRef]
- Xu, Q.; Gong, S.; Hu, Q. Collapse analyses of sandwich pipes under external pressure considering inter-layer adhesion behaviour. Mar. Struct. 2016, 50, 72–94. [Google Scholar] [CrossRef]
- Pasqualino, I.P.; Lourenc¸o, M.I.; Netto, T.A. Propagation of buckles in sandwich pipes under external pressure. Int. Conf. Offshore Mech. Arct. Eng. 2005, 41979, 609–617. [Google Scholar]
- Lourenço, M.I. Core Material Performance on the Propagation Pressure of Sandwich Pipes. In Proceedings of the ASME 2008 27th International Conference on Offshore Mechanics and Arctic Engineering, Estoril, Portugal, 15–20 June 2008; pp. 471–480. [Google Scholar]
- Fu, G.; Paz, C.M.; Chujutalli, J.A.H.; Lourenço, M.I.; De Lima, D.B.; Li, Y.; Filho, R.T.; Estefen, S.F. Sandwich pipes with strain hardening cementitious composites (SHCC). Numerical analyses. Proc. Int. Conf. Offshore Mech. Arct. Eng. OMAE 2014, 6A, 1–10. [Google Scholar] [CrossRef]
- Gong, S.; Wang, X.; Zhang, T.; Liu, C. Buckle propagation of sandwich pipes under external pressure. Eng. Struct. 2018, 175, 339–354. [Google Scholar] [CrossRef]
- Gong, S.; Li, G. Buckle propagation of pipe-in-pipe systems under external pressure. Eng. Struct. 2015, 84, 207–222. [Google Scholar] [CrossRef]
- Gong, S.; Wang, X.; Yuan, L.; Liu, C. The arresting performance of integral buckle arrestor for sandwich pipe systems. Int. J. Press. Vessel. Pip. 2019, 177, 103973. [Google Scholar] [CrossRef]
- Arjomandi, K.; Taheri, F. Elastic buckling capacity of bonded and unbonded sandwich pipes under external hydrostatic pressure. J. Mech. Mater. Struct. 2010, 5, 391–408. [Google Scholar] [CrossRef]
- Arjomandi, K.; Taheri, F. The influence of intra-layer adhesion configuration on the pressure capacity and optimized configuration of sandwich pipes. Ocean Eng. 2011, 38, 1869–1882. [Google Scholar] [CrossRef]
- Arjomandi, K.; Taheri, F. A new look at the external pressure capacity of sandwich pipes. Mar. Struct. 2011, 24, 23–42. [Google Scholar] [CrossRef]
- He, T.; Duan, M.; Wang, J.; Lv, S.; An, C. On the external pressure capacity of deepwater sandwich pipes with inter-layer adhesion conditions. Appl. Ocean Res. 2015, 52, 115–124. [Google Scholar] [CrossRef]
- Wang, Z.; Chen, Z.; He, Y.; Liu, H. Numerical study on lateral buckling of fully bonded sandwich pipes. Int. J. Steel Struct. 2017, 17, 863–875. [Google Scholar] [CrossRef]
- Garg, A.; Chalak, H.D. A review on analysis of laminated composite and sandwich structures under hygrothermal conditions. Thin-Walled Struct. 2019, 142, 205–226. [Google Scholar] [CrossRef]
- Fabian, O. Collapse of cylindrical, elastic tubes under combined bending, pressure and axial loads. Int. J. Solids Struct. 1977. [Google Scholar] [CrossRef]
- Kyriakides, S.; Chang, Y.C. On the effect of axial tension on the propagation pressure of long cylindrical shells. Int. J. Mech. Sci. 1992, 34, 3–15. [Google Scholar] [CrossRef]
- Nogueira, A.; Tassoulas, J.L. Finite element analysis of buckle propagation in pipelines under tension. Int. J. Mech. Sci. 1995, 37, 249–259. [Google Scholar] [CrossRef]
- Kyriakides, S.; Babcock, C.D. Large deflection collapse analysis of an inelastic inextensional ring under external pressure. Int. J. Solids Struct. 1981, 17, 981–993. [Google Scholar] [CrossRef]
- Madhavan, R.; Babcock, C.D.; Singer, J. On the collapse of long, thick- walled tubes under external pressure and axial tension. J. Press. Vessel. Technol. Trans. ASME 1993, 115, 15–26. [Google Scholar] [CrossRef]
- Bai, Y.; Igland, R.; Moan, T. Tube collapse under combined pressure, tension and bending loads. Int. J. Offshore Polar Eng. 1993, 3, 2–121. [Google Scholar]
- Bai, Y.; Igland, R.T.; Moan, T. Tube collapse under combined external pressure, tension and bending. Mar. Struct. 1997. [Google Scholar] [CrossRef]
- Bai, Y.; Hauch, S. Collapse capacity of corroded pipes under combined pressure, longitudinal force and bending. Int. J. Offshore Polar Eng. 2001, 11, 55–63. [Google Scholar]
- Madhavan, R. On the Collapse of Long Thick-Walled Circular Tubes Under Biaxial Loading; California Institute of Technology. Ph.D. Thesis, California Institute of Technology, Pasadena, CA, USA, 1988. [Google Scholar] [CrossRef]
- Tamano, T.; Inoue, Y.; Miniura, H.; Yanagimoto, S. Examination of commercial casing collapse strength under axial loading. J. Energy Resour. Technol. Trans. ASME 1982, 104, 343–348. [Google Scholar] [CrossRef]
- Yu, J.X.; Sun, Z.Z.; Liu, X.X.; Zhai, Y.X. Ring-truss theory on offshore pipelines buckle propagation. Thin-Walled Struct. 2014. [Google Scholar] [CrossRef]
- Wang, H.; Yu, Y.; Yu, J.; Xu, W.; Chen, H.; Wang, Z.; Han, M. Effect of pitting defects on the buckling strength of thick-wall cylinder under axial compression. Constr. Build. Mater. 2019, 224, 226–241. [Google Scholar] [CrossRef]
- Wang, H.; Yu, Y.; Yu, J.; Duan, J.; Zhang, Y.; Li, Z.; Wang, C. Effect of 3D random pitting defects on the collapse pressure of pipe—Part I: Experiment. Thin-Walled Struct. 2018. [Google Scholar] [CrossRef]
- GB/T 228.1-2010 Metallic Materials Tensile Testing Part 1: Test Methods at Room Temperature, General Administration of Quality Supervision. In Inspection and Quarantine of the People’s Republic of China; China Standard Press: Beijing, China, 2010.
- An, C.; Duan, M.; Toledo Filho, R.D.; Estefen, S.F. Collapse of sandwich pipes with PVA fiber reinforced cementitious composites core under external pressure. Ocean Eng. 2014, 82, 1–13. [Google Scholar] [CrossRef]
- Wang, H.; Yu, Y.; Yu, J.; Wang, Z.; Li, H. Development of erosion equation and numerical simulation methods with the consideration of applied stress. Tribol. Int. 2019. [Google Scholar] [CrossRef]
















| Pipe No. | Do/mm | to/mm | Di/mm | ti/mm | Dp/mm | tc/mm | Loading Path |
|---|---|---|---|---|---|---|---|
| Out1 | 73.29 | 3.96 | - | - | - | - | P |
| In1 | - | - | 54.02 | 3.01 | - | - | P |
| SP1-1 | 73.02 | 4.02 | 54.02 | 3.01 | 65.02 | 5.05 | P→T |
| SP1-2 | 73.00 | 4.04 | 54.06 | 3.01 | 65.11 | 5.10 | P→T |
| SP1-3 | 73.13 | 4.15 | 54.17 | 3.12 | 65.15 | 5.09 | P→T |
| SP2-1 | 73.08 | 4.08 | 54.05 | 3.04 | 65.08 | 5.10 | T→P |
| SP2-2 | 73.04 | 4.12 | 54.09 | 3.00 | 65.12 | 5.06 | T→P |
| SP2-3 | 73.05 | 4.07 | 54.09 | 3.05 | 65.04 | 5.06 | T→P |
| Pipe | E/Gpa | ν | σy/MPa | σu/MPa | n | Elongation/% |
|---|---|---|---|---|---|---|
| Outer pipe | 250.00 | 0.3 | 217.44 | 1076.14 | 5.59 | 46.77 |
| Inner pipe | 211.71 | 0.3 | 189.34 | 988.42 | 5.60 | 43.12 |
| Material | E/Mpa | ν | σu/MPa | εfail |
|---|---|---|---|---|
| Polypropylene | 1330 | 0.41 | 21.8 | 0.076 |
| Type of Pipe | Pipe No. | Outer Pipe Ovality (%) | Inner Pipe Ovality (%) | Collapse Pressure (MPa) | Axial Tension (kN) |
|---|---|---|---|---|---|
| Outer Pipe | Out1 | 0.49 | - | 27.95 | 0 |
| Inner Pipe | In1 | - | 0.78 | 28.10 | 0 |
| Sandwich Pipe | SP1-1 | 0.60 | 0.41 | 41.50 | 143.67 |
| Sandwich Pipe | SP1-2 | 0.42 | 0.54 | 42.50 | 94.45 |
| Sandwich Pipe | SP1-3 | 0.59 | 0.61 | 44.07 | 49.21 |
| Sandwich Pipe | SP2-1 | 0.32 | 0.55 | 45.00 | 143.67 |
| Sandwich Pipe | SP2-2 | 0.50 | 0.37 | 46.12 | 94.45 |
| Sandwich Pipe | SP2-3 | 0.32 | 0.79 | 46.91 | 49.21 |
| No. | Nh | Np | Smin | Smax | Element Number of Steel Pipe | Element Number of Core Layer | Total Element Number | P/Mpa | Error/% |
|---|---|---|---|---|---|---|---|---|---|
| 1 | 10 | 1 | 5 | 40 | 4320 | 2160 | 6480 | 43.10 | −4.22 |
| 2 | 10 | 2 | 5 | 30 | 4320 | 2160 | 6480 | 45.36 | 0.80 |
| 3 | 10 | 4 | 5 | 20 | 5580 | 2790 | 8370 | 47.18 | 4.84 |
| 4 | 30 | 2 | 5 | 40 | 8640 | 4320 | 12,960 | 45.45 | 1.00 |
| 5 | 30 | 2 | 5 | 30 | 11,160 | 5580 | 16,740 | 45.15 | 0.33 |
| 6 | 30 | 4 | 5 | 20 | 86,400 | 43,200 | 129,600 | 45.15 | 0.33 |
| 7 | 60 | 1 | 5 | 40 | 17,280 | 8640 | 25,920 | 44.92 | −0.17 |
| 8 | 60 | 2 | 4 | 30 | 22,320 | 11,160 | 33,480 | 45.02 | 0.04 |
| 9 | 60 | 4 | 2 | 20 | 172,800 | 86,400 | 259,200 | 45.00 | 0.01 |
| Pipe No. | Experiment Results PCOE/MPa | Numerical Results PCON/MPa | Experiment Results TE/MPa | Numerical Results TN/MPa | Error/% |
|---|---|---|---|---|---|
| Out1 | 27.95 | 28.74 | 0 | 0 | 2.83 |
| In1 | 28.10 | 28.11 | 0 | 0 | 0.04 |
| SP1-1 | 41.50 | 41.5 | 143.67 | 142.16 | −1.05 |
| SP1-2 | 42.50 | 42.5 | 94.45 | 96.1 | 1.75 |
| SP1-3 | 44.07 | 44.07 | 49.21 | 49.47 | 0.53 |
| SP2-1 | 45.00 | 45.15 | 143.67 | 143.67 | 0.33 |
| SP2-2 | 46.12 | 47.2 | 94.45 | 94.45 | 2.34 |
| SP2-3 | 46.91 | 45.73 | 49.21 | 49.21 | −2.52 |
Publisher’s Note: MDPI stays neutral with regard to jurisdictional claims in published maps and institutional affiliations. |
© 2021 by the authors. Licensee MDPI, Basel, Switzerland. This article is an open access article distributed under the terms and conditions of the Creative Commons Attribution (CC BY) license (https://creativecommons.org/licenses/by/4.0/).
Share and Cite
Yu, J.; Xu, W.; Chen, N.; Jiang, S.; Xu, S.; Han, M. Local Buckling Characteristics of Stainless-Steel Polypropylene Deep-Sea Sandwich Pipe under Axial Tension and External Pressure. Energies 2021, 14, 4866. https://doi.org/10.3390/en14164866
Yu J, Xu W, Chen N, Jiang S, Xu S, Han M. Local Buckling Characteristics of Stainless-Steel Polypropylene Deep-Sea Sandwich Pipe under Axial Tension and External Pressure. Energies. 2021; 14(16):4866. https://doi.org/10.3390/en14164866
Chicago/Turabian StyleYu, Jianxing, Weipeng Xu, Nianzhong Chen, Sixuan Jiang, Shengbo Xu, and Mengxue Han. 2021. "Local Buckling Characteristics of Stainless-Steel Polypropylene Deep-Sea Sandwich Pipe under Axial Tension and External Pressure" Energies 14, no. 16: 4866. https://doi.org/10.3390/en14164866
APA StyleYu, J., Xu, W., Chen, N., Jiang, S., Xu, S., & Han, M. (2021). Local Buckling Characteristics of Stainless-Steel Polypropylene Deep-Sea Sandwich Pipe under Axial Tension and External Pressure. Energies, 14(16), 4866. https://doi.org/10.3390/en14164866

