Frequency Scan–Based Mitigation Approach of Subsynchronous Control Interaction in Type-3 Wind Turbines
Abstract
:1. Introduction
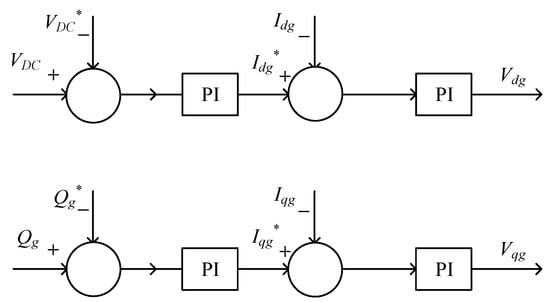
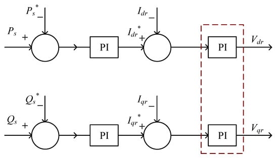
2. Doubly Fed Induction Generator Configuration
3. Frequency Scan
- is the injected harmonic frequency;
- is the phase shift of the injected harmonic at ;
- , is the lowest/highest frequency of interest.
4. Performance Evaluation
- (1)
- Once SSCI is detected, the proportional gains of the -axis are reduced to near zero values (0.03) to prevent oscillations from growing exponentially.
- (2)
- Parallel scan is enabled to identify grid impedance.
- (3)
- Grid impedance is combined with WF impedance to obtain the overall system impedance.
- (4)
- External or internal parameters are changed to mitigate the risk of SSCI.
- (1)
- The system is started with Line #2 in service.
- (2)
- At s, Line #2 trips.
- (3)
- Once SSCI is detected, proportional gains are reduced.
- (4)
- Parallel scan is enabled.
- (5)
- Parallel scan results are processed.
- (6)
- Parameters are changed to mitigate SSCI.
4.1. Output Power Exceeds 1.050 pu
4.2. Output Power Exceeds 1.025 pu
4.3. Access to External Signal
5. Discussion
6. Conclusions
Author Contributions
Funding
Institutional Review Board Statement
Informed Consent Statement
Data Availability Statement
Conflicts of Interest
References
- International Energy Agency. World Energy Outlook 2020; IEA: Paris, France, 2020; Available online: https://www.iea.org/reports/world-energy-outlook-2020 (accessed on 3 May 2021).
- Global Wind Energy Council. Global Wind Report 2021; Global Wind Energy Council: Brussels, Belgium, 2021; Available online: https://gwec.net/global-wind-report-2021/ (accessed on 3 May 2021).
- Muljadi, E.; Zhang, Y.C.; Gevorgian, V.; Kosterev, D. Understanding dynamic model validation of a wind turbine generator and a wind power plant. In Proceedings of the 2016 IEEE Energy Conversion Congress and Exposition (ECCE), Milwaukee, WI, USA, 18–22 September 2016; pp. 1–5. [Google Scholar] [CrossRef]
- Mohammadhassani, A.; Skoff, N.; Mehrizi-Sani, A. Performance Analysis of Distance Protection in Presence of Type III Wind Turbine Generators. In Proceedings of the 2021 IEEE Power & Energy Society Innovative Smart Grid Technologies Conference (ISGT), Washington, DC, USA, 16–18 February 2021; pp. 1–5. [Google Scholar] [CrossRef]
- Zhang, C.; Ke, D.; Sun, Y.; Chung, C.Y.; Xu, J.; Shen, F. Coordinated Supplementary Damping Control of DFIG and PSS to Suppress Inter-Area Oscillations with Optimally Controlled Plant Dynamics. IEEE Trans. Sustain. Energy 2018, 9, 780–791. [Google Scholar] [CrossRef]
- Fan, L.; Kavasseri, R.; Miao, Z.L.; Zhu, C. Modeling of DFIG-Based Wind Farms for SSR Analysis. IEEE Trans. Power Deliv. 2010, 25, 2073–2082. [Google Scholar] [CrossRef]
- IEEE Ssr Working Group. Reader’s guide to subsynchronous resonance. IEEE Trans. Power Syst. 1992, 7, 150–157. [Google Scholar] [CrossRef]
- Mulawarman, A.; Mysore, P. Detection of Undamped Sub-Synchronous Oscillations of Wind Generators with Series Compensated Lines. In Proceedings of the Minnesota Power Systems Conference, Minneapolis, MN, USA, 1–3 November 2011. [Google Scholar]
- Jiang, H.; Ma, S.; Song, R.; Xiang, Z. Analysis on subsynchronous oscillation stability for large scale offshore wind integration. Energy Rep. 2020, 6, 189–195. [Google Scholar] [CrossRef]
- Shair, J.; Xie, X.; Yan, G. Mitigating subsynchronous control interaction in wind power systems: Existing techniques and open challenges. Renew. Sustain. Energy Rev. 2019, 108, 330–346. [Google Scholar] [CrossRef]
- Zhu, C.; Hu, M.; Wu, Z. Parameters impact on the performance of a double-fed induction generator-based wind turbine for subsynchronous resonance control. IET Renew. Power Gener. 2012, 6, 92–98. [Google Scholar] [CrossRef]
- An, Z.; Shen, C.; Zheng, Z.; Liu, F.; Chang, X.; Wei, W. Scenario-based analysis and probability assessment of sub-synchronous oscillation caused by wind farms with direct-driven wind generators. J. Modern Power Syst. Clean Energy 2019, 7, 243–253. [Google Scholar] [CrossRef] [Green Version]
- El-Moursi, M.S. Mitigating subsynchronous resonance and damping power system oscillation in a series compensated wind park using a novel static synchronous series compensator control algorithm. Wind Energy 2012, 15, 363–377. [Google Scholar] [CrossRef]
- Zhang, L.; Harnefors, L.; Nee, H. Interconnection of Two Very Weak AC Systems by VSC-HVDC Links Using Power-Synchronization Control. IEEE Trans. Power Syst. 2011, 26, 344–355. [Google Scholar] [CrossRef]
- Lasher, W.; Carter, C.; Daniel, J.; Martin, D.; Wong, W.; Koessler, R. Analysis of Reactive Compensation Design for the Competitive Renewable Energy Zones Transmission Plan in Texas; ABB: Quebec City, QC, Canada, 2010. [Google Scholar]
- Xie, X.; Liu, W.; Liu, H.; Du, Y.; Li, Y. A System-Wide Protection against Unstable SSCI in Series-Compensated Wind Power Systems. IEEE Trans. Power Deliv. 2018, 33, 3095–3104. [Google Scholar] [CrossRef]
- Ghaffarzdeh, H.; Mehrizi-Sani, A. Mitigation of Subsynchronous Resonance Induced by a Type III Wind System. IEEE Trans. Sustain. Energy 2020, 11, 1717–1727. [Google Scholar] [CrossRef]
- Ghafouri, M.; Karaagac, U.; Karimi, H.; Jensen, S.; Mahseredjian, J.; Faried, S.O. An LQR Controller for Damping of Subsynchronous Interaction in DFIG-Based Wind Farms. IEEE Trans. Power Syst. 2017, 32, 4934–4942. [Google Scholar] [CrossRef]
- Mohammadpour, H.A.; Santi, E. SSR Damping Controller Design and Optimal Placement in Rotor-Side and Grid-Side Converters of Series-Compensated DFIG-Based Wind Farm. IEEE Trans. Sustain. Energy 2015, 6, 388–399. [Google Scholar] [CrossRef]
- Huang, P.; El Moursi, M.S.; Xiao, W.; Kirtley, J.L. Subsynchronous Resonance Mitigation for Series-Compensated DFIG-Based Wind Farm by Using Two-Degree-of-Freedom Control Strategy. IEEE Trans. Power Syst. 2015, 30, 1442–1454. [Google Scholar] [CrossRef]
- Second Benchmark Model for Computer Simulation of Subsynchronous Resonance. IEEE Trans. Power Appar. Syst. 1985, PAS-104, 1057–1066. [CrossRef]
- Abad, G.; Lopez, J.; Rodriguez, M.; Marroyo, L.; Iwanski, G. Doubly Fed Induction Machine: Modeling and Control for Wind Energy Generation; John Wiley & Sons: Hoboken, NJ, USA, 2011; Volume 85. [Google Scholar]
- Gu, K.; Wu, F.; Zhang, X.-P. Sub-synchronous interactions in power systems with wind turbines: A review. IET Renew. Power Gener. 2019, 13, 4–15. [Google Scholar] [CrossRef]
- Daniel, J.; Wong, W.; Ingestrom, G.; Sjoberg, J. Subsynchronous phenomena and wind turbine generators. In Proceedings of the PES T&D 2012, Orlando, FL, USA, 7–10 May 2012; pp. 1–6. [Google Scholar] [CrossRef]
- Fan, L.; Miao, Z. Mitigating SSR Using DFIG-Based Wind Generation. IEEE Trans. Sustain. Energy 2012, 3, 349–358. [Google Scholar] [CrossRef]
- Mohammadpour, H.A.; Santi, E. Sub-synchronous resonance analysis in DFIG-based wind farms: Definitions and problem identification—Part I. In Proceedings of the 2014 IEEE Energy Conversion Congress and Exposition (ECCE), Pittsburgh, PA, USA, 14–18 September 2014; pp. 812–819. [Google Scholar] [CrossRef]
- Jiang, X.; Gole, A.M. A frequency scanning method for the identification of harmonic instabilities in HVDC systems. IEEE Trans. Power Deliv. 1995, 10, 1875–1881. [Google Scholar] [CrossRef]
- Kulkarni, A.M.; Das, M.K.; Gole, A.M. Frequency scanning analysis of STATCOM—Network interactions. In Proceedings of the 2016 IEEE 6th International Conference on Power Systems (ICPS), New Delhi, India, 4–6 March 2016; pp. 1–6. [Google Scholar] [CrossRef]
- Pintelon, R.; Schoukens, J. System Identification: A Frequency Domain Approach; John Wiley & Sons: Hoboken, NJ, USA, 2012. [Google Scholar]
- Matsuo, I.B.M.; Salehi, F.; Zhao, L.; Zhou, Y.; Lee, W. Optimized Frequency Scanning of Nonlinear Devices Applied to Subsynchronous Resonance Screening. IEEE Trans. Ind. Appl. 2020, 56, 2281–2291. [Google Scholar] [CrossRef]










| Method | Advantages | Disadvantages |
|---|---|---|
| Reducing series compensation [11] |
|
|
| Installation of Type-4 WTs in Type-3 WFs [12] |
|
|
| Damping control algorithm using STATCOM and SSSC [13] |
|
|
| Installation of VSC HVDC lines [14] |
|
|
| Bypass series capacitor upon detection of subsynchronous currents [15] |
|
|
| Auxiliary controller [17,18,19,20] |
|
|
| KpDQ | fSSCI [Hz] | R(fSSCI) [] | KpDQ | fSSCI [Hz] | R(fSSCI) [] |
|---|---|---|---|---|---|
| 0.50 | — | — | 1.00 | 13.7 | |
| 1.50 | 14.2 | 2.00 | 14.4 | ||
| 2.50 | 14.4 | 3.00 | 14.2 | ||
| 3.50 | 14.1 | 4.00 | 14.2 | ||
| 4.50 | 14.1 | 5.00 | 14.0 | ||
| 5.50 | 13.9 | 6.00 | 14.0 | ||
| 6.50 | 14.1 | 7.00 | 13.9 | ||
| 7.50 | 13.9 | 8.00 | 14.1 | ||
| 8.50 | 13.9 | 9.00 | 14.0 | ||
| 9.50 | 14.0 | 10.00 | 13.9 |
| Online Turbines | fSSCI [Hz] | R(fSSCI) [] |
|---|---|---|
| 100% | 14.4 | |
| 50% | 11.8 | |
| 25% | 9.5 | |
| 10% | 6.4 |
| Power Order | fSSCI [Hz] | R(fSSCI) [] |
|---|---|---|
| 100% | 14.4 | |
| 50% | 14.3 | |
| 25% | 14.3 | |
| 10% | 14.3 |
Publisher’s Note: MDPI stays neutral with regard to jurisdictional claims in published maps and institutional affiliations. |
© 2021 by the authors. Licensee MDPI, Basel, Switzerland. This article is an open access article distributed under the terms and conditions of the Creative Commons Attribution (CC BY) license (https://creativecommons.org/licenses/by/4.0/).
Share and Cite
Alatar, F.; Mehrizi-Sani, A. Frequency Scan–Based Mitigation Approach of Subsynchronous Control Interaction in Type-3 Wind Turbines. Energies 2021, 14, 4626. https://doi.org/10.3390/en14154626
Alatar F, Mehrizi-Sani A. Frequency Scan–Based Mitigation Approach of Subsynchronous Control Interaction in Type-3 Wind Turbines. Energies. 2021; 14(15):4626. https://doi.org/10.3390/en14154626
Chicago/Turabian StyleAlatar, Faris, and Ali Mehrizi-Sani. 2021. "Frequency Scan–Based Mitigation Approach of Subsynchronous Control Interaction in Type-3 Wind Turbines" Energies 14, no. 15: 4626. https://doi.org/10.3390/en14154626
APA StyleAlatar, F., & Mehrizi-Sani, A. (2021). Frequency Scan–Based Mitigation Approach of Subsynchronous Control Interaction in Type-3 Wind Turbines. Energies, 14(15), 4626. https://doi.org/10.3390/en14154626

