Simplified Floating Wind Turbine for Real-Time Simulation of Large-Scale Floating Offshore Wind Farms
Abstract
:1. Introduction
- A simplified FOWT model which is applicable for the real-time simulation of large-scale offshore wind farms is proposed. The simplified model is validated against the detailed FAST model.
- A simplified offshore wind farm model is developed with the consideration of wake effects and ocean waves throughout the offshore wind farms.
- A real-time modeling of the simplified floating offshore wind farm is developed and tested in Opal-RT real-time simulator to show the feasibility of the proposed FOWT models.
2. Floating Platforms for Offshore Wind Turbines
2.1. Floating Offshore Wind Turbines
2.2. FAST Wind Turbine Model
3. Simplification of Floating Offshore Wind Turbine
3.1. Wind Turbine Modeling
3.2. Simplified Modeling of Floating Platforms
- The aero-elastic effects are neglected.
- The wind turbine is always supposed to be aligned with the wind.
- The floating system is assumed to be aligned with the coming way.
3.3. Ocean Wave Modeling for Offshore Wind Farms
4. Simulation Results
4.1. Validation of Simplified Models
4.1.1. System Parameters
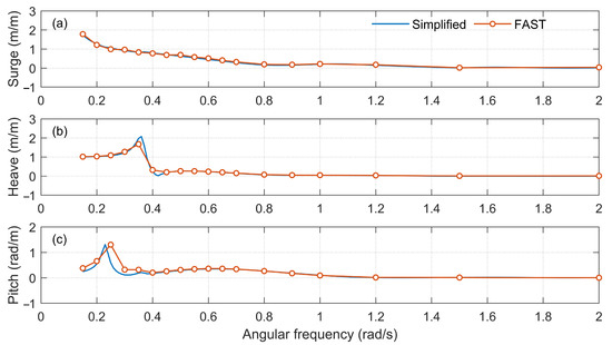
4.1.2. Validation Results
4.2. Floating Offshore Wind Farm Using Simplified Models
5. Conclusions
Author Contributions
Funding
Institutional Review Board Statement
Informed Consent Statement
Conflicts of Interest
References
- Dudley, B. BP statistical review of world energy. BP Stat. Rev. 2018, 6, 00116. [Google Scholar]
- Council, G.W.E. GWEC|Global Wind Report 2021; Global Wind Energy Council: Brussels, Belgium, 2017. [Google Scholar]
- Skopljak, N. GWEC Launches Floating Offshore Wind Task Force. Available online: https://www.offshorewind.biz/2020/07/07/gwec-launches-floating-offshore-wind-task-force/ (accessed on 12 July 2021).
- Patel, S. Global Offshore Wind Capacity Slated to Multiply Eight-Fold by 2030. Available online: https://www.powermag.com/global-offshore-wind-capacity-slated-to-multiply-eight-fold-by-2030/ (accessed on 12 July 2021).
- Equinor. The Future of Offshore Wind is Afloat. Available online: https://www.equinor.com/en/what-we-do/floating-wind.html (accessed on 22 May 2021).
- Principle Power, I. Principle Power and Partners Inaugurate the First Portuguese Offshore Wind Turbine. Available online: https://www.prnewswire.com/news-releases/principle-power-and-partners-inaugurate-the-first-portuguese-offshore-wind-turbine-159415035.html (accessed on 22 May 2021).
- Japan, M. Failure of World’s 1st Offshore Floating Wind Farm in Fukushima Disappoints 3.11 Survivors. Available online: https://mainichi.jp/english/articles/20210305/p2a/00m/0na/034000c (accessed on 22 May 2021).
- Utsunomiya, T.; Shiraishi, T.; Sato, I.; Inui, E.; Ishida, S. Floating offshore wind turbine demonstration project at Goto Islands, Japan. In Proceedings of the OCEANS 2014-TAIPEI, Taipei, Taiwan, 7–10 April 2014; pp. 1–7. [Google Scholar]
- Durakovic, A. France’s Only Offshore Wind Turbine Overdelivers. Available online: https://www.offshorewind.biz/2021/02/01/frances-only-offshore-wind-turbine-overdelivers/ (accessed on 22 May 2021).
- Jonkman, J.M. Dynamics of offshore floating wind turbines—Model development and verification. Wind Energy 2009, 12, 459–492. [Google Scholar] [CrossRef]
- Henderson, A.R.; Patel, M.H. On the modelling of a floating offshore wind turbine. Wind Energy 2003, 6, 53–86. [Google Scholar] [CrossRef]
- Laboratory, N.R.E. FAST Wind Research. Available online: https://www.nrel.gov/wind/nwtc/fast.html (accessed on 22 May 2021).
- Pegalajar-Jurado, A.; Borg, M.; Bredmose, H. An efficient frequency-domain model for quick load analysis of floating offshore wind turbines. Wind Energy Sci. 2018, 3, 693–712. [Google Scholar] [CrossRef] [Green Version]
- Betti, G.; Farina, M.; Guagliardi, G.A.; Marzorati, A.; Scattolini, R. Development of a control-oriented model of floating wind turbines. IEEE Trans. Control. Syst. Technol. 2013, 22, 69–82. [Google Scholar] [CrossRef]
- Betti, G.; Farina, M.; Marzorati, A.; Scattolini, R.; Guagliardi, G. Modeling and control of a floating wind turbine with spar buoy platform. In Proceedings of the 2012 IEEE International Energy Conference and Exhibition (ENERGYCON), Florence, Italy, 9–12 September 2012; pp. 189–194. [Google Scholar]
- Homer, J.R.; Nagamune, R. Control-oriented physics-based models for floating offshore wind turbines. In Proceedings of the 2015 American Control Conference (ACC), Chicago, IL, USA, 1–3 July 2015; pp. 3696–3701. [Google Scholar]
- Dinh, M.C.; Park, M.; Nguyen, T.T. Simplified Floating Offshore Wind Turbine Model for Time-domain Simulation. In Proceedings of the 2019 8th International Conference on Renewable Energy Research and Applications (ICRERA), Brasov, Romania, 3–6 November 2019; pp. 270–275. [Google Scholar]
- Jonkman, J.; Butterfield, S.; Musial, W.; Scott, G. Definition of a 5-MW Reference wind Turbine for Offshore System Development; Technical Report; National Renewable Energy Lab. (NREL): Golden, CO, USA, 2009. [Google Scholar]
- Robertson, A.; Jonkman, J.; Masciola, M.; Song, H.; Goupee, A.; Coulling, A.; Luan, C. Definition of the Semisubmersible Floating System for Phase II of OC4; Technical Report; National Renewable Energy Lab.(NREL): Golden, CO, USA, 2014. [Google Scholar]
- Jonkman, J. Definition of the Floating System for Phase IV of OC3; Technical Report; National Renewable Energy Lab. (NREL): Golden, CO, USA, 2010. [Google Scholar]
- Laboratory, N.R.E. Global Offshore Wind Capacity Slated to Multiply Eight-Fold by 2030. Available online: https://raf-openfast.readthedocs.io/en/docs-fast8readme/source/user/openfast/simulink.html (accessed on 12 July 2021).
- Wu, B.; Lang, Y.; Zargari, N.; Kouro, S. Power Conversion and Control of Wind Energy Systems; John Wiley & Sons: Hoboken, NJ, USA, 2011; Volume 76. [Google Scholar]
- Pham, T.D.; Shin, H. A New Conceptual Design and Dynamic Analysis of a Spar-Type Offshore Wind Turbine Combined with a Moonpool. Energies 2019, 12, 3737. [Google Scholar] [CrossRef] [Green Version]
- Wikipedia Contributors. Wind Profile Power Law—Wikipedia, The Free Encyclopedia. 2020. Available online: https://en.wikipedia.org/wiki/Wind_profile_power_law.html (accessed on 10 June 2021).
- Grunnet, J.D.; Soltani, M.; Knudsen, T.; Kragelund, M.N.; Bak, T. Aeolus toolbox for dynamics wind farm model, simulation and control. In Proceedings of the European Wind Energy Conference and Exhibition, EWEC 2010: Conference Proceedings, Warsaw, Poland, 20–23 April 2010. [Google Scholar]





















| Description | Unit | Semi-Submersible | Spar-Buoy |
|---|---|---|---|
| Volume displacement | m | 13,917 | 8029 |
| Center of buoyancy below still water level (SWL) | m | 13.15 | 62.1 |
| Platform mass | ton | 13,473.00 | 7466.33 |
| Center of mass (CM) of platform below SWL | m | 13.46 | 89.916 |
| Platform roll inertia about CM | kg·m | ||
| Platform pitch inertia about CM | kg·m | ||
| Platform yaw inertia about CM | kg·m |
| Description | Unit | Semi-Submersible | Spar-Buoy |
|---|---|---|---|
| Water depth | m | 200 | 320 |
| Number of mooring line | - | 3 | 3 |
| Mooring diameter | mm | 76.6 | 90 |
| Mooring line mass density (air) | kg/m | 113.35 | 77.7066 |
| Axial stiffness (EA) | MN | 753.6 | 384.24 |
| Unstretched mooring line length | m | 835.5 | 902.2 |
| Depth to fairleads below SWL | m | 14 | 70 |
| Radius to fairlead | m | 40.868 | 5.2 |
| Radius to anchor | m | 837.6 | 853.87 |
| Model | RAOs | Mean | STD |
|---|---|---|---|
| FAST model | Surge (m) | 4.921 | 0.085 |
| Pitch (deg) | 1.787 | 0.087 | |
| Power (MW) | 1.754 | 0.0076 | |
| Simplified model | Surge (m) | 4.92 | 0.133 |
| Pitch (deg) | 1.79 | 0.087 | |
| Power (MW) | 1.75 | 0.0059 |
| Model | RAOs | Mean | STD |
|---|---|---|---|
| FAST | Surge | 9.51 | 0.2489 |
| Pitch | 2.61 | 0.0962 | |
| Power | 1.746 | 0.0076 | |
| Simplified | Surge | 9.5 | 0.2339 |
| Pitch | 2.6 | 0.1072 | |
| Power | 1.74 | 0.0073 |
| Model | Mean | STD |
|---|---|---|
| Semi-based WF | 259.05 | 22.25 |
| Spar-based WF | 259.15 | 27.40 |
Publisher’s Note: MDPI stays neutral with regard to jurisdictional claims in published maps and institutional affiliations. |
© 2021 by the authors. Licensee MDPI, Basel, Switzerland. This article is an open access article distributed under the terms and conditions of the Creative Commons Attribution (CC BY) license (https://creativecommons.org/licenses/by/4.0/).
Share and Cite
Pham, T.-D.; Dinh, M.-C.; Kim, H.-M.; Nguyen, T.-T. Simplified Floating Wind Turbine for Real-Time Simulation of Large-Scale Floating Offshore Wind Farms. Energies 2021, 14, 4571. https://doi.org/10.3390/en14154571
Pham T-D, Dinh M-C, Kim H-M, Nguyen T-T. Simplified Floating Wind Turbine for Real-Time Simulation of Large-Scale Floating Offshore Wind Farms. Energies. 2021; 14(15):4571. https://doi.org/10.3390/en14154571
Chicago/Turabian StylePham, Thanh-Dam, Minh-Chau Dinh, Hak-Man Kim, and Thai-Thanh Nguyen. 2021. "Simplified Floating Wind Turbine for Real-Time Simulation of Large-Scale Floating Offshore Wind Farms" Energies 14, no. 15: 4571. https://doi.org/10.3390/en14154571
APA StylePham, T.-D., Dinh, M.-C., Kim, H.-M., & Nguyen, T.-T. (2021). Simplified Floating Wind Turbine for Real-Time Simulation of Large-Scale Floating Offshore Wind Farms. Energies, 14(15), 4571. https://doi.org/10.3390/en14154571

