Numerical Study of Heat Transfer Intensification in a Circular Tube Using a Thin, Radiation-Absorbing Insert. Part 2: Thermal Performance
Abstract
:1. Introduction
2. Geometric Model of the Insert
3. Boundary Conditions of Simulation and Numerical Model
3.1. Governing Equations
3.2. Turbulence Model
3.3. Radiation Model
3.4. Grid Independence
4. Data Processing
5. Results and Discussion
5.1. Heat Fluxes Balance
5.2. PEC Coefficient
6. Summary and Conclusions
- (1)
- The highest insert temperatures are observed for small Re numbers, and they decrease with increasing Re numbers. As it is known from the Stefan–Boltzmann law for grey bodies (11), the greater the temperature difference among the surfaces, the greater the radiative heat flux transferred between them. In the case of the tested inserts, the magnitude of this flux is also influenced by the ratio of the heat transfer surfaces A1/A2, which is different in each geometry due to the changing insert diameter. According to Figure 5, the largest temperature differences ∆T and the greatest radiative heat fluxes are noted for the largest Re numbers.
- (2)
- The fractions of these fluxes in relation to the total flux are shown in Figure 6. As can be seen, the largest radiative heat fluxes are absorbed by the inserts with the largest diameters, and the largest convective heat fluxes occur for the smallest insert’s diameters. In general, for all studied inserts, as the Re number increases, the radiative heat flux decreases and the convective flux increases.
- (3)
- The fractions of convective heat fluxes on both sides of the insert, in relation to the radiation flux absorbed by it, are shown in Figure 7. The presented graphs show negative values and values greater than 1. Negative fractions in Figure 7a mean that the convective heat flux has changed direction, and now the insert from the outer side is additionally heated by the flowing gas. Related to it is a convective heat flux directed to the inside of the insert, for which fractions greater than one were observed, Figure 7b. This notation means that thermal energy is transferred by convection from the insert’s outer space to its interior. It can therefore be said that for such cases, the insert only acts one-sidedly, which generally significantly reduces the overall intensification of heat transfer. In Figure 8 can be seen that at high Re numbers, the gas’s temperature in the annular cross-section is higher than the inserts, which causes its convection heating. With dimensionless diameters D = 0.8 and D = 0.9, two inserts work like this throughout almost the entire range of Re numbers.
- (4)
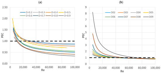
- The thermal efficiency (PEC), depending on the calculation method, differs significantly from each other. As shown in Figure 11, the max PEC value calculated by method (a) is approx. 2 for the insert diameter D = 0.5, while the value calculated by method (b) reaches a value over 8 for D = 0.9. It can be noticed that the characteristics calculated by method (b) are arranged in a very orderly manner—their value increases with the insert diameter. The lowest PEC values are observed for the smallest insert diameter D = 0.2, and the highest values for D = 0.9, with the maximum reaching over 8.
- (5)
- In numerical tests, the same emissivity of the pipe’s inner surface and the insert equal to ε = 0.9 was used because these values better correspond to actual conditions. As it results from the Stefan–Boltzmann law and Equation (11), increasing the emissivity of such surfaces will increase the radiative heat flux and the thermal efficiency of such a tube.
Funding
Institutional Review Board Statement
Informed Consent Statement
Data Availability Statement
Conflicts of Interest
Nomenclature
| A | heat transfer area (m2) | |
| di | insert diameter (m) | |
| dp | pipe diameter (m) | |
| D | diameter ratio, (di/dp) | |
| dp/dx | pressure gradient (Pa/m) | |
| f | friction factor | |
| k | thermal conductivity (W/mK) | |
| L | domain length (m) | |
| Nu | Nusselt number | |
| total heat flux (W/m2) | ||
| radiative heat flux (W/m2) | ||
| convective heat flux (W/m2) | ||
| PEC | Performance Evaluation Criteria | |
| Pr | Prandtl number | |
| Re | Reynolds number | |
| Tb | bulk temperature (K) | |
| Tw | wall temperature (K) | |
| u | average velocity (m/s) | |
| vector of velocity (m/s) | ||
| v | kinematic viscosity (m2/s) | |
| ∆T | temperature difference (K) | |
| ε | emissivity | |
| ε12 | interchange factor | |
| ρ | density (kg/m3) | |
| μ | dynamic viscosity (Pa·m) | |
| τw | wall shear stress (Pa) | |
| indexes: | ||
| s | smooth tube | |
| 1 | for smaller heat transfer area | |
| 2 | for bigger heat transfer area | |
References
- Bas, H.; Ozceyhan, V. Heat transfer enhancement in a tube with twisted tape inserts placed separately from the tube wall. Exp. Therm. Fluid Sci. 2012, 41, 51–58. [Google Scholar] [CrossRef]
- Jasiński, P.B. Numerical study of thermal-hydraulic characteristics in a circular tube with ball turbulators. Part 3: Thermal performance analysis. Int. J. Heat Mass Transf. 2017, 107, 1138–1147. [Google Scholar] [CrossRef]
- Bitama, W.; Demaghb, Y.; Hachicha, A.A.; Benmoussa, H.; Kabar, Y. Numerical investigation of a novel sinusoidal tube receiver for parabolic trough technology. Appl. Energy 2018, 218, 494–510. [Google Scholar] [CrossRef]
- Ozceyhan, V.; Gunes, S.; Buyukalaca, O.; Altuntop, N. Heat transfer enhancement in a tube using circular cross sectional rings separated from wall. Appl. Energy 2008, 85, 988–1001. [Google Scholar] [CrossRef]
- Tu, W.; Wang, Y.; Tang, Y. A numerical study on thermal-hydraulic characteristics of turbulent flow through a circular tube fitted with pipe inserts. Appl. Therm. Eng. 2016, 101, 413–421. [Google Scholar] [CrossRef]
- Wang, W.; Zhang, Y.; Lee, K.-S.; Li, B. Optimal design of a double pipe heat exchanger based on the outward helically corrugated tube. Int. J. Heat Mass Transf. 2019, 135, 706–716. [Google Scholar] [CrossRef]
- Zheng, Z.-J.; Li, M.; He, Y.-L. Thermal analysis of solar central receiver tube with porous inserts and non-uniform heat flux. Appl. Energy 2017, 185, 1152–1161. [Google Scholar] [CrossRef]
- Alijani, M.R.; Hamidi, A.A. Convection and radiation heat transfer in a tube with core rod insert at high temperature. Heat Mass Transf. 2014, 51, 911–919. [Google Scholar] [CrossRef]
- Alijani, M.R.; Hamidi, A.A. Convection and radiation heat transfer in a tube with core rod and honeycomb network inserts at high temperature. J. Mech. Sci. Technol. 2013, 27, 3487–3493. [Google Scholar] [CrossRef]
- Zhang, J.; Sutton, W.; Lai, F. Enhancement of heat transfer using porous convection-to-radiation converter for laminar flow in a circular duct. Int. J. Heat Mass Transf. 1996, 40, 39–48. [Google Scholar] [CrossRef]
- Jasiński, P.B. Numerical study of heat transfer intensification in a circular tube using a thin, radiation-absorbing insert. Part 1: Thermo-hydraulic characteristics. Energies 2021, in press. [Google Scholar]
- Gutkowski, A. Numerical Analysis of Flame Behavior Near the Quenching Conditions During Passage from Wider to Narrower Tube Diameters. Combust. Sci. Technol. 2012, 184, 1616–1634. [Google Scholar] [CrossRef]
- Kacprzak, K.; Liskiewicz, G.; Sobczak, K. Numerical investigation of conventional and modified Savonius wind turbines. Renew. Energy 2013, 60, 578–585. [Google Scholar] [CrossRef]
- Fodemski, T.; Górecki, G.; Jasiński, P. Corrugated channels heat transfer efficiency Analysis based on velocity fields resulting from computer simulation and PIV Measurements. In Proceedings of the 8th International Conference on Heat Transfer, Fluid Mechanics and Thermodynamics, HEFAT 2011, Pointe Aux Piments, Mauritius, 11–13 July 2011. [Google Scholar]
- Kryłłowicz, W.; Magiera, R.; Łagodziński, J.; Sobczak, K.; Liskiewicz, G. Aerodynamical and structural design of the diagonal blower and its numerical and experimental validation. J. Vib. Eng. Technol. 2014, 2, 459–468. [Google Scholar]
- Jasiński, P.B. Numerical study of thermal-hydraulic characteristics in a circular tube with ball turbulators. Part 1: PIV experiment and pressure drop. Int. J. Heat Mass Transf. 2014, 74, 48–59. [Google Scholar] [CrossRef]
- Jasiński, P.B. Numerical study of thermal-hydraulic characteristics in a circular tube with ball turbulators. Part 2: Heat transfer. Int. J. Heat Mass Transf. 2014, 74, 473–483. [Google Scholar] [CrossRef]
- Woźniak, D.; Obidowski, D.; Papierski, A. CFD based optimization of a semi-open impeller centrifugal pump for circulatory support. Int. J. Artif. Organs 2015, 38, 380. [Google Scholar]
- Jasiński, P. Numerical Study of Friction Factor and Heat Transfer Characteristics for Single-Phase Turbulent Flow in Tubes with Helical Micro-Fins. Arch. Mech. Eng. 2012, 59, 469–485. [Google Scholar] [CrossRef] [Green Version]
- Jasiński, P. Numerical optimization of flow-heat ducts with helical micro-fins, using Entropy Generation Minimization (EGM) method. In Proceedings of the WSEAS International Conferences (HTE’11), Florence, Italy, 23–25 August 2011; pp. 47–54. [Google Scholar]
- ANSYS-CFX Manual v. 18.1. Available online: http://www.ansys.com (accessed on 25 July 2021).
- Gutkowski, A.N.; Łęcki, M.; Jasiński, P.; Jędrowiak, B. Flame behavior during propagation in small isothermal tubes characterized by different degrees of the end opening. Combust. Sci. Technol. 2018, 191, 711–725. [Google Scholar] [CrossRef]
- Zheng, N.; Liu, P.; Wang, X. Numerical simulation and optimization of heat transfer enhancement in a heat exchanger tube fitted with vortex rod inserts. Appl. Therm. Eng. 2017, 123, 471–484. [Google Scholar] [CrossRef]
- Huanga, S.; Chena, H.; Zhang, X. Experimental evaluation of thermal performance in a circular tube with Y-branch insert. Int. Commun. Heat Mass Transf. 2019, 106, 15–21. [Google Scholar] [CrossRef]
- Jasiński, P.; Kowalczyk, M.; Romaniak, A.; Warwas, B.; Obidowski, D.; Gutkowski, A. Investigation of Thermal-Flow Characteristics of Pipes with Helical Micro-Fins of Variable Height. Energies 2021, 14, 2048. [Google Scholar] [CrossRef]
- Hasanpour, A.; Farhadi, M.; Sedighi, K. A review study on twisted tape inserts on turbulent flow heat exchangers: The overall enhancement ratio criteria. Int. Commun. Heat Mass Transf. 2014, 55, 53–62. [Google Scholar] [CrossRef]
- Chang, C.; Sciacovelli, A.; Wu, Z.; Li, X.; Li, Y.; Zhao, M.; Deng, J.; Wang, Z.; Ding, Y. Enhanced heat transfer in a parabolic trough solar receiver by inserting rods and using molten salt as heat transfer fluid. Appl. Energy 2018, 220, 337–350. [Google Scholar] [CrossRef]
- Liu, G.; Yang, C.; Zhang, J.; Zong, H.; Xu, B.; Qian, J.-Y. Internal Flow Analysis of a Heat Transfer Enhanced Tube with a Segmented Twisted Tape Insert. Energies 2020, 13, 207. [Google Scholar] [CrossRef] [Green Version]
- Wijayanta, A.T.; Pranowo; Mirmanto; Kristiawan, B.; Aziz, M. Internal Flow in an Enhanced Tube Having Square-cut Twisted Tape Insert. Energies 2019, 12, 306. [Google Scholar] [CrossRef] [Green Version]
- Bellos, E.; Tzivanidis, C. Enhancing the Performance of Evacuated and Non-Evacuated Parabolic Trough Collectors Using Twisted Tape Inserts, Perforated Plate Inserts and Internally Finned Absorber. Energies 2018, 11, 1129. [Google Scholar] [CrossRef] [Green Version]
- Ho, C.; Liu, Y.-C.; Yang, T.-F.; Ghalambaz, M.; Yan, W.-M. Convective heat transfer of nano-encapsulated phase change material suspension in a divergent minichannel heatsink. Int. J. Heat Mass Transf. 2021, 165, 120717. [Google Scholar] [CrossRef]
- Ho, C.; Liu, Y.-C.; Ghalambaz, M.; Yan, W.-M. Forced convection heat transfer of Nano-Encapsulated Phase Change Material (NEPCM) suspension in a mini-channel heatsink. Int. J. Heat Mass Transf. 2020, 155, 119858. [Google Scholar] [CrossRef]












| Boundary Condition | Description | Parameter | Value/Type |
|---|---|---|---|
| Fluid Domain | Air | Mean Temperature | 273 K |
| Reference Pressure | 1 atm | ||
| Turbulence Model | SST k-ω | ||
| Subdomain | Subdomain was set in domain of air. The pressure gradient determined according to the flow direction. | Pressure gradient | 0.025–8 Pa/m |
| Volumetric heat flux | W | ||
| Wall | Boundary condition set on the wall of pipe in the form of constant Temperature | Temperature | 373 K |
| Translational Periodicity | Translational Periodicity set on the inlet and outlet areas of Fluid Domain. | - | - |
| Rotational Symmetry | Rotational Symmetry set on the both sides of Fluid Domain. | - | - |
| a0 | a1 | a2 | a3 | ||
|---|---|---|---|---|---|
| thermal conductivity | k(T) | −1.8650 × 10−3 | 1.1018 × 10−4 | −5.6729 × 10−8 | 1.6728 × 10−11 |
| dynamic viscosity | μ(T) | 2.0251 × 10−6 | 6.3507 × 10−8 | −3.0959 × 10−11 | 7.8708 × 10−15 |
| di [mm] | 40 | 60 | 80 | 100 | 120 | 140 | 160 | 180 |
|---|---|---|---|---|---|---|---|---|
| D [-] | 0.2 | 0.3 | 0.4 | 0.5 | 0.6 | 0.7 | 0.8 | 0.9 |
| No. of Elements | f | dev. % | Nu | dev. % |
|---|---|---|---|---|
| 6140 | 0.0461 | - | 73.23 | - |
| 11,960 | 0.0508 | 9.38 | 78.05 | 6.18 |
| 18,230 | 0.0543 | 6.32 | 80.13 | 2.60 |
| 25,440 | 0.0551 | 1.45 | 80.62 | 0.61 |
| 49,820 | 0.0556 | 0.9 | 80.80 | 0.22 |
Publisher’s Note: MDPI stays neutral with regard to jurisdictional claims in published maps and institutional affiliations. |
© 2021 by the author. Licensee MDPI, Basel, Switzerland. This article is an open access article distributed under the terms and conditions of the Creative Commons Attribution (CC BY) license (https://creativecommons.org/licenses/by/4.0/).
Share and Cite
Jasiński, P.B. Numerical Study of Heat Transfer Intensification in a Circular Tube Using a Thin, Radiation-Absorbing Insert. Part 2: Thermal Performance. Energies 2021, 14, 4533. https://doi.org/10.3390/en14154533
Jasiński PB. Numerical Study of Heat Transfer Intensification in a Circular Tube Using a Thin, Radiation-Absorbing Insert. Part 2: Thermal Performance. Energies. 2021; 14(15):4533. https://doi.org/10.3390/en14154533
Chicago/Turabian StyleJasiński, Piotr Bogusław. 2021. "Numerical Study of Heat Transfer Intensification in a Circular Tube Using a Thin, Radiation-Absorbing Insert. Part 2: Thermal Performance" Energies 14, no. 15: 4533. https://doi.org/10.3390/en14154533
APA StyleJasiński, P. B. (2021). Numerical Study of Heat Transfer Intensification in a Circular Tube Using a Thin, Radiation-Absorbing Insert. Part 2: Thermal Performance. Energies, 14(15), 4533. https://doi.org/10.3390/en14154533
