Long-Term Thermal Performance of Group of Energy Piles in Unsaturated Soils under Cyclic Thermal Loading
Abstract
:1. Introduction
2. Finite Element Modelling
2.1. Soil Moisture Transfer Mechanism
2.2. Dry Air Transfer Mechanism
2.3. Soil Heat Transfer Mechanism
2.4. Numerical Modelling
2.4.1. Geometry Description
2.4.2. Initial Conditions
2.4.3. Boundary Conditions
2.5. Material Parameters
2.5.1. Thermal Conductivity
2.5.2. Soil-Water Characteristic Curve and Unsaturated Hydraulic Conductivity
3. Numerical Simulation
3.1. Case 1: Heating and Cooling of All the GEPs in the Group
3.2. Case 2: Heating and Cooling of Alternate GEPs in the Group
4. Numerical Simulation
4.1. Case 1: Heating and Cooling of All the GEPs in the Group
4.1.1. Temperature Evolution
4.1.2. Radial Temperature Distribution
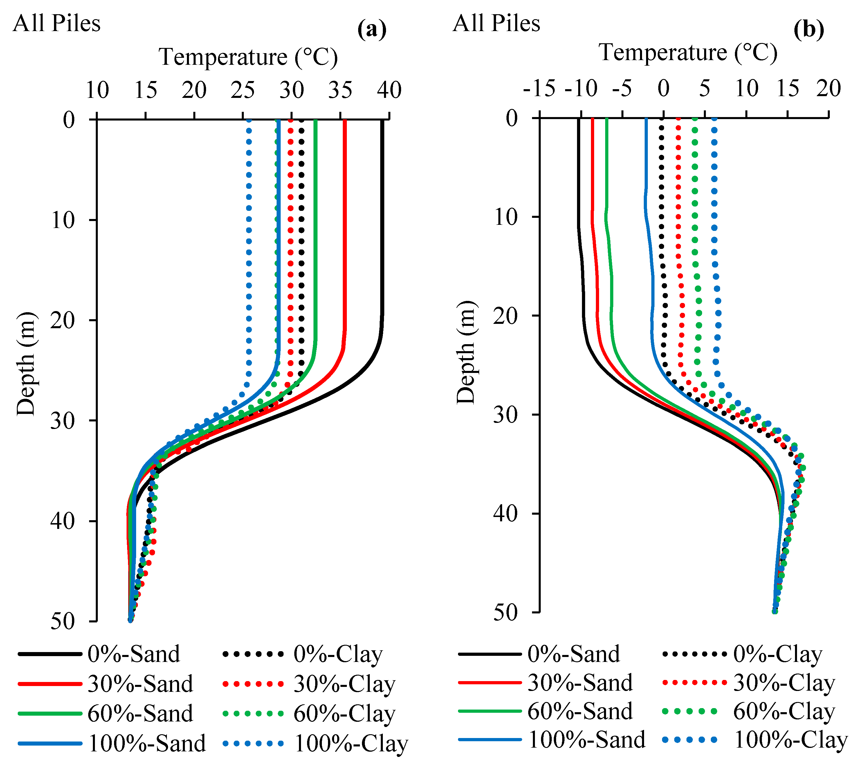
4.1.3. Temperature Distribution with Depth
4.1.4. Degree of Saturation with Depth
4.2. Case 2: Heating and Cooling of Alternate GEPs in the Group
4.2.1. Temperature Evolution
4.2.2. Radial Temperature Distribution
4.2.3. Temperature Distribution with Depth
4.2.4. Degree of Saturation with Depth
5. Conclusions
- The maximum temperature magnitude in all the simulations were observed at point B, i.e., the mid-point for all the group of GEPs. This could be as a result of the contribution of heat radiating from all the four GEPs towards the centre (point B). In addition, the temperature magnitude at this location and all the other locations decreases as the initial degree of saturation of the soil increases from 0% to 100% in the sand and the clay soils.
- Similarly, the temperature magnitudes at locations A, B, and C were observed to be higher in the sand than in clays. This phenomenon can be described based on the thermal conductivity of the two soils: sand and clay. The lower thermal conductivity values in clays permit the development of greater temperature magnitude around the GEPs and prevent heat from radiating away to greater distances in the soil domain. In contrast, in the case of sand, its thermal conductivity was about twice that of the clay as the two soils approach full saturation. This allows the sand to easily transfer heat to greater distances within the soil whilst preventing the development of greater temperature magnitudes at the regions close to the GEPs. Similarly, soil permeability is another factor that is greater in sands and allows heat to be easily transferred via convection due to its high porosity.
- The continuous heating and cooling cycles of the GEPs, during the 10 years of numerical simulations, resulted in a continuous decrease in temperature trend at all the observed locations (i.e., A, B, and C, respectively). This could be as a result of the continuous heat injection and extraction mode without allowing the system any opportunity to recover throughout the period of the numerical simulations. However, adopting intermittent heating and cooling mode of operation permits the soil domain to naturally recover and prevent excessive heat build-up or deficit in the soil [46]. This is important in safeguarding the long-term thermal performance of the system.
- In addition, thermally activating some selected and alternate GEPs in the group results in lower temperature magnitude at all the observed locations in the soil domain, and the temperature change decreases with an increase in soil saturation. This is a result of the increase in the spacing between the GEPs that are thermally activated, thus allowing greater soil volume for heat rejection and solicitation. This is especially important where the structural pile foundation elements are situated close to each other and/or where they are installed in problematic clays. This could lead to the heaving or contraction of the clays and the GEPs due to excessive heat injection or extraction. Thus, thermally activating alternate GEPs offers an alternative approach towards installing an energy-efficient GEP system, and ensure the longevity of the system.
- Furthermore, temperatures that are well below freezing were observed at some point during the simulations. It is strongly advised that the application of any temperature magnitude that could result in extreme changes to the soil and pile(s) should be avoided. Because the superimposition of extreme heating and cooling loads results in the expansion and contraction of the pile(s). This phenomenon has a negative consequence on the structural integrity of the pile(s).
- Lastly, future investigations should employ a 3D modelling approach to investigate the effect of thermally activating all the GEPs and alternate ones and compare with the findings here. In addition, the application of equal total thermal load on the GEPs in both cases should be investigated.
Author Contributions
Funding
Data Availability Statement
Conflicts of Interest
Nomenclature
| Abbreviation | |
| GSHP | Ground source heat pump |
| GEP | Geothermal energy pile |
| HCF | Heat carrier fluid |
| HDPE | High density poly-ethylene |
| DTN | Dynamic Thermal Network |
| LCA | Life cycle analysis |
| FEM | Finite element modelling |
| TH | Thermo-hydraulic |
| COMPASS | COde for Modelling PArtially Saturated Soils |
| THM-C | Thermo-Hydraulic-Mechanical and Chemical |
| SWCC | Soil water characteristic curve |
| PVC | Polyvinyl chloride |
| Parameters | |
| Cps | Specific heat capacity of solid soil particles [J/(kg K)] |
| Cpl | Specific heat capacity of liquid [J/(kg K)] |
| Cpv | Specific heat capacity of vapour [J/(kg K)] |
| Cpda | Specific heat capacit of dry air [J/(kg K)] |
| Datms | Molecular diffusivity of vapour through air |
| h | Relative humidity (%) |
| Hs | Henry’s volumetric coefficient of solubility |
| kl | Intrinsic permeability (m/s) |
| Kl | Unsaturated hydraulic conductivity (m/s) |
| ksat | Saturated hydraulic conductivity (m/s) |
| L | Latent heat of vaporisation (J/kg) |
| n | Soil porosity |
| q | Heat flux (W/m2) |
| Q | Heat flow per unit length (W/m) |
| s | Suction (MPa) |
| Sa | Degree of saturation of pore air (%) |
| Sl | Degree of saturation of pore water (%) |
| t | time (seconds) |
| T | temperature (K) |
| Ti | Reference temperature (K) |
| Pore air pressure (Pa) | |
| Pore water pressure (Pa) | |
| va | Velocities of air (m/s) |
| vl | Velocities of liquid (m/s) |
| vv | Velocities of vapour (m/s) |
| Mass flow factor | |
| z | Elevation (m) |
| Greek Symbols | |
| γl | Unit weight of liquid (kN/m3) |
| ∂V | Incremental volume (m3) |
| δ, ε, φ, ϕ | Constant fitting parameter |
| θ | Volumetric moisture content |
| θa | Volumetric air content |
| θl | Volumetric liquid content |
| θlr | Residual volumetric liquid water content |
| θls | Saturated volumetric liquid water content |
| λs | Coefficient of thermal conductivity of unsaturated soil [W/(m·K)] |
| λdry | Coefficient of thermal conductivity of dry soil [W/(m·K)] |
| λsat | Coefficient of thermal conductivity of saturated soil [W/(m·K)] |
| μl | Absolute viscosity of pore liquid (Pas) |
| ρd | Dry density (Kg/m3) |
| ρda | Density of dry air (kg/m3) |
| ρl | Density of liquid water (kg/m3) |
| ρo | Saturated vapour density (kg/m3) |
| ρs | Density of solid soil particles (Kg/m3) |
| ρv | Density of water vapour (kg/m3) |
| Ω | Heat content |
| ∇ | Gradient operator |
| Microscopic pore temperature gradient factor | |
References
- Sani, A.K.; Singh, R.M.; De Tsuha, C.H.C.; Cavarretta, I. Pipe–pipe thermal interaction in a geothermal energy pile. Geothermics 2019, 81, 209–223. [Google Scholar] [CrossRef]
- Sani, A.K.; Singh, R.M.; Amis, T.; Cavarretta, I. A review on the performance of geothermal energy pile foundation, its design process and applications. Renew. Sustain. Energy Rev. 2019, 106, 54–78. [Google Scholar] [CrossRef]
- Laloui, L.; Nuth, M.; Vulliet, L. Experimental and numerical investigations of the behaviour of a heat exchanger pile. Int. J. Numer. Anal. Methods Géoméch. 2006, 30, 763–781. [Google Scholar] [CrossRef]
- Singh, R.M.; Bouazza, A.; Wang, B.; Haberfield, C.H.; Baycan, S.; Carden, Y. Thermal and Thermo-Mechanical Response of a Geothermal Energy Pile. In Proceedings of the World Geothermal Congress 2015, Melbourne, Australia, 19–25 April 2015; Volume 7. [Google Scholar]
- Bourne-Webb, P.J.; Amatya, B.; Soga, K.; Amis, T.; Davidson, C.; Payne, P. Energy pile test at Lambeth College, London: Geotechnical and thermodynamic aspects of pile response to heat cycles. Géotechnique 2009, 59, 237–248. [Google Scholar] [CrossRef]
- Amatya, B.L.; Soga, K.; Bourne-Webb, P.J.; Amis, T.; Laloui, L. Thermo-mechanical behaviour of energy piles. Géotechnique 2012, 62, 503–519. [Google Scholar] [CrossRef]
- Sani, A.K. Thermo-Hydraulic Behaviour of Geothermal Energy Piles in Unsaturated Soils. Ph.D. Thesis, University of Surrey, Guildford, UK, 2019. [Google Scholar]
- Kawuwa, A.S.; Singh, R.M.; Cavarretta, I. Ground thermal response to a pile heat exchanger subjected to heating load. In Proceedings of the 2nd Symposium on Coupled Phenomena in Environmental Geotechnics (CPEG2), Leeds, UK, 6–7 September 2017. [Google Scholar]
- McCartney, J.S.; Reed, A.; Ge, S.; Lu, N.; Smits, K. Soil-Borehole Thermal Energy Storage Systems for District Heating. In Proceedings of the European Geothermal Congress 2013, Pisa, Italy, 3–7 June 2013; pp. 1–10. [Google Scholar]
- Hesaraki, A.; Holmberg, S.; Haghighat, F. Seasonal thermal energy storage with heat pumps and low temperatures in building projects—A comparative review. Renew. Sustain. Energy Rev. 2015, 43, 1199–1213. [Google Scholar] [CrossRef] [Green Version]
- Ochsner, T.E.; Sauer, T.J.; Horton, R. Soil Heat Storage Measurements in Energy Balance Studies. Agron. J. 2007, 99, 311–319. [Google Scholar] [CrossRef] [Green Version]
- Mccartney, J.S.; Baser, T. Role of coupled processes in thermal energy storage in the vadose zone. In Proceedings of the 2nd Symposium on Coupled Phenomena in Environmental Geotechnics (CPEG2), Leeds, UK, 6–7 September 2017; pp. 2–7. [Google Scholar]
- Sani, A.K.; Singh, R.M.; Cavarretta, I.; Bhattacharya, S. Heat storage performance of a pile heat exchanger installed in partially saturated swelling clay. In Proceedings of the 7th International Conference on Unsaturated Soils, Hong Kong, China, 3–5 August 2018. [Google Scholar]
- Dupray, F.; Laloui, L.; Kazangba, A. Numerical analysis of seasonal heat storage in an energy pile foundation. Comput. Geotech. 2014, 55, 67–77. [Google Scholar] [CrossRef]
- Rees, S.; Van Lysebetten, G. A response factor approach to modelling long-term thermal behaviour of energy piles. Comput. Geotech. 2020, 120, 103424. [Google Scholar] [CrossRef]
- Van Lysebetten, G.; Allani, M. Real-scale test campaign on energy piles for Belgian practice and numerical modelling of their behaviour. In Proceedings of the 19th International Society for Soil Mechanics and Foundation Engineering, Seoul, Korea, 17–22 September 2017; pp. 3475–3478. [Google Scholar]
- Allani, M.; Van Lysebetten, G.; Huybrechts, N. Experimental and Numerical Study of the Thermo-Mechanical Behaviour of Energy Piles for Belgian Practice; Springer: Berlin/Heidelberg, Germany, 2017; ISBN 978-3-319-52772-7. [Google Scholar]
- Sutman, M.; Speranza, G.; Ferrari, A.; Larrey-Lassalle, P.; Laloui, L. Long-term performance and life cycle assessment of energy piles in three different climatic conditions. Renew. Energy 2020, 146, 1177–1191. [Google Scholar] [CrossRef]
- Ferrantelli, A.; Fadejev, J.; Kurnitski, J. Parametric study for the long term energetic performance of geothermal energy piles. IOP Conf. Ser. Earth Environ. Sci. 2019, 352, 012011. [Google Scholar] [CrossRef]
- Olgun, C.G.; Ozudogru, T.Y.; Abdelaziz, S.L.; Senol, A. Long-term performance of heat exchanger piles. Acta Geotech. 2015, 10, 553–569. [Google Scholar] [CrossRef]
- Abdelaziz, S.L.; Farid, A.; De, A.; Reddy, K.R.; Yesiller, N.; Zekkos, D. A Sustainable Perspective for the Long-Term Behavior of Energy Pile Groups. In Proceedings of the Geo-Chicago 2016, Chicago, IL, USA, 14–18 August 2016; pp. 104–113. [Google Scholar]
- Hepburn, B.D.P. An Investigation of the Behaviour of the Ground in Response to Energy Extraction. Ph.D. Thesis, Cardiff University, Cardiff, UK, 2013. [Google Scholar]
- Singh, R.M.; Sani, A.K.; Amis, T. An overview of ground source heat pump technology. In Managing Global Warming an Interface of Technology and Human Issues; Letcher, T.M., Ed.; Academic Press: London, UK, 2019; pp. 455–486. [Google Scholar]
- Abdelaziz, S.L. Deep Energy Foundations: Geotechnical Challenges and Design Considerations. Ph.D. Thesis, Virginia Polytechnic Institute and State University, Blacksburg, VA, USA, 2013. [Google Scholar]
- Ferrantelli, A.; Fadejev, J.; Kurnitski, J. Energy Pile Field Simulation in Large Buildings: Validation of Surface Boundary Assumptions. Energies 2019, 12, 770. [Google Scholar] [CrossRef] [Green Version]
- Seetharam, S.C.; Thomas, H.R.; Cleall, P.J. Coupled thermo/hydro/chemical/mechanical model for unsaturated soils—Numerical algorithm. Int. J. Numer. Methods Eng. 2007, 70, 1480–1511. [Google Scholar] [CrossRef]
- Thomas, H.R.; He, Y. A coupled heat-moisture transfer theory for deformable unsaturated soil and its algorithmic implementation. Int. J. Numer. Methods Eng. 1997, 40, 3421–3441. [Google Scholar] [CrossRef]
- Thomas, H.R.; Li, C.L.W. An assessment of a model of heat and moisture transfer in unsaturated soil. Géotechnique 1997, 47, 113–131. [Google Scholar] [CrossRef]
- Thomas, H.R.; Sansom, M.R. Fully coupled analysis of heat moisture and air transfer in unsaturated soil. J. Eng. Mech. 1995, 121, 392–405. [Google Scholar] [CrossRef]
- Masum, S. Al Modelling of Reactive Gas Transport in Unsaturated Soil. A Coupled Thermo-Hydro-Chemical-Mechanical Approach. Ph.D. Thesis, Cardiff University, Cardiff, UK, 2012. [Google Scholar]
- Sedighi, M. An Investigation of Hydro-Geochemical Processes in Coupled Thermal, Hydraulic, Chemical and Mechanical Behaviours of Unsaturated Soils. Ph.D. Thesis, Cardiff University, Cardiff, UK, 2010. [Google Scholar]
- Vardon, P.J. Three-Dimensional Numerical Investigation of the Thermo-Hydro-Mechanical Behaviour of a Large-Scale Prototype Repository. Ph.D. Thesis, Cardiff University, Cardiff, UK, 2009. [Google Scholar]
- Singh, R.M. An Experimental and Numerical Investigation of Heat and Mass Movement in Unsaturated Clays. Ph.D. Thesis, Cardiff University, Cardiff, UK, 2007. [Google Scholar]
- Ewen, J.; Thomas, H.R. Heating unsaturated medium sand. Géotechnique 1989, 39, 455–470. [Google Scholar] [CrossRef]
- Philip, J.R.; De Vries, D.A. Moisture movement in porous materials under temperature gradients. Trans. Am. Geophys. Union 1957, 38, 222–232. [Google Scholar] [CrossRef]
- Cleall, P.J.; Singh, R.M.; Thomas, H.R. Non-isothermal moisture movement in unsaturated kaolin: An experimental and theoretical investigation. ASTM Geotech. Test. J. 2011, 34, 514–524. [Google Scholar]
- Cleall, P.J.; Singh, R.M.; Thomas, H.R. Vapour transfer in unsaturated compacted bentonite. Géotechnique 2013, 63, 957–964. [Google Scholar] [CrossRef] [Green Version]
- Farouki, O.T. Thermal Propeties of Soils; Cold Regions Research and Engineering Lab Hanover NH: Hanover, NH, USA, 1981. [Google Scholar]
- Loveridge, F.; Holmes, G.; Roberts, T.; Powrie, W. Thermal response testing through the Chalk aquifer in London, UK. Proc. Inst. Civ. Eng. Geotech. Eng. 2013, 166, 197–210. [Google Scholar] [CrossRef] [Green Version]
- Van Genuchten, M.T. A Closed-form Equation for Predicting the Hydraulic Conductivity of Unsaturated Soils. Soil Sci. Soc. Am. J. 1980, 44, 892–898. [Google Scholar] [CrossRef] [Green Version]
- Gawecka, K.A.; Taborda, D.M.G.; Potts, D.M.; Kasri, M.S.H.; Cui, W.; Zdravković, L. Numerical modelling of thermo-active piles in London Clay. Proc. Inst. Civ. Eng. Geotech. Eng. 2016, 170, 1–19. [Google Scholar] [CrossRef] [Green Version]
- Melhuish, T.A. An Investigation of the Three-Dimensional Thermo/Hydro/Mechanical Behaviour of Large Scale In-Situ Experiments. Ph.D. Thesis, Cardiff University, Cardiff, UK, 2004. [Google Scholar]
- Börgesson, L.; Hernelind, J. Preparatory Modelling for the Backfill and Plug Test—Scoping Calculations of H-M Processes; SKB: Stockholm, Sweden, 1998. [Google Scholar]
- Fredlund, D.G.; Xing, A. Equations for the soil-water characteristic curve. Can. Geotech. J. 1994, 31, 1026. [Google Scholar] [CrossRef]
- Aggregate Industries UK Ltd. Garside Sands 5/8 Sand; Aggregate Industries UK Ltd.: Bedfordshire, UK, 2013. [Google Scholar]
- Sani, A.K.; Singh, R.M. Response of unsaturated soils to heating of geothermal energy pile. Renew. Energy 2020, 147, 2618–2632. [Google Scholar] [CrossRef]


















| GEP (m) | Element Size in Soil Domain | No. of Elements | ||
|---|---|---|---|---|
| Along Radial Axis (m) | Along Depth (m) | |||
| case A | 1 | 1 | 1 | 2350 |
| case B | 0.1 | 1 | 1 | 3200 |
| case C | 0.05 | 0.5 | 0.2 | 24,320 |
| case D | 0.15 | 0.5 | 0.5 | 9400 |
| case E | 0.1 | 0.5 | 0.2 | 17,000 |
| case F | 0.1 | 0.5 | 0.5 | 10,700 |
| case G | 0.1 | 0.5 | 1 | 5350 |
| Initial Temperature, To (K) | Saturation, Sl (%) | Soil suction, s (MPa) | |
|---|---|---|---|
| 286.55 | Sand | Clay | |
| 0 | 1 | 103 | |
| 30 | 2.5 × 10−3 | 2.3 | |
| 60 | 2.4 × 10−3 | 0.8 | |
| 100 | 0 | 0 | |
| Parameter | Sand | Clay | Concrete |
|---|---|---|---|
| Hydraulic Parameters | |||
| ksat (m/s) | 1.3 × 10−3 | 1.02 × 10−10 | 1.02 × 10−10 |
| Kl (m/s) | Kl = (Sl)δ ksat; δ = 3 | – | |
| Sl (%) | ranges from 0–100% | ||
| van Genuchten [40] fitting parameters | φ = 0.645 | φ = 0.015 | – |
| ε = 5.905, | ε = 1.9, | ||
| ϕ = 0.831, | ϕ = 0.474, | ||
| θlr = 0.0025, | θlr = 0.0001, | ||
| θls = 0.356 | θls = 0.38 | ||
| Thermal Parameters | |||
| λ (W/m K) | λs = f (Sl) | 1.62 | |
| Cps (J/kg K) | 700 | 800 | 800 |
| Cpv (J/kg K) | 1870 | 1870 | 1870 |
| Cpw (J/kg K) | 4200 | 4200 | 4200 |
| Other Parameters | |||
| ρd (Kg/m3) | 2570 | 2630 | 2630 |
| n | 0.356 | 0.38 | 0.38 |
| L (J/kg) | 2,400,000 | ||
| Hs | 0.02 | ||
Publisher’s Note: MDPI stays neutral with regard to jurisdictional claims in published maps and institutional affiliations. |
© 2021 by the authors. Licensee MDPI, Basel, Switzerland. This article is an open access article distributed under the terms and conditions of the Creative Commons Attribution (CC BY) license (https://creativecommons.org/licenses/by/4.0/).
Share and Cite
Sani, A.K.; Singh, R.M. Long-Term Thermal Performance of Group of Energy Piles in Unsaturated Soils under Cyclic Thermal Loading. Energies 2021, 14, 4122. https://doi.org/10.3390/en14144122
Sani AK, Singh RM. Long-Term Thermal Performance of Group of Energy Piles in Unsaturated Soils under Cyclic Thermal Loading. Energies. 2021; 14(14):4122. https://doi.org/10.3390/en14144122
Chicago/Turabian StyleSani, Abubakar Kawuwa, and Rao Martand Singh. 2021. "Long-Term Thermal Performance of Group of Energy Piles in Unsaturated Soils under Cyclic Thermal Loading" Energies 14, no. 14: 4122. https://doi.org/10.3390/en14144122
APA StyleSani, A. K., & Singh, R. M. (2021). Long-Term Thermal Performance of Group of Energy Piles in Unsaturated Soils under Cyclic Thermal Loading. Energies, 14(14), 4122. https://doi.org/10.3390/en14144122

