Effect of Splitter Blades on Performances of a Very Low Specific Speed Pump
Abstract
1. Introduction
2. Geometry and Numerical Methods
2.1. Pump Model
2.2. Mesh and CFD Specification
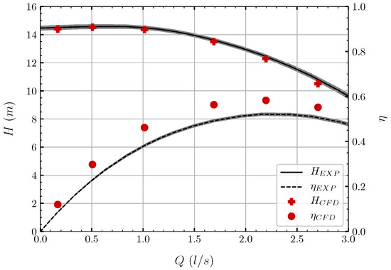
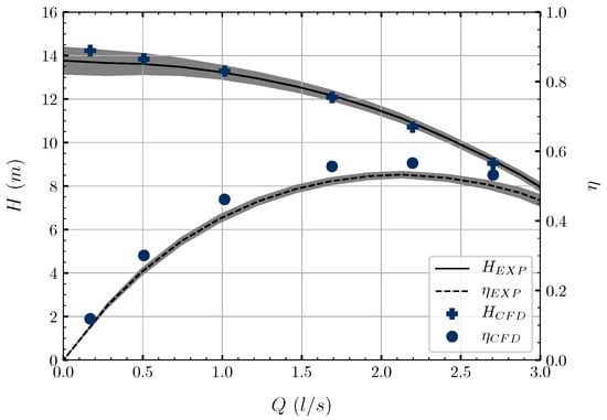
3. Validation
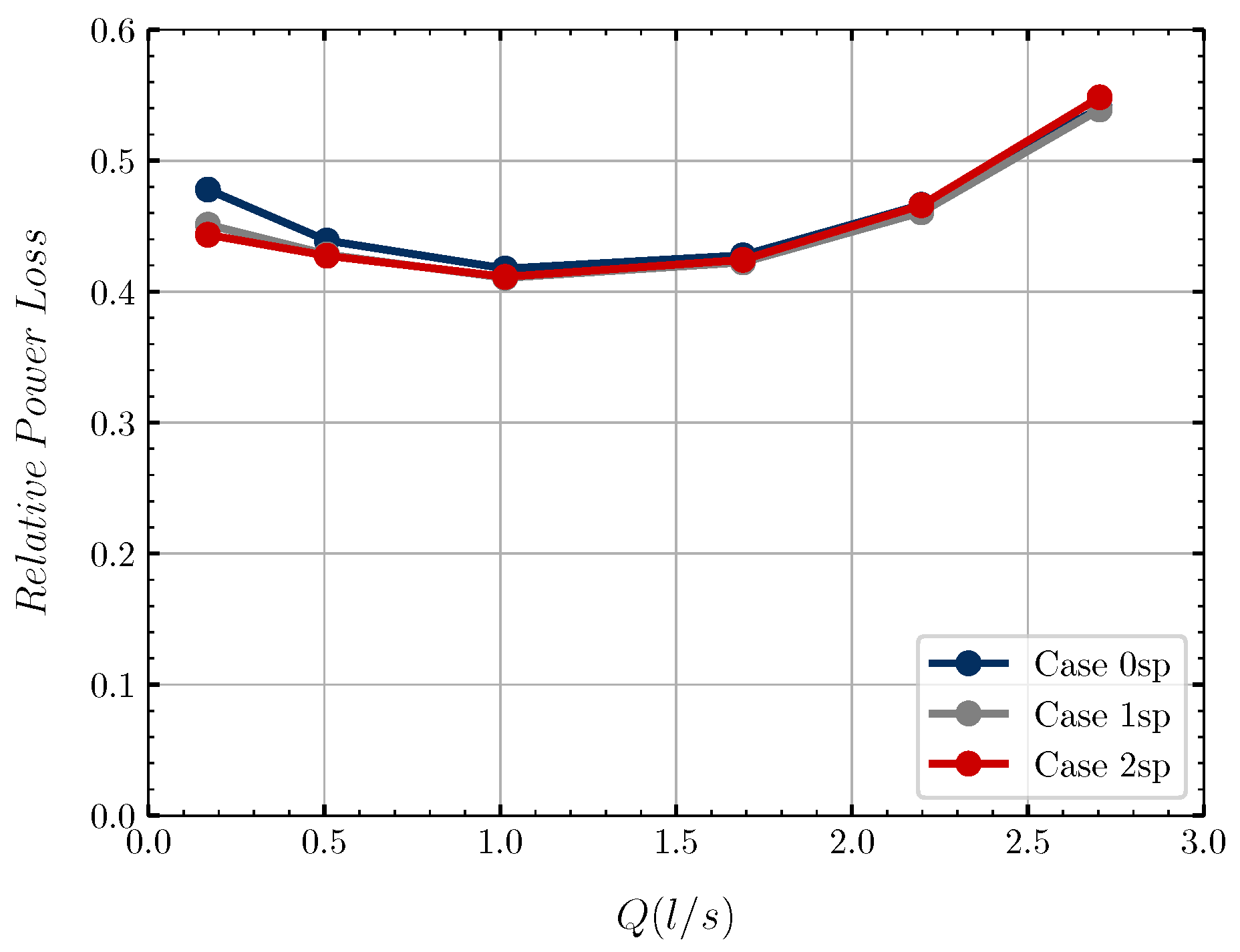
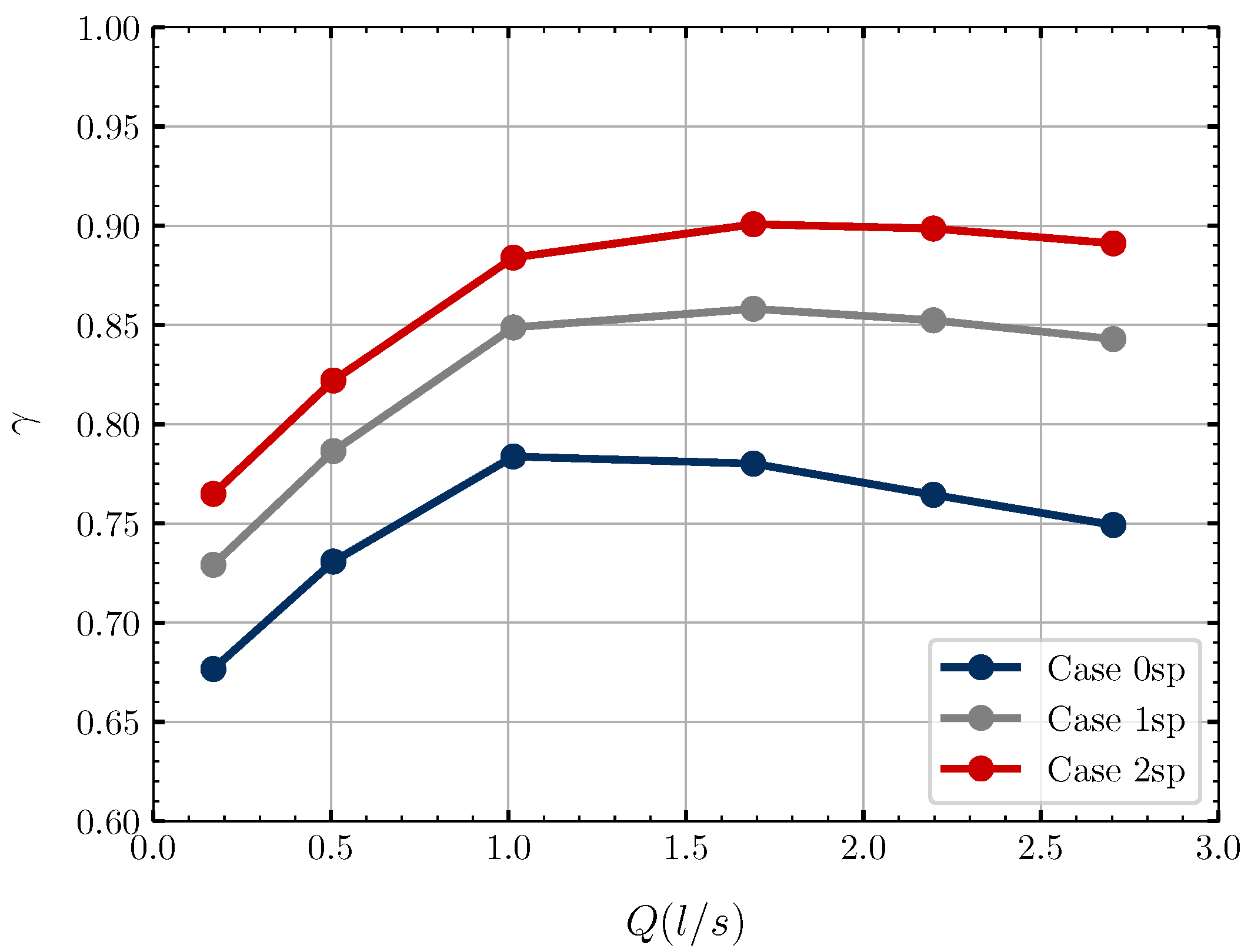
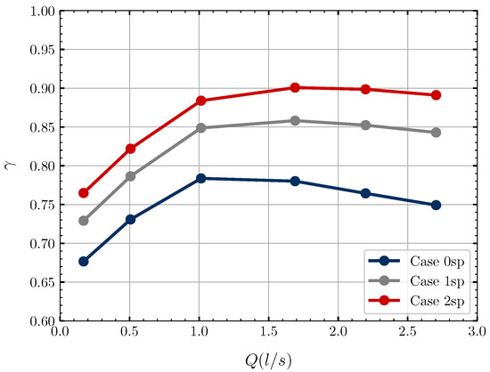
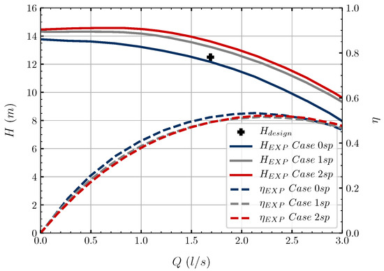
4. Results and Discussion
5. Conclusions
Author Contributions
Funding
Acknowledgments
Conflicts of Interest
Abbreviations
| BEP | Best Efficiency Point |
| CFD | Computational Fluid Dynamics |
| CNC | Computer Numerical Control |
| FDM | Fused Deposition Modeling |
| GGI | General Grid Interface |
| H | Pump Head |
| LSS | Low Specific Speed |
| N | Rotor speed |
| P | Hydraulic Power |
| Q | Pump delivery flow rate |
| RMS | Root Mean Square |
| Impeller outlet width | |
| Absolute flow velocity at impeller outlet | |
| Theoretical circumferential flow velocity at impeller outlet | |
| Circumferential flow velocity at impeller outlet | |
| Impeller outlet diameter | |
| Mass flow rate | |
| Specific speed | |
| P | Power |
| Total pressure | |
| Volute wet surface | |
| Blade tip velocity | |
| w | Relative flow velocity |
| Impeller outlet width | |
| Hydraulic efficiency | |
| Slip factor | |
| Shaft torque | |
| Density | |
| Angular velocity | |
| Non dimensional wall distance |
References
- Zemanová, L.; Rudolf, P. Flow Inside the Sidewall Gaps of Hydraulic Machines: A Review. Energies 2020, 13, 6617. [Google Scholar] [CrossRef]
- Gülich, J. Disk friction losses of closed turbomachine impellers. Forsch. Ingenieurwes. 2003, 68, 87–95. [Google Scholar] [CrossRef]
- Benigni, H.; Jaberg, H.; Yeung, H.; Salisbury, T.; Berry, O. Numerical Simulation of Low Specific Speed API Pumps in Part-Load Operation and Comparison with Test Rig Results. J. Fluids Eng. 2018, 134, 024501. [Google Scholar] [CrossRef]
- Benigni, H.; Leithner, S.; Schiffer, J.; Jaberg, H.; Höller, S. Development of a novel centrifugal pump with lowest specific speed. In Proceedings of the International Rotating Equipment Conference, Düsseldorf, Germany, 14–15 September 2016; pp. 179–192. [Google Scholar]
- Schneider, S.; Veres, J.; Hah, C.; Nerone, A.; Cunningham, C.; Kraft, T.; Tavernelli, P.; Fraser, B. Satellite Propellant Pump Research. In Proceedings of the 41st AIAA/ASME/SAE/ASEE Joint Propulsion Conference & Exhibit, Tucson, Arizona, 10–13 July 2005. [Google Scholar] [CrossRef][Green Version]
- Kurokawa, J.; Yamada, T.; Hiraga, H. Performance of low specific speed pumps. In Proceedings of the 11th Australasian Fluid Mechanics Conference, Tasmania, Australia, 14–18 December 1992; Volume 1, pp. 861–864. [Google Scholar]
- Olimstad, G.; Osvoll, M.; Finstad, P. Very Low Specific Speed Centrifugal Pump—Hydraulic Design and Physical Limitations. ASME. J. Fluids Eng. 2018, 140, 071403. [Google Scholar] [CrossRef]
- Klas, R.; Pochylý, F.; Rudolf, P. Analysis of novel low specific speed pump designs. IOP Conf. Ser. Earth Environ. Sci. 2014, 22, 012010. [Google Scholar] [CrossRef]
- Klas, R.; Pochylý, F.; Rudolf, P. Influence of recirculation on Y-Q characteristic curve of hydrodynamic pump. In Proceedings of the EPJ Web of Conferences; 2016; Volume 114, p. 02054. Available online: https://www.epj-conferences.org/articles/epjconf/abs/2016/09/epjconf_efm2016_02054/epjconf_efm2016_02054.html (accessed on 21 June 2021).
- Wei, Y.; Yang, Y.; Zhou, L.; Jiang, L.; Shi, W.; Huang, G. Influence of Impeller Gap Drainage Width on the Performance of Low Specific Speed Centrifugal Pump. J. Mar. Sci. Eng. 2021, 9, 106. [Google Scholar] [CrossRef]
- Yang, Y.; Zhou, L.; Zhou, H.; Lv, W.; Wang, J.; Shi, W.; He, Z. Optimal Design of Slit Impeller for Low Specific Speed Centrifugal Pump Based on Orthogonal Test. J. Mar. Sci. Eng. 2021, 9, 121. [Google Scholar] [CrossRef]
- Miyamoto, H.; Nakashima, Y.; Ohba, H. Effects of Splitter Blades on the Flows and Characteristics in Centrifugal Impellers. JSME Int. J. 1992, 35, 238–246. [Google Scholar] [CrossRef]
- Yuan, S.; Zhang, J.; Tang, Y.; Yuan, J.; Fu, Y. Research on the Design Method of the Centrifugal Pump With Splitter Blades. FEDSM 2009, 1, 107–120. [Google Scholar] [CrossRef]
- Zhang, Y.; Yuan, S.; Zhang, J.; Feng, Y.; Lu, J. Numerical investigation of the effects of splitter blades on the cavitation performance of a centrifugal pump. IOP Conf. Ser. Earth Environ. Sci. 2014, 22, 052003. [Google Scholar] [CrossRef]
- Ye, L.; Yuan, S.; Zhang, J.; Yuan, Y. Effects of Splitter Blades on the Unsteady Flow of a Centrifugal Pump. In Proceedings of the Fluids Engineering Division Summer Meeting. American Society of Mechanical Engineers, Rio Grande, PR, USA, 8–12 July 2012; pp. 435–441. [Google Scholar] [CrossRef]
- Zhang, J.; Li, G.; Mao, J.; Yuan, S.; Qu, Y.; Jia, J. Effects of the outlet position of splitter blade on the flow characteristics in low-specific-speed centrifugal pump. Adv. Mech. Eng. 2018, 10. [Google Scholar] [CrossRef]
- Gu, Y.; Yuan, S.; Pei, J.; Zhang, J.; Zhang, F.; Huang, X. Effects of the impeller-volute interaction on the internal flow in a low-specific-speed centrifugal pump with splitter blades. Proc. Inst. Mech. Eng. Part A J. Power Energy 2017, 232, 170–180. [Google Scholar] [CrossRef]
- Cui, B.; Zhu, Z.; Zhang, J.; Chen, Y. The Flow Simulation and Experimental Study of Low-Specific-Speed High-Speed Complex Centrifugal Impellers. Chin. J. Chem. Eng. 2006, 14, 435–441. [Google Scholar] [CrossRef]
- Pochylý, F.; Stejskal, J. Rotational Flow in Centrifugal Pump Meridian Using Curvilinear Coordinates. J. Fluids Eng. 2016, 138, 081101. [Google Scholar] [CrossRef]
- Stejskal, J. Analysis of the Velocity and Pressure Fields of the Liquid Using Curvilinear Coordinates. Ph.D. Thesis, Brno University of Technology, Brno, Czech Republic, 2017. [Google Scholar]
- Juckelandt, K.; Wurm, F.H. Applicability of wall-function approach in simulations of turbomachines. In Proceedings of the ASME Turbo Expo 2015: Turbine Technical Conference and Exposition, Montreal, QC, Canada, 15–19 June 2015; Volume 2B, p. GT2015-42014. [Google Scholar] [CrossRef]
- Menter, F.R. Two-Equation Eddy-Viscosity Turbulence Models for Engineering Applications. AIAA J. 1994, 32, 1598–1605. [Google Scholar] [CrossRef]
- Gülich, J. Centrif Pumps; Springer: Berlin/Heidelberg, Germany, 2014. [Google Scholar]















| Designation | Symbol | Value | Units |
|---|---|---|---|
| Rotor speed | N | 1450 | |
| Design head | m | ||
| Design flow rate | m·s | ||
| Specific speed | - | ||
| Impeller outlet diameter | 200 | mm | |
| Impeller outlet width | mm | ||
| Impeller outlet blade angle | 25 | deg | |
| Main Blade number | Z | 4 | - |
| Domain | Elements () | Max Ortho | Max Aspect Ratio | Min Quality |
|---|---|---|---|---|
| Suction pipe | 38 | 741 | ||
| Impeller (0 splitter) | 67 | 2153 | ||
| Impeller (1 splitter) | 68 | 2826 | ||
| Impeller (2 splitters) | 68 | 1773 | ||
| Volute | 65 | 4206 | ||
| SG (hub) | 1506 | |||
| SG (shroud) | 33 | 1401 |
Publisher’s Note: MDPI stays neutral with regard to jurisdictional claims in published maps and institutional affiliations. |
© 2021 by the authors. Licensee MDPI, Basel, Switzerland. This article is an open access article distributed under the terms and conditions of the Creative Commons Attribution (CC BY) license (https://creativecommons.org/licenses/by/4.0/).
Share and Cite
Chabannes, L.; Štefan, D.; Rudolf, P. Effect of Splitter Blades on Performances of a Very Low Specific Speed Pump. Energies 2021, 14, 3785. https://doi.org/10.3390/en14133785
Chabannes L, Štefan D, Rudolf P. Effect of Splitter Blades on Performances of a Very Low Specific Speed Pump. Energies. 2021; 14(13):3785. https://doi.org/10.3390/en14133785
Chicago/Turabian StyleChabannes, Lilian, David Štefan, and Pavel Rudolf. 2021. "Effect of Splitter Blades on Performances of a Very Low Specific Speed Pump" Energies 14, no. 13: 3785. https://doi.org/10.3390/en14133785
APA StyleChabannes, L., Štefan, D., & Rudolf, P. (2021). Effect of Splitter Blades on Performances of a Very Low Specific Speed Pump. Energies, 14(13), 3785. https://doi.org/10.3390/en14133785

