Comfort of Domestic Water in Residential Buildings: Flow, Temperature and Energy in Draw-Off Points: Field Study in Two Danish Detached Houses
Abstract
1. Introduction
Literature
2. Research Aims
- Spatial and temporal distribution of domestic water usage in two detached houses. The novelty is in providing the in-depth knowledge on the temperature distribution, duration of water tapings, water consumption, and used energy at each draw-off point using only high granularity monitored data without assistance of modeling work or values from standards. The quantitative water data are augmented with few socioeconomic characteristics of the occupants (e.g., gender, age, and employment), their daily routines, and details on hot and cold water installation characteristics (e.g., pipe distribution in the house and pipe properties).
- Evaluation of the measured data against the standard values of DHW consumption used in the design of DHW installation or in energy software compliance tools.
3. Materials and Methods
3.1. Buildings
3.2. Occupants’ Practices and Routines Around Domestic Water Use
3.3. Measurement
4. Results
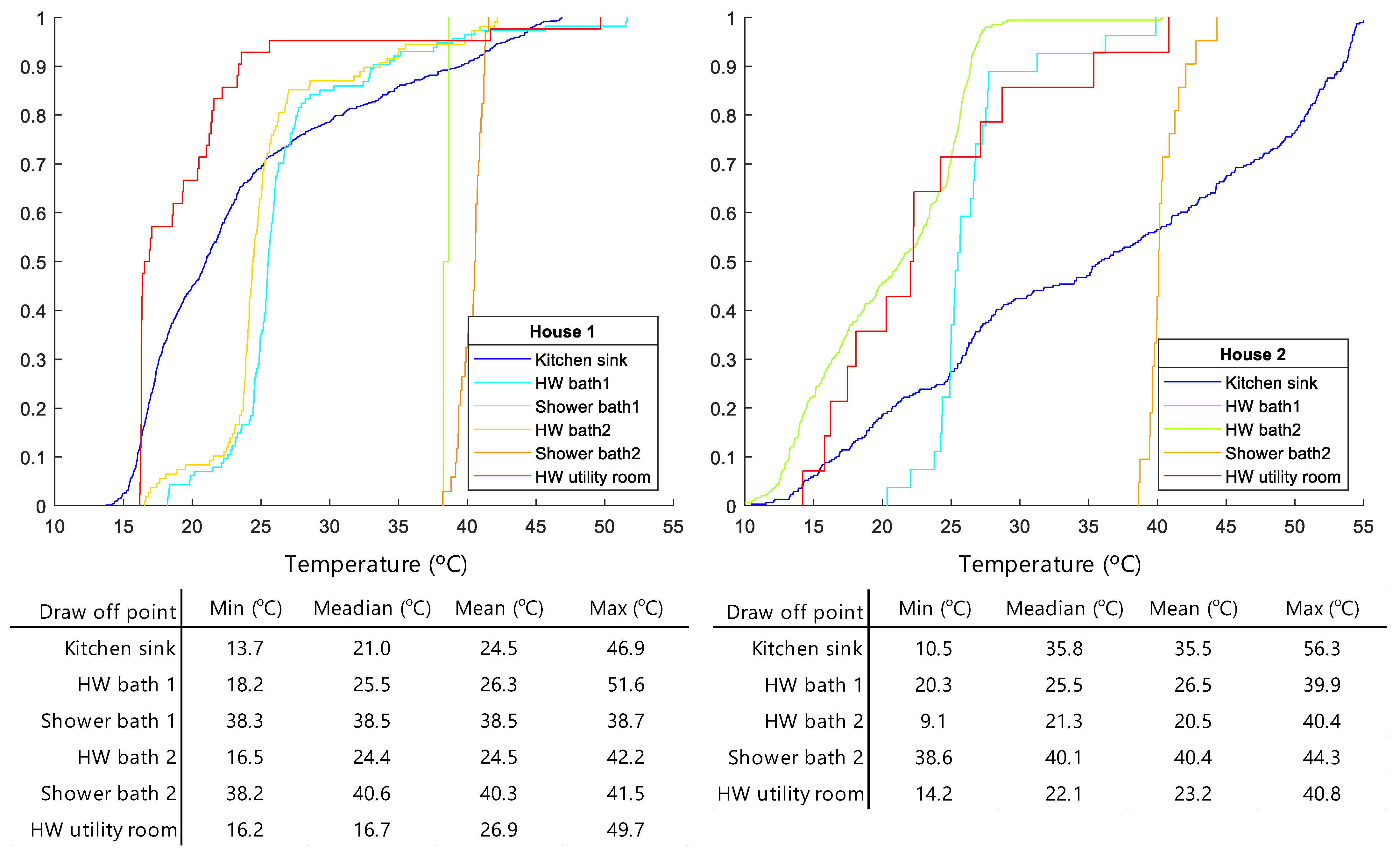
4.1. Duration, Temperature and Energy of Domestic Water at Each Draw-Off Point
4.2. Household Daily Profiles
4.2.1. Profiles for Selected Days
4.2.2. Mean Daily Water Profiles
5. Discussion
- The most energy consuming taps are in both houses farthest from the hot water production point. The future work should focus on investigation of energy loss in the distribution of the hot water system. Spatial distribution of draw-off points and spatial DHW energy loss requires better understanding in order to be more optimally incorporated in the design phase.
- Registered temperatures of DHW at hand wash events are, for most of the time, rather low, indicating that users do not wait for hot water and accept temperature as it is provided. Influence of the daily profile characteristics: day with many short water tapings versus day with few long draws should be deeper analyzed with respect to the DHW heat exchanger performance.
6. Conclusions
Author Contributions
Funding
Institutional Review Board Statement
Informed Consent Statement
Data Availability Statement
Acknowledgments
Conflicts of Interest
References
- IEA. Energy Efficiency 2020; IEA: Paris, France, 2020. [Google Scholar]
- EN ISO 52000-1:2017 Energy Performance of Buildings—Overarching EPB Assessment—Part 1: General Framework and Procedures; CEN-CENELEC Management Centre: Brussels, Belgium, 2017.
- Danish Energy Agency Annual Energy Statistics 2019. Available online: https://ens.dk/en/our-services/statistics-data-key-figures-and-energy-maps/annual-and-monthly-statistics (accessed on 20 May 2021).
- Pomianowski, M.Z.; Johra, H.; Marszal-Pomianowska, A.; Zhang, C. Sustainable and energy-efficient domestic hot water systems: A review. Renew. Sustain. Energy Rev. 2020, 128, 1–18. [Google Scholar] [CrossRef]
- Widén, J.; Lundh, M.; Vassileva, I.; Dahlquist, E.; Ellegård, K.; Wäckelgård, E. Constructing load profiles for household electricity and hot water from time-use data-Modelling approach and validation. Energy Build. 2009, 41, 753–768. [Google Scholar] [CrossRef]
- Fuentes, E.; Arce, L.; Salom, J. A review of domestic hot water consumption profiles for application in systems and buildings energy performance analysis. Renew. Sustain. Energy Rev. 2018, 81, 1530–1547. [Google Scholar] [CrossRef]
- Gram-Hanssen, K.; Christensen, T.; Madsen, L.; do Carmo, C. Sequence of practices in personal and societal rhythms—Showering as a case. Time Soc. 2018, in press. [Google Scholar] [CrossRef]
- Marszal-Pomianowska, A.; Zhang, C.; Pomianowski, M.; Heiselberg, P.; Gram-Hanssen, K.; Rhiger Hansen, A. Simple methodology to estimate the mean hourly and the daily profiles of domestic hot water demand from hourly total heating readings. Energy Build. 2019, 184, 53–64. [Google Scholar] [CrossRef]
- Bøhm, B.; Schrøder, F.; Bergsøe, N.C. SBi:2009:10 Varmt Brugsvand—Måling Af Forbrug og Varmetab fra Cirkulationsledninger [Domestic Hot Water—Measuring Consumption and Heat Loss from Circulation Pipelines]. Statens Byggeforskningsinstitut, Hørsholm. 2009. Available online: https://sbi.dk/Assets/Varmt-Brugsvand/sbi-2009-10-pdf.pdf (accessed on 29 May 2021).
- Chao, P.R.; Umapathi, S.; Saman, W. Water consumption characteristics at a sustainable residential development with rainwater-sourced hot water supply. J. Clean. Prod. 2015, 109, 190–202. [Google Scholar] [CrossRef]
- Aggerholm, S. SBi-Anvisning 213 Bygningers Energibehov. Statens Byggeforskningsinstitut, Hørsholm. 2018. Available online: https://sbi.dk/anvisninger/Pages/213-Bygningers-energibehov-6.aspx (accessed on 29 May 2021).
- Becker, B.R.; Stogsdill, K.E. Development of a hot water use data base. In Proceedings of the ASHRAE Transactions, St. Louis, MO, USA, 9–13 June 1990; 1990; pp. 422–427. [Google Scholar]
- Papakostas, K.T.; Papageorgiou, N.E.; Sotiropoulos, B.A. Residential hot water use patterns in Greece. Sol. Energy 1995, 54, 369–374. [Google Scholar] [CrossRef]
- Bøhm, B. Production and distribution of domestic hot water in selected Danish apartment buildings and institutions. Analysis of consumption, energy efficiency and the significance for energy design requirements of buildings. Energy Convers. Manag. 2013, 67, 152–159. [Google Scholar] [CrossRef]
- Thomas, M.; Hayden, A.C.S.; Ghiricociu, O.; Cane, R.L.D.; Gagnon, R. A new study of hot-water use in Canada. ASHRAE Trans. 2011, 117, 673–682. [Google Scholar]
- Ahmed, K.; Pylsy, P.; Kurnitski, J. Monthly domestic hot water profiles for energy calculation in Finnish apartment buildings. Energy Build. 2015, 97, 77–85. [Google Scholar] [CrossRef]
- Edwards, S.; Beausoleil-Morrison, I.; Laperrière, A. Representative hot water draw profiles at high temporal resolution for simulating the performance of solar thermal systems. Sol. Energy 2015, 111, 43–52. [Google Scholar] [CrossRef]
- Ahmed, K.; Pylsy, P.; Kurnitski, J. Hourly consumption profiles of domestic hot water for different occupant groups in dwellings. Sol. Energy 2016, 137, 516–530. [Google Scholar] [CrossRef]
- de Santiago, J.; Rodriguez-Vialon, O.; Sicre, B. The generation of domestic hot water load profiles in Swiss residential buildings through statistical predictions. Energy Build. 2017, 141, 341–348. [Google Scholar] [CrossRef]
- Marszal-Pomianowska, A.; Valeva, B.; Georgieva, V.; Larsen, O.K.; Jensen, R.L.; Zhang, C. High resolution measuring system for domestic hot water consumption. Development and field test. Energy Procedia 2019, 158, 2859–2864. [Google Scholar] [CrossRef]
- Beal, C.D.; Bertone, E.; Stewart, R.A. Evaluating the energy and carbon reductions resulting from resource-efficient household stock. Energy Build. 2012, 55, 422–432. [Google Scholar] [CrossRef]
- Beal, C.D.; Stewart, R.A.; Fielding, K. A novel mixed method smart metering approach to reconciling differences between perceived and actual residential end use water consumption. J. Clean. Prod. 2013, 60, 116–128. [Google Scholar] [CrossRef]
- Kenway, S.J.; Scheidegger, R.; Larsen, T.A.; Lant, P.; Bader, H.P. Water-related energy in households: A model designed to understand the current state and simulate possible measures. Energy Build. 2013, 58, 378–389. [Google Scholar] [CrossRef]
- Binks, A.N.; Kenway, S.J.; Lant, P.A.; Head, B.W. Understanding Australian household water-related energy use and identifying physical and human characteristics of major end uses. J. Clean. Prod. 2016, 135, 892–906. [Google Scholar] [CrossRef]
- Bertrand, A.; Mastrucci, A.; Schüler, N.; Aggoune, R.; Maréchal, F. Characterisation of domestic hot water end-uses for integrated urban thermal energy assessment and optimisation. Appl. Energy 2017, 186, 152–166. [Google Scholar] [CrossRef]
- Fischer, D.; Wolf, T.; Scherer, J.; Wille-Haussmann, B. A stochastic bottom-up model for space heating and domestic hot water load profiles for German households. Energy Build. 2016, 124, 120–128. [Google Scholar] [CrossRef]
- HusCampagniet. Available online: https://www.huscompagniet.dk/ (accessed on 29 May 2021).
- Huba Control. Available online: https://www.hubacontrol.com/en/products/vortex-flow-sensor (accessed on 29 May 2021).
- Katronic. Available online: https://www.katronic.com/fileadmin/katronic/downloads/datasheets/DS_KF100_V41EN_1504.pdf (accessed on 29 May 2021).
- Prado, R.T.A.; Gonçalves, O.M. Water heating through electric shower and energy demand. Energy Build. 1998, 29, 77–82. [Google Scholar] [CrossRef]
- Wong, L.T.; Mui, K.W.; Guan, Y. Shower water heat recovery in high-rise residential buildings of Hong Kong. Appl. Energy 2010, 87, 703–709. [Google Scholar] [CrossRef]
- McNabola, A.; Shields, K. Efficient drain water heat recovery in horizontal domestic shower drains. Energy Build. 2013, 59, 44–49. [Google Scholar] [CrossRef]
- Ip, K.; She, K. Waste heat recovery from showers: Case study of a university sport facility in the UK. In Proceedings of the Water Efficiency Conference 2016, Coventry, UK, 7–9 September 2016. [Google Scholar]













| Ref. | Objective of Study | Period | Building Typology and Location | Measurement Details |
|---|---|---|---|---|
| [12] | Objective is building a database with more than 30 m data entries of DHW measurements | 1979 to 1987 |
| 1. 15-min intervals, use of magnetic tape 2. & 3. not provided 4. 15-min intervals, use of hot water energy meter Btu 5. 15-min intervals, use of magnetic tape |
| [13] | Objective is to give directions on the development of a hot water consumption pattern used for design of central DHW system | September 1990 to August 1991 | 4 multifamily buildings (Greece); in total, 83 apartment of household size between 1 to 7 persons | DHW centrally monitored at building level with 1-min intervals, use of magnetic tapes; manual readings at apartment level |
| [14] | Objective is to determine efficiency of current DHW systems | 2000 to 2008 | 13 multifamily buildings (Denmark); in total, 1370 apartment units | DHW centrally monitored at building level in the with 5-min intervals. |
| [15] | Objective is to provide information on residential hot-water usage patterns and on the DHW consumption changes after introduction of the DHW standard in 1990 | 2007 to 2009 Measurements performed over two–three weeks per household | 74 households of size between 2 to 5 persons (Canada) | DHW monitored at production point in each house with 2-s and, later, 4-h intervals. Supplementary questionnaire given to occupants |
| [16] | Objective is to investigate user profiles and to determine energy demand for DHW | January 2012 to April 2013 May 2013 to June 2014 | 4 apartment complexes (Finland); in total, 182 apartment units and 379 occupants routines are monitored | Measuring resolution not provided |
| [17] | Objective is to develop a series of representative DHW draw profiles at high temporal resolution for simulating the performance of solar thermal systems | November 2006 to April 2007 | 73 single-family houses (Canada); household size between 1 to 5 persons. | DHW monitored at production point in each house with 5-min time steps with pulse signal of 1 L |
| [18] | Objective is to investigate user profiles and to determine energy demand for DHW | May 2014 to February 2015 | 1 apartment complex (Finland; in total, 86 apartment units and 191 occupants routines are monitored | Monitored data obtained in hourly time steps; minimum accuracy 1 L |
| [19] | Objective is to develop a generator of high temporal resolution hot water profiles | July 2014 to June 2015 | 4 dwellings in multi-family building (Switzerland) | Monitored data obtained as accumulated values with accuracy of 0.25 L |
| [10] | Objective to investigate the tendency of total, rainwater, mains and hot water consumption | January 2010 to January 2013 | 59 households of size between 1 to 5 persons (Australia). | Monitored data obtained in minutely time steps. |
| [20] | Objective is to demonstrate a high-resolution DHW measurement set-up | December 2017 (2 weeks) | Detached single-family house (Denmark) with 5 persons. | DHW monitored at draw point level with resolution of 2 Hz (in total, 9 set-ups installed) |
| Case | Area (m2) | No. of Showers | No. of Sinks | Construction Year | No. of Occupants | Metering Period |
|---|---|---|---|---|---|---|
| House 1 | 195 | 2 | 4 | 2013 (BR10) 1 | 4 | September to October 2018 (7 weeks) |
| House 2 | 160 | 2 | 4 | 2017 (BR15) 1 | 2 adults | March to April 2019 (4 weeks) |
| No. of Draws | Kitchen Sink | HW Bath 1 | Shower Bath 1 | HW Bath 2 | Shower Bath 2 | HW Utility Room |
|---|---|---|---|---|---|---|
| House 1 | ||||||
| Daily | 32.7 | 5.4 | 0.1 | 5.1 | 1.6 | 2.0 |
| Total (21 days) | 687 | 114 | 2 | 108 | 34 | 42 |
| House 2 | ||||||
| Daily | 10.9 | 0.9 | - | 12.4 | 0.8 | 0.5 |
| Total (28 days) | 306 | 27 | - | 348 | 21 | 14 |
| Case | Daily Consumption (L/day) | Specific Consumption (L/m2 per year) |
|---|---|---|
| House 1 | 88.5 | 166 |
| House 2 | 44 | 100 |
| Compliance design value | 164 | 250 (max 60 m3 per year) |
Publisher’s Note: MDPI stays neutral with regard to jurisdictional claims in published maps and institutional affiliations. |
© 2021 by the authors. Licensee MDPI, Basel, Switzerland. This article is an open access article distributed under the terms and conditions of the Creative Commons Attribution (CC BY) license (https://creativecommons.org/licenses/by/4.0/).
Share and Cite
Marszal-Pomianowska, A.; Jensen, R.L.; Pomianowski, M.; Larsen, O.K.; Jørgensen, J.S.; Knudsen, S.S. Comfort of Domestic Water in Residential Buildings: Flow, Temperature and Energy in Draw-Off Points: Field Study in Two Danish Detached Houses. Energies 2021, 14, 3314. https://doi.org/10.3390/en14113314
Marszal-Pomianowska A, Jensen RL, Pomianowski M, Larsen OK, Jørgensen JS, Knudsen SS. Comfort of Domestic Water in Residential Buildings: Flow, Temperature and Energy in Draw-Off Points: Field Study in Two Danish Detached Houses. Energies. 2021; 14(11):3314. https://doi.org/10.3390/en14113314
Chicago/Turabian StyleMarszal-Pomianowska, Anna, Rasmus Lund Jensen, Michal Pomianowski, Olena Kalyanova Larsen, Jacob Scharling Jørgensen, and Sofie Sand Knudsen. 2021. "Comfort of Domestic Water in Residential Buildings: Flow, Temperature and Energy in Draw-Off Points: Field Study in Two Danish Detached Houses" Energies 14, no. 11: 3314. https://doi.org/10.3390/en14113314
APA StyleMarszal-Pomianowska, A., Jensen, R. L., Pomianowski, M., Larsen, O. K., Jørgensen, J. S., & Knudsen, S. S. (2021). Comfort of Domestic Water in Residential Buildings: Flow, Temperature and Energy in Draw-Off Points: Field Study in Two Danish Detached Houses. Energies, 14(11), 3314. https://doi.org/10.3390/en14113314

