Abstract
Non-conventional extraction of bioactive metabolites could provide sustainable alternative techniques to preserve the potency of antioxidants and antiviral compounds extracted from macro-algae. In this paper, we first reviewed the antioxidant and antiviral potential of the active metabolites that exist in the three known macro-algae classes; Phaeophyceae, Rhodophyceae, and Chlorophyceae, and a comparison between their activities is discussed. Secondly, a review of conventional and non-conventional extraction methods is undertaken. The review then focused on identifying the optimal extraction method of sulphated polysaccharide from macro-algae that exhibits both antiviral and antioxidant activity. The review finds that species belonging to the Phaeophyceae and Rhodophceae classes are primarily potent against herpes simplex virus, followed by human immunodeficiency virus and influenza virus. At the same time, species belonging to Chlorophyceae class are recorded by most of the scholars to have antiviral activity against herpes simplex virus 1. Additionally, all three macro-algae classes exhibit antioxidant activity, the potency of which is a factor of the molecular structure of the bioactive metabolite as well as the extraction method applied.
1. Introduction
In 2004, the food and agriculture organization (FAO) introduced a taxa classification of macro-algae according to its pigmentation, brown (Phaeophyceae class), red (Rhodophyceae class), and green (Chlorophyceae class). Since then, different macro-algae classes have gained scholars’ attention for their ecological importance of supplying oxygen to the sea and usage in traditional medicine due to their perceived health benefits [].
More recently, it has been claimed that macro-algae represent about 9% of biomedical compounds obtained from the sea []. Scholars explain that bioactive compounds of macro-algae such as polysaccharides have proven to have an effective antioxidant and antiviral activity. They argue that those polysaccharides have been developed as a chemical defense mechanism to the harsh environments in which they grow, such as variation in salinity, solar radiation and tidal waves, competition for space and nutrients [,].
Therefore, recent research argues that marine metabolites can shape the future of the bioeconomy [] and might emerge as a new wave of promising drugs []. However, despite this claim, only a few studies have provided a systematic literature review on their antioxidant and antiviral activity along with their optimal extraction method. Therefore, this study fills a gap in the current literature by illustrating a comparative review of the antioxidant and antiviral activities of different macro-algae classes and identifying the active metabolite’s optimal extraction medium. Furthermore, the paper discusses the extraction methods of the active metabolites in macro-algae; specifically, the extraction of ulvan polysaccharide from the Ulva species to optimize their use in medicinal products.
2. Methodology
A review of literature conducted using a systematic search was employed. Articles were screened using a prior eligibility criterion of (macro-algae + antioxidant) and (macro-algae + antiviral) in the title, abstract, and full text for published research and studies with the interval publication years between 2000 and 2020.
We chose to follow a systematic literature review throughout this research in order to achieve the research main aim of comparative review for both the antioxidant and antiviral activities of different macroalgae classes. The systematic literature review was the preferable methodology to synthesize studies to draw broad theoretical conclusions about what literature means and linking all historical theories to evidence through various research and publications. In this study, tables and figures were developed to organize, clarify, and present a systematic review of qualitative information.
The three macroalgae classes, Phaeophyceae (brown algae), Chlorophyceae (green algae), and Rhodophyceae (red algae), were categorized and summarized in detail through the tables, including a review of antiviral activity, antioxidant activity, references, years searched, bioactive metabolites, and macroalgae species.
This research data was collected from the text, tables, and figures by searching google scholar from January 2020 to September 2020 using a combination of the following keywords: macroalgae, antioxidant, antiviral, conventional extraction, non-conventional extraction.
3. Discussion
3.1. Antiviral Activity of Macroalgae
The antiviral activity of macroalgae has been reported consistently early in the literature, for example, Gerber et al. [] claimed the antiviral activity of macroalgae against influenza B and mumps virus. Similarly, Witvrouw et al. [] reported that Aghardhiella tenera and Nothogenia fastigiata species of seaweed have antiviral activity towards human immunodeficiency virus (HIV), herpes simplex virus types 1 and 2 (HSV-1 and HSV-2), and respiratory syncytial virus (RSV). Moreover, Witvrouw and De Clercq [] confirmed the inhibitory effect against the enveloped viral replication by the complex structures of sulphated polysaccharides in macroalgae. In the same line, authors report that carrageenan has a selective inhibitory effect against the enveloped virus and blocked the transmission of several viruses such as HIV, herpes simplex virus, human cytomegalovirus, and human rhinoviruses [,].
In the following decades, researchers confirmed the algal extract’s virucidal effect [,,]. Scholars also confirmed that the low cytotoxicity, and successful use of antivirals from macroalgae in vaginal therapy had made its production for pharmaceutical use widely accepted. Similarly, Ono et al. [] confirmed that sulphated polysaccharide extracted from macroalgae has anti-HIV activity and was able to inhibit flaviviruses such as dengue virus. Moreover, several researchers have confirmed the inhibitory effects of sulphated polysaccharides derived from macroalgae on the herpes simplex virus strains [,]. Additionally, Vo and Kim [] as well as Jiao et al. [], highlighted the association of sulphated polysaccharides from macroalgae with the antiviral activity. Similarly, Pati et al. [] confirmed that sulphated polysaccharides such as carrageenan, fucoidans, and sulphated rhamno galactans successfully inhibited the enveloped viruses like HIV, and herbs.
Additionally, Grassauer and Prieschl-Grassauer [] claimed that marine biomass such as carrageenan sulphated polysaccharide can facilitate the protection from the newly discovered coronavirus disease 2019 (COVID-19) which belongs to a family of enveloped viruses, or at least can be used as coating material for protective supplies such as masks and gloves. The same was confirmed by Zaporozhets et al. [] who reported that the sulphated polysaccharides extracted from marine algae Saccharina japonica showed a significant antiviral activity against the coronavirus. Thus, a potential antiviral medicine can be developed from macroalgae biomass for augmenting the existing antivirals to combat emerging types and variants of enveloped viruses.
Table 1 provides a comprehensive review of the literature for antiviral activity of different Phaeophyceae along with their active metabolite. The review indicates that species belonging to Phaeophyceae are primarily potent against HSV, followed by HIV and influenza virus.

Table 1.
A review of antiviral activity of macroalgae—Phaeophycea.
Table 2 provides a comprehensive review of the literature for antiviral activity of different Rhodophyceae along with their active metabolite. The review indicates that species belonging to Rhodophyceae is potent against HIV and both types of HSV viruses.

Table 2.
A review of antiviral activity of macroalgae—Rhodophyceae.
Table 3 provides a comprehensive review of the literature for antiviral activity of different Chlorophyceae along with their active metabolite. The data emphasize that species belonging to Chlorophyceae class are recorded by most of the scholars to have antiviral activity against HSV-1 and HSV-2.

Table 3.
A review of antiviral activity of macroalgae—Chlorophyceae.
A comparison of the antiviral activity of the three taxa is shown in Figure 1 to illustrate the potential usage of different macroalgae for pharmaceutical purposes. Figure 1a shows that more than 50% of the review papers indicates the potency of Phaeophyceae against HSV. Whereas most of the Chlorophyceae species were reported to have antiviral activity against HSV-1 and HSV-2 as shown in Figure 1b. The antiviral activities of different Rhodophceae species are relatively equally distributed against HSV, HIV, HSV-1, HSV-2, and Influenza virus as shown in Figure 1c.


Figure 1.
Antiviral activity of macroalgae (a) Phaeophyceae, (b) Chlorophyceae, and (c) Rhodophyceae.
The mechanism of action of sulphated polysaccharides against viral infection is explained as one of three ways; the first is by obstructing the virus from entering the cell. The second is by exhibiting virucidal activity. The third is by slowing down the syncytia formation. The multi-nucleate enlarged cell formed by syncytia is a result from fusion of a virally infected cell with neighboring host cells [].
A detailed explanation of the mechanism of action of sulphated polysaccharide as antivirals has been explained by Wang et al. [] who identified five mechanisms of action against a virus. These mechanisms were (a) direct viricidal action through the formation of an irreversible viral–polysaccharide complex, (b) inhibition of the viral adsorption by the host cell, (c) inhibition of virus uncoating, (d) hindering virus transcription inside the host cell, and (e) improvement of the host antiviral immune response by stimulation of antiviral immune factors.
Recently, Hans et al. [] elaborated on the antiviral mechanism of marine sulphated polysaccharides. They explained four different ways in which a virus infection to the host cell can be inhibited by a sulphated polysaccharide. The first mechanism is the inhibition of attachment of the virus surface to the host cell through interaction of the negatively charged sulphated polysaccharide with the positively charged virus surface instead of its interaction with the negatively charged host cell. The second mechanism involves the inhibition of viral penetration into the host cell through the interaction between the sulphated marine polysaccharides and the virus receptors. The third mechanism was explained by the inhibition of virus uncoating inside the host cell through binding to the viral capsid that is formed inside the host cell. The final mechanism involves inhibition of the viral transcription in the host cell in case it managed to become uncoated through the interference with the replication enzymes such as reverse transcriptase enzyme.
The potency of the antiviral activity of macroalgae is determined by several structural factors of the sulphated polysaccharide, first, the carbohydrate backbone: molecular weight, linearity, the flexibility of the carbohydrate chain, and the influence of hydrophobic sites. Second, the structure of the anionic groups: carboxyl or sulphate groups, degree of sulphation, and the distribution of sulphate groups in the carbohydrate backbone [].
The same was confirmed by Adhikari et al. []. They claim that sulphated polysaccharide’s antiviral activity depends on its molecular weight, constituent sugar, and the sulphation degree where low or absent sulphation indicates weak or non-antiviral activity.
3.2. Antioxidant Activity of Macroalgae
The oxidation process is a chemical reaction that involves the transfer of hydrogen atoms or oxygen atoms or electrons. This oxidation process might damage lipid membrane, protein, and deoxyribonucleic acid molecules, causing tissue injury in organisms. The term antioxidant refers to any compound that stops the oxidation process by hindering the reaction of a substance with dioxygen or any compound that inhibits the free radical reaction [].
Pharmaceutically, antioxidants were used to block oxidation reaction initiation using high-energy molecules []. Since most of the organisms have antioxidant activity to defend themselves against oxidative damages, the bioactive compounds that marine organisms produce could play an essential role in the pharmaceutical industry.
Kohen and Nyska [] claim that the sulphated polysaccharides in the cell wall of macroalgae do not occur in land plants, and their antioxidant properties may play an essential role against various diseases such as aging processes, chronic inflammation, and cardiovascular disorders.
Macroalgae are rich in sulphated polysaccharides such as fucoidan in brown algae, ulvan in green algae, and carrageenan in red algae. The sulphated polysaccharides in the cell wall of macroalgae have antioxidant activities, and therefore pharmaceutical antioxidants can be derived from macroalgae [,].
The antioxidant capacity of sulphated polysaccharide derived from marine red algae Porphyra haitanensis has been observed in aging mice []. It has also been reported that some natural antioxidants precede synthetic ones in potency; for example, Kim et al. [] concluded that the sulphated polysaccharides of Sargassum fulvellum (Phaeophyceae), is a more potent nitric oxide scavenger than commercial antioxidants such as butylated hydroxyanisole.
Additionally, De Souza et al. [] observed sulphated polysaccharides antioxidant capacity, where fucoidan and Fucans polysaccharides from Fucus vesiculosus and Padina gymnospora, respectively, had inhibitory effects on hydroxy radical and superoxide radical formation. The same was emphasized by Rocha de Souza et al. [], who demonstrated a positive correlation between sulphated polysaccharide content and the antioxidant activity of macroalgae.
A positive correlation has been reported for sulphate content and superoxide radical scavenging activity in fucoidan fractions obtained from a brown alga Laminaria japonica []. Therefore, the pharmaceutical industry had shown a great interest in developing antioxidants from natural sources to waive the health hazards associated with synthetic antioxidants
Carrageenans antioxidant activity extracted from macroalgae has been studied with Alpha Carrageenan exhibiting antioxidant and free radical scavenging activity []. Macroalgae exhibit antioxidant properties that play an essential role in fighting cancer, chronic inflammation, and several other diseases. This finding provides a basis for further experiments on identifying sulphated polysaccharides with relatively high antioxidant activities [].
The antioxidant potency of a sulphated polysaccharide was related to its chemical structure. For example, Zhang et al. [] argue that sulphated polysaccharides antioxidant activity depends on their structural features such as the degree of sulphation, molecular weight, type of the major sugar, and glycosidic branching.
Qi et al. [] have prepared different molecular weight ulvan from Ulva pertusua (Chlorophyceae) by hydrogen peroxide degradation and their antioxidant activities were investigated. Their results showed that low molecular weight ulvan have potent antioxidant activity. This is because low molecular weight sulphated polysaccharides may incorporate into the cells more efficiently and donate protons effectively compared to high molecular weight sulphated polysaccharides. Similarly, Sun et al. [] and Chattopadhyay et al. [] confirmed experimentally that low molecular weight sulphated polysaccharides have shown potent antioxidant activity compared to high molecular-weight sulphated polysaccharides.
In addition to the polysaccharides, authors claim that polyphenols, bromophenols, and mycosporine-like amino acids extracted from macroalgae also exhibit antioxidant properties [,]. Polyphenols are classified into distinct groups based on their structure, such as the flavonoids, phenolic acids, stilbenes, and lignans []. For example, Zubia et al. [] demonstrated the antioxidant properties of Lobophora variegata due to its bromophenols and phenols content. Similarly, in brown algae, phlorotannins, a group of polyphenols that consists of polymers of phloroglucinol was reported to have radical scavenging capabilities [].
The antioxidant activity of polyphenols in macroalgae was further confirmed by Tierney et al. []. Macroalgae exhibit antioxidant properties due to their possession of polyphenols, alkaloids, halogenated compounds. However, researchers also argue that alkaloids and halogenated compounds are more potent antimicrobial agents than antioxidants []. A synergy in antioxidant activity can only occur due to the coexistence of alkaloids and polyphenols in a macroalgae bioactive extract []. The same was confirmed by Abdel-Karim et al. [] who concluded that the antioxidant capacity of bioactive compounds such as alkaloids and polyphenols extracted from macroalgae was mainly correlated to their phenolic content.
Table 4 provides a comprehensive review of the literature for antioxidant activity of different Phaeophyceae, Rhodophyceae, and Chlorophyceae species along with the active metabolite corresponding to the antioxidant activity.

Table 4.
A review of antioxidant properties of different macroalgae species.
3.3. Macroalgae Active Metabolites and Their Assay Methods
Scholars agree that sulphated polysaccharide such as fucidan, ulvan, and galactan have proven to be potent antioxidants and antivirals [,,,]. Thus, this paper will focus on the extraction method of sulphated polysaccharides from macroalgae. More specifically, from green algae because they were claimed to have large amounts of unique sulphated polysaccharides [] such as ulvan in Ulva species, sulphated rhamnan in Monostroma species and galactan in Codium species [].
Moreover, green algae have also been claimed to have high exploitable biochemical profiles [], high growth rates and productivities []. However, this potential was explored in the literature dominantly for agriculture use rather than pharmaceutical use [], and the available literature on the application of ulvan is limited. Thus, there is a need for research that explores it for diverse applications [].
The most used assays for antioxidant activity are 1,1-diphenyl-2-picryl hydrazil (DPPH) radical scavenging, an organic chemical compound containing stable free radical molecules; deoxyribose assay, which is a reactivation of tannins toward hydroxyl radicals. Ferric-reducing antioxidant power (FRAP) assay determines the antioxidant power and ferric-reducing ability. Other methods include nitric oxide (NO) scavenging, 2,2′-azino-bis-3-ethylbenzothiazoline-6-sulfonic acid (ABTS) radical scavenging, lipid peroxide inhibition superoxide radical, and hydroxyl radical scavenging assays.
On the other hand, the antiviral activity of sulphated polysaccharides has been determined by identifying infectivity or radiolabeled particles binding, flow cytometry, radioimmunoassay, enzyme-linked immunosorbent assay (ELISA assays) [].
All the assays mentioned above require prior extraction of the active metabolite. Those extraction methods usually affect the potency of bioactive metabolites. For example, the sulphated polysaccharides fraction obtained by acid hydrolysis (0.1 M hydrochloric acid (HCl) at 37 °C) of Fucus vesiculosus has shown the highest potential to be used as antioxidants by the FRAP assay, followed by the alkali- (2 M KOH, 37 °C) and water-soluble fractions. Therefore, selecting the appropriate extraction method is critical for the pharmaceutical effectiveness of macroalgae sulphated polysaccharide.
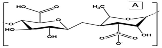
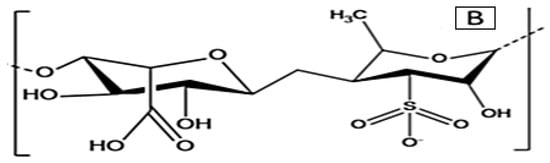
Ulvan is a cell wall polysaccharide that contributes from 9% to 36% dry weight of Ulva’s biomass and is mainly composed of units of mono or disaccharides such as sulphated rhamnose, sulphated xylose, and uronic acids (glucuronic acid and iduronic acid) whereas the remaining sulphated polysaccharides in the Ulva species (cellulose, xyloglucan, and glucuronan) makes only 9% of its biomass []. The most repeated structures of ulvan are shown in Figure 2 and Figure 3.

Figure 2.
Ulvan chemical structure—A: glucuronic acid and rhamnose 3-sulfate.

Figure 3.
Ulvan chemical structure—B: iduronic acid and rhamnose 3-sulfate.
Ulvan polysaccharides are polyanionic heteropolysaccharides with sugar compositions that are predominantly rhamnose (45.0 mol%), glucuronic acid (22.5 mol%), xylose (9.6 mol%), and iduronic acid (5.0 mol%).
However, the ulvan polysaccharide composition varies widely with variation in the storage methods of collected biomass, pre-extraction processing, the source of the species, extraction method, and the processing procedure of the ulvan, which in turn affects the quantitative yield and the quality of the extracted ulvan [,]. Authors argue that the physicochemical properties of the ulvan molecule such as low solubility in aqueous solution and interaction with cell wall components like divalent cations (e.g., calcium ion), borate, hydrogen bonding, and entanglement, affect the choice of the extraction methods [].
3.4. Extraction Methods of Macroalgae Active Metabolites
The literature provided an overview of conventional and non-conventional extraction methods of bioactive metabolites from macroalgae. According to Roselló-Soto, E. et al. [], the conventional extraction methods usually include the use of water or organic solvents and may results in the obvious degradation of the components. Whereas, the non-conventional methods involve enzyme-assisted extraction, pulsed electric fields, ultrasounds, microwaves, subcritical and supercritical fluid extraction for recovery of valuable compounds.
Conventionally, solvent extraction was used in extracting the bioactive compounds of macroalgae. In this extraction method, authors attempt to identify the optimal extractant, temperature, and potential of hydrogen (pH) of extraction medium as well as the pre-treatment steps to maximize the yield of the active metabolite []. Reducing salt in macroalgae pre-treatment by warm water enhances the extraction efficiency of ulvan by lowering the aggregation properties of ulvan and increasing the exposure of cell wall components to the extractant. Drying the biomass and fine milling after pre-treatment will positively impact the yield. Furthermore, the selectivity of ulvan, its degradation, and yield in the extraction process is a factor of the type of extractant, pH of extractant, and the extraction temperature. This was confirmed by Kidgell et al. []. They argue that the polysaccharide yield is affected by many factors such as extraction temperature, extractants, extractant to biomass ratio, duration of extraction, and biomass particle size and treatment.
For the extractant, despite the solubility of ulvan in an aqueous solution, water extraction has a low extraction yield due to the interaction of ulvan with other components of the cell wall. Therefore, using oxalates and ethylenediaminetetraacetic acid (EDTA) as extractant is preferable than water since oxalates remove divalent cations (e.g., calcium ion) from the ulvan which promote the cross-linking of ulvan in the cell wall []. Despite the claimed low cost of EDTA, the lack of biodegradability raises environmental concerns [].
Regarding the temperature of extraction, temperature in the range of 80–90 °C usually enhances the extraction process due to increase in the solubility of the bioactive metabolite with pH of the extractant optimally around 4.5. At such low pH, the selectivity of ulvan over other macromolecules and the dispersion of ulvan aggregates are improved and therefore, the yield of the extraction process is high. Thus, hydrochloric acid (HCL) as an extractant is recommended over the use of oxalate salts [].
Despite the benefits of acidic extractants in yield and selectivity of ulvan, a very low pH (1.3–1.5) caused degradation of ulvan by depolymerization or desulphation, which render the ulvan polysaccharide less active in terms of antioxidant or antiviral activity. Similarly, a longer extraction period can have the same degradative effect on the ulvan molecule. Therefore, in the literature, it is recommended that in conventional extraction of ulvan, the extraction medium should be capped to pH from 2–4.5, a temperature of 80–90 °C for a maximum of 1 to 3 h duration period of extraction [].
Scholars introduced non-conventional extraction methods to overcome the drawbacks of a conventional solvent extraction method, such as capped temperature, controlled acidic medium, limited extraction time, and environmental hazards of solvents other than water [,,].
Non-conventional methods include microwave-assisted extraction (MAE), ultrasound-assisted extraction (UAE), supercritical fluid extraction (SFE), pressurized liquid extraction (PLE), pulsed electric field, enzyme-assisted extraction (EAE) and subcritical water extraction (SWE). These novel methods were claimed to improve the extraction efficiency, preserve the extracted metabolite’s quality, and present a more environmentally friendly extraction process [].
Out of the above-mentioned new technologies, the MAE, UAE, SFE, and SWE are the mostly applied ones in the isolation of bioactive compounds from marine macroalgae and, therefore, will be explored in detail in this paper for the extraction of sulphated polysaccharides from Ulva species.
The microwave-assisted extraction is based on non-ionizing electromagnetic waves in the frequency band of 300 MHz to 300 GHz []. In MAE, the microwave radiation causes absorption of energy by the polar molecules of the solvent which in turn disrupts the hydrogen bonds in the cell wall of the biomass which facilitate the penetration of the solvent into the biomass and increases the extraction of targeted compounds []. MAE can occur in open vessels at atmospheric pressure or closed vessels that operate at higher pressure, however operating in open vessels is considered more effective and safer than closed vessels. One parameter that can increase the rate of diffusion of the target analytes from the solid sample to the solvent is the temperature: the higher the temperature, the faster the diffusion rate. Another parameter that affects the efficacy of bioactive metabolite using MAE is the type of solvent, according to [], solvents with high dielectric constant such as water have a higher ability to absorb microwave energy than non-polar solvents and are, therefore, a better choice for MAE. It has been also reported by Mäki-Arvela et al. [] that the microwave power, frequency, and the time of extraction plays a critical role in the extraction of active metabolites form macroalgae. The technology has the advantage of being fast, energy-efficient, can be applied directly to fresh biomass, available on an industrial scale, and does not involve chemical. Several researchers applied microwave-assisted extraction on green algae who claim that the yield of sulphated polysaccharide using this technology surpassed the yield of hot water extraction, hot water reflux extraction, and ultrasound-assisted extraction [].
Another type of non-conventional technology is the ultrasound assisted extraction in which ultrasound waves with a frequency above 20 kHz to 100 kHz is applied. The waves create bubbles and zones of high and low pressure which lead to the collapse of the bubbles near the solid-liquid interface and leads to the breakdown of particles and mass transfer from the biological matrix []. Two different types of UAE are commonly used, the first is the ultrasonic bath in which the sample is immersed, and the waves operate at a frequency of 40 kHz to 50 kHz. The second type is the ultrasound probe which is inserted into the sample and operates at a maximum frequency of 20 KHz []. Duarte et al. [] argue that UAE is a fast and inexpensive method for the extraction of active metabolites from macroalgae. Wu [] also recommended UAE to extract sulphated polysaccharide from green algae for being clean, fast, and energy-efficient technology. Anon [] reported the extraction of sulphated polysaccharide with antioxidant activity from green seaweed using ultrasound technology. The literature suggested that the polyphenols represent most of the extracted compounds using UAE technology.
Another non-conventional extraction method is the SFE in which extraction fluids in their supercritical conditions are used. At the supercritical condition, the solvent exhibits the characteristics of both liquid and gas, the fluid density is similar to the values of liquid whereas the viscosity is similar to that of gases []. Carbon dioxide is the solvent most used because of its safety and availability. However, being a non-polar solvent, its ability to extract polar compounds is limited and can only be enhanced with the addition of polar co-solvents such as ethanol [].
Like the UAE, the SFE was commonly reported in the literature to extract polyphenols and carotenoids rather than sulphated polysaccharides.
A commonly used non-conventional extraction method for sulphated polysaccharide is the SWE. SWE is also known as pressurized hot water extraction or superheated water extraction. SWE was claimed to improve the mass transfer rate and preserves the biological potency of the extracts and overcome the drawbacks of conventional methods such as consumption of large quantities of solvent, poor selectivity of the active metabolite, and the risk of decomposition of thermolabile active metabolites.
The SWE process involves applying water at temperatures higher than its boiling point under high pressure to keep the water in its liquid state. The high temperature and high pressure decrease the water viscosity and surface tension, while increasing its diffusivity and, therefore, enhancing the extraction efficiency []. At high pressure and a temperature of 200 °C, the dielectric constant of water decreases from 80 at room temperature to 33, a value like organic solvents. Thus, at such conditions, sub-critical water can be an alternative to organic solvents such as ethanol and methanol to extract non-polar compounds. Moreover, the application of high pressure in SWE allows for limiting the extraction time to only five to 20 min which in turn helps protect the thermolabile metabolites from degradation caused by longer extraction period at high temperature in conventional extraction methods [,].
The process of SWE involves three sequential steps, as shown in Figure 4. The first step consists of the active metabolite diffusion to the cell surface; and the second step is where the active metabolite is transferred into the solvent. Finally, in the third step the active metabolite is eluted from the extraction column.

Figure 4.
The process of extraction of active metabolite using subcritical water extraction (SWE, adapted from Zakaria et al. []).
The extraction time of active metabolites is remarkably shorter in the SWE compared to conventional extraction methods. Therefore, the chances of active metabolite degradation are lower than other conventional techniques [].
Several authors reported a high yield and potency of extracted polysaccharides from macroalgae using SWE. Plaza et al. [] claim that new compounds are formed during SWE of active metabolites from macroalgae, which increases the antioxidant activity. Similarly, Santoyo et al. [,,] claimed that the extracted polysaccharide from macroalgae using SWE effectively inhibited HSV-1 intracellular replication and disrupted the attachment step. Rodriguez-Meizoso et al. [] also proved that the extraction yield and the antioxidant activity of bioactive metabolites from Haematococcus pluvialis, a species belonging to the Chlorophyceae class of macroalgae using SWE at 200 °C was higher than that extracted at lower temperatures in conventional methods. Yuan et al. [] concluded that a higher yield (168.80 ± 0.59 mg/g) and a higher level of metabolite activity was obtained by the polysaccharide-rich fraction isolated from macroalgae using SWE compared to the conventional water extraction method. Similarly, Wu [] reported an 8.3% crude yield of sulphated polysaccharide extracted from brown algae using SWE technology which demonstrated satisfactory bioactivity.
SWE has been proposed as an alternative for isolating algal polysaccharides since it could be used alone or in combination with an enzymatic treatment inside the extraction vessel [].
Finally, Herrero et al. [] and Anaëlle et al. [] agree that SWE is the most promising engineering non-conventional technique for the extraction of bioactive compounds. Along the same lines, Zakaria et al. [] claim that the SWE technique improves the mass transfer rate and preserves the extracts’ biological potency and could be the most suitable engineering extraction approach.
Additionally, Zollmann et al. [] argue that the quest for green solvents such as sub-critical water has become crucial for any green process. Therefore, the subcritical water extraction that uses water as a solvent is recommended by them for being environmentally benign. Based on the aforementioned literature, it could be optimal to employ SWE for the extraction of ulvan from macroalgae.
4. Conclusions
The three macroalgae classes, Chlorophyceae, Phaeophyceae, and Rhodophyceae, have been reported in the literature to have effective antioxidant and antiviral activities, and their potency as active metabolite is influenced by their extraction method. Thus, conventionally, authors recommended using acidic extractant with pH from 2–4.5, at a temperature of 80–90 °C for 1 to 3 h duration of extraction to extract the active metabolite, sulphated polysaccharide. In comparison, non-conventional extraction techniques such as microwave-assisted extraction, ultrasound-assisted extraction, and subcritical water extraction have surpassed the conventional methods in terms of extraction efficiency, the potency of the active metabolite, as well as environmental preservation.
The literature proves that species belonging to the Phaeophyceae and Rhodophceae classes are primarily potent against HSV, followed by HIV and influenza virus. At the same time, species belonging to the Chlorophyceae class are recorded by most of the scholars to have antiviral activity against HSV-1 and HSV-2. Additionally, all three macroalgae classes exhibit antioxidant activity, the potency of which is a factor of the molecular structure of the bioactive metabolite.
Capitalizing on the novel smart technologies for extraction of macroalgae-active metabolite, scholars recommend the use of non-conventional extraction methods such as SWE, MAE and UAE for the extraction of sulphated polysaccharide for their environmental merits and their ability to preserve the active metabolite. Therefore, future research should focus on implementing those technologies and assessing the potency of their yields.
Author Contributions
Conceptualization, R.E.-S. and B.A.; methodology, R.E.-S., H.H. and B.A.; formal analysis, R.E.-S., H.H. and B.A.; writing—original draft preparation, R.E.-S., H.H.; writing—review and editing, R.E.-S., H.H. and B.A.; supervision, B.A.; funding acquisition, B.A. All authors have read and agreed to the published version of the manuscript.
Funding
This research received no external funding.
Institutional Review Board Statement
Not Applicable.
Informed Consent Statement
Not Applicable.
Data Availability Statement
Not Applicable.
Conflicts of Interest
The authors declare no conflict of interest.
References
- Chan, C.-X.; Ho, C.-L.; Phang, S.-M. Trends in seaweed research. Trends Plant Sci. 2006, 11, 165–166. [Google Scholar] [CrossRef] [PubMed]
- Jha, R.K.; Zi-Rong, X. Biomedical Compounds from Marine organisms. Mar. Drugs 2004, 2, 123–146. [Google Scholar] [CrossRef]
- Chew, Y.L.; Lim, Y.Y.; Omar, M.; Khoo, K. Antioxidant activity of three edible seaweeds from two areas in South East Asia. LWT 2008, 41, 1067–1072. [Google Scholar] [CrossRef]
- Tierney, M.S.; Croft, A.K.; Hayes, M. A review of antihypertensive and antioxidant activities in macroalgae. Bot. Mar. 2010, 53. [Google Scholar] [CrossRef]
- Balina, K.; Romagnoli, F.; Blumberga, D. Seaweed biorefinery concept for sustainable use of marine resources. Energy Procedia 2017, 128, 504–511. [Google Scholar] [CrossRef]
- Barzkar, N.; Jahromi, S.T.; PoorSaheli, H.B.; Vianello, F. Metabolites from Marine Microorganisms, Micro, and Macroalgae: Immense Scope for Pharmacology. Mar. Drugs 2019, 17, 464. [Google Scholar] [CrossRef] [PubMed]
- Gerber, P.; Dutcher, J.D.; Adams, E.V.; Sherman, J.H. Protective Effect of Seaweed Extracts for Chicken Embryos Infected with Influenza B or Mumps Virus. Exp. Biol. Med. 1958, 99, 590–593. [Google Scholar] [CrossRef]
- Witvrouw, M.; Desmyter, J.; De Cleroq, E. Antiviral portraitseries: 4. Polysulfates as inhibitors of HIV and other envelopedviruses. Antivir. Chem. Chemother. 1994, 94, 345–359. [Google Scholar] [CrossRef]
- Witvrouw, M.; De Clercq, E. Sulfated Polysaccharides Extracted from Sea Algae as Potential Antiviral Drugs. Gen. Pharmacol. Vasc. Syst. 1997, 29, 497–511. [Google Scholar] [CrossRef]
- Carlucci, M.; Scolaro, L.; Damonte, E. Inhibitory Action of Natural Carrageenans on Herpes simplex Virus Infection of Mouse Astrocytes. Chemotherapy 1999, 45, 429–436. [Google Scholar] [CrossRef]
- Cáceres, P.J.; Carlucci, M.J.; Damonte, E.B.; Matsuhiro, B.; Zuniga, E.A. Carrageenans from chileansamples of Stenogramme interrupta (Phyllophoraceae): Structural analysis and biological activity. Phytochemistry 2000, 53, 81–86. [Google Scholar] [CrossRef]
- Thompson, K.D.; Dragar, C. Antiviral activity of Undaria pinnatifida against herpes simplex virus. Phytotherapy Res. 2004, 18, 551–555. [Google Scholar] [CrossRef]
- Ponce, N.M.; Pujol, C.A.; Damonte, E.B.; Flores, M.L.; Stortz, C.A. Fucoidans from the brown seaweed Adenocystis utricularis: Extraction methods, antiviral activity and structural studies. Carbohydr. Res. 2003, 338, 153–165. [Google Scholar] [CrossRef]
- Pujol, C.; Estevez, J.M.; Carlucci, M.J.; Ciancia, M.; Cerezo, A.S.; Damonte, E.B. Novel DL-Galactan Hybrids from the Red Seaweed Gymnogongrus Torulosusare Potent Inhibitors of Herpes Simplex Virus and Dengue Virus. Antivir. Chem. Chemother. 2002, 13, 83–89. [Google Scholar] [CrossRef]
- Ono, L.; Wollinger, W.; Rocco, I.M.; Coimbra, T.L.; Gorin, P.A.; Sierakowski, M.-R. In vitro and in vivo antiviral properties of sulfated galactomannans against yellow fever virus (BeH111 strain) and dengue 1 virus (Hawaii strain). Antivir. Res. 2003, 60, 201–208. [Google Scholar] [CrossRef]
- Ohta, Y.; Lee, J.-B.; Hayashi, K.; Hayashi, T. Isolation of Sulfated Galactan from Codium fragile and Its Antiviral Effect. Biol. Pharm. Bull. 2009, 32, 892–898. [Google Scholar] [CrossRef] [PubMed]
- Zhu, W.; Chiu, L.; Ooi, V.; Chan, P.; Ang, P. Antiviral property and mechanisms of a sulphated polysaccharide from the brown alga Sargassum patens against Herpes simplex virus type 1. Phytomedicine 2006, 13, 695–701. [Google Scholar] [CrossRef]
- Vo, T.-S.; Kim, S.-K. Potential Anti-HIV Agents from Marine Resources: An Overview. Mar. Drugs 2010, 8, 2871–2892. [Google Scholar] [CrossRef] [PubMed]
- Jiao, G.; Yu, G.; Zhang, J.; Ewart, H.S. Chemical Structures and Bioactivities of Sulfated Polysaccharides from Marine Algae. Mar. Drugs 2011, 9, 196–223. [Google Scholar] [CrossRef] [PubMed]
- Pati, M.P.; Das Sharma, S.; Nayak, L.; Panda, C.R. Uses of seaweed and its application to human welfare: A review. Int. J. Pharm. Pharm. Sci. 2016, 8, 12. [Google Scholar] [CrossRef]
- Grassauer, A.; Prieschl-Grassauer, E.; Biotech, A.G. Antiviral Composition Comprising a Sulfated Polysaccharide. U.S. Patent No. 10,342,820, 5 March 2009. [Google Scholar]
- Zaporozhets, T.S.; Besednova, N.N. Biologically active compounds from marine organisms in the strategies for combating coronaviruses. AIMS Microbiol. 2020, 6, 470–494. [Google Scholar] [CrossRef]
- Ahn, G.; Kim, K.N.; Cha, S.H.; Song, C.B.; Lee, J.; Heo, M.S.; Yeo, I.K.; Lee, N.H.; Jee, Y.H.; Kim, J.S.; et al. Antioxidant activities of phlorotannins purified from Ecklonia cava on free radical scavenging using ESR and H2O2-mediated DNA damage. Eur. Food Res. Technol. 2007, 226, 71–79. [Google Scholar] [CrossRef]
- Artan, M.; Li, Y.; Karadeniz, F.; Lee, S.H.; Kim, M.M.; Kim, S.K. Anti-HIV-1 activity of phloroglucinol derivative, 6,6′-bieckol, from Ecklonia cava. Bioorganic Med. Chem. 2008, 16, 7921–7926. [Google Scholar] [CrossRef] [PubMed]
- Barbosa, J.P.; Pereira, R.C.; Abrantes, J.L.; Cirne dos Santos, C.C.; Rebello, M.A.; Frugulhetti, I.C.; Texeira, V.L. In vitro antiviral diterpenes from the Brazilian brown alga Dictyota pfaffi. Plant Med. 2004, 70, 856–860. [Google Scholar] [CrossRef] [PubMed]
- Ryu, Y.B.; Jeong, H.J.; Yoon, S.Y.; Park, J.-Y.; Kim, Y.M.; Park, S.-J.; Rho, M.-C.; Kim, S.-J.; Lee, W.S. Influenza Virus Neuraminidase Inhibitory Activity of Phlorotannins from the Edible Brown Alga Ecklonia cava. J. Agric. Food Chem. 2011, 59, 6467–6473. [Google Scholar] [CrossRef]
- Wang, S.; Bligh, S.; Shi, S.; Wang, Z.; Hu, Z.; Crowder, J.; Branford-White, C.; Vella, C. Structural features and anti-HIV-1 activity of novel polysaccharides from red algae Grateloupia longifolia and Grateloupia filicina. Int. J. Biol. Macromol. 2007, 41, 369–375. [Google Scholar] [CrossRef] [PubMed]
- Mandal, P.; Mateu, C.G.; Chattopadhyay, K.; Pujol, C.A.; Damonte, E.B.; Ray, B. Structural features and antiviral activityof sulphated fucans from the brown seaweed Cystoseira indica. Antivir. Chem. Chemother. 2007, 18, 153–162. [Google Scholar] [CrossRef]
- Queiroz, K.C.S.; Medeiros, V.P.; Queiroz, L.S.; Abreu, L.R.D.; Rocha, H.A.O.; Ferreira, C.V.; Juca, M.B.; Aoyama, H.; Leite, E.L. Inhibition of reverse transcriptase activity of HIV by polysaccharides of brown algae. Biomed. Pharmacother. 2008, 62, 303–307. [Google Scholar] [CrossRef]
- Feldman, S.C.; Reynaldi, S.; Stortz, C.A.; Cerezo, A.S.; Damont, E.B. Antiviral properties of fucoidan fractions from Leathesia difformis. Phytomedicine 1999, 6, 335–340. [Google Scholar] [CrossRef]
- Ghosh, T.; Chattopadhyay, K.; Marschall, M.; Karmakar, P.; Mandal, P.; Ray, B. Focus on antivirally active sulfated polysaccharides: From structure-activity analysis to clinical evaluation. Glycobiology 2009, 19, 2–15. [Google Scholar] [CrossRef]
- Bandyopadhyay, S.S.; Navid, M.H.; Ghosh, T.; Schnitzler, P.; Ray, B. Structural features and in vitro antiviral activities of sulfated polysaccharides from Sphacelaria indica. Phytochemistry 2011, 72, 276–283. [Google Scholar] [CrossRef] [PubMed]
- Harden, E.A.; Falshaw, R.; Carnachan, S.M.; Kern, E.R.; Prichard, M.N. Virucidal activity of polysaccharide extracts from four algal species against herpes simplex virus. Antivir. Res. 2009, 83, 282–289. [Google Scholar] [CrossRef]
- Adhikari, U.; Mateu, C.G.; Chattopadhyay, K.; Pujol, C.A.; Damonte, E.B.; Ray, B. Structure and antiviral activity of sulfated fucans from Stoechospermum marginatum. Phytochemistry 2006, 67, 2474–2482. [Google Scholar] [CrossRef]
- Cooper, R.; Dragar, C.; Elliot, K.; Fitton, J.H.; Godwin, J.; Thompson, K. GFS, a preparation of Tasmanian Undaria pinnatifida is associated with healing and inhibition of reactivation of Herpes. BMC Complementary Altern. Med. 2002, 2, 11. [Google Scholar] [CrossRef]
- Rodríguez, M.C.; Merino, E.R.; Pujol, C.A.; Damonte, E.B.; Cerezo, A.S.; Matulewicz, M.C. Galactans from cystocarpic plants of the red seaweed Callophyllis variegata (Kallymeniaceae, Gigartinales). Carbohydr. Res. 2005, 340, 2742–2751. [Google Scholar] [CrossRef] [PubMed]
- Ponce, N.M.A.; Stortz, C.A. A Comprehensive and Comparative Analysis of the Fucoidan Compositional Data across the Phaeophyceae. Front. Plant Sci. 2020, 11. [Google Scholar] [CrossRef]
- Palermo, G.; Joris, H.; Devroey, P.; Van Steirteghem, A.C. Induction of acrosome reaction in human spermatozoa used for subzonal insemination. Hum. Reprod. 1992, 7, 248–254. [Google Scholar] [CrossRef] [PubMed]
- Matsuhiro, B.; Conte, A.F.; Damonte, E.B.; Kolender, A.A.; Matulewicz, M.C.; Mejías, E.G.; Zúñiga, E.A. Structural analysis and antiviral activity of a sulfated galactan from the red seaweed Schizymenia binderi (Gigartinales, Rhodophyta). Carbohydr. Res. 2005, 340, 2392–2402. [Google Scholar] [CrossRef]
- Mazumder, S.; Ghosal, P.K.; Pujol, C.A.; Carlucci, M.J.; Damonte, E.B.; Ray, B. Isolation, chemical investigation and antiviral activity of polysaccharides from Gracilaria corticata (Gracilariaceae, Rhodophyta). Int. J. Biol. Macromol. 2002, 31, 87–95. [Google Scholar] [CrossRef]
- Pérez Recalde, M.; Noseda, M.D.; Pujol, C.A.; Carlucci, M.J.; Matulewicz, M.C. Sulfated mannans from the red seaweed Nemalion helminthoides of the South Atlantic. Phytochemistry 2009, 70, 1062–1068. [Google Scholar] [CrossRef]
- Bouhlal, R.; Haslin, C.; Chermann, J.-C.; Colliec-Jouault, S.; Sinquin, C.; Simon, G.; Cerantola, S.; Riadi, H.; Bourgougnon, N. Antiviral Activities of Sulfated Polysaccharides Isolated from Sphaerococcus coronopifolius (Rhodophytha, Gigartinales) and Boergeseniella thuyoides (Rhodophyta, Ceramiales). Mar. Drugs 2011, 9, 1187–1209. [Google Scholar] [CrossRef]
- Mandal, P.; Pujol, C.A.; Carlucci, M.J.; Chattopadhyay, K.; Damonte, E.B.; Ray, B. Anti-herpetic activity of a sulfated xylomannan from Scinaia hatei. Phytochemistry 2008, 69, 2193–2199. [Google Scholar] [CrossRef] [PubMed]
- Haefner, B. Drugs from the deep: Marine natural products as drug candidates. Drug Discov. Today 2003, 8, 536–544. [Google Scholar] [CrossRef]
- Talarico, L.B.; Zibetti, R.G.M.; Faria, P.C.S.; Scolaro, L.A.; Duarte, M.E.R.; Noseda, M.D.; Pujol, C.A.; Damonte, E.B. Anti-herpes simplex virus activity of sulfated galactans from the red seaweeds Gymnogongrus griffithsiae and Cryptonemia crenulata. Int. J. Biol. Macromol. 2004, 34, 63–71. [Google Scholar] [CrossRef]
- Huheihel, M.; Ishanub, V.; Talb, J.; Arada, S.M. Activity of Porphyridium sp. polysaccharide against herpes simplex viruses in vitro and in vivo. J. Biochem. Biophys. Methods 2002, 50, 189–200. [Google Scholar] [CrossRef]
- Haslin, C.; Lahaye, M.; Pellegrini, M.; Chermann, J.-C. In Vitro Anti-HIV Activity of Sulfated Cell-Wall Polysaccharides from Gametic, Carposporic and Tetrasporic Stages of the Mediterranean Red Alga Asparagopsis armata. Planta Med. 2001, 67, 301–305. [Google Scholar] [CrossRef] [PubMed]
- Duarte, K.; Justino, C.; Gomes, A.; Rocha-Santos, T.; Duarte, A.C. Green Analytical Methodologies for Preparation of Extracts and Analysis of Bioactive Compounds. In Comprehensive Analytical Chemistry; Elsevier BV: Amsterdam, The Netherlands, 2014; Volume 65, pp. 59–78. [Google Scholar]
- Harnedy, P.A.; FitzGerald, R.J. Bioactive Proteins, Peptides, and Amino Acids from Macroalgae. J. Phycol. 2011, 47, 218–232. [Google Scholar] [CrossRef]
- Ghosh, P.; Adhikaria, U.; Ghosala, P.K.; Pujolb, C.A.; Carluccib, M.J.; Damonteb, E.B.; Ray, B. In vitro anti-herpetic activity of sulfated polysaccharide fractions from Caulerpa racemosa. Phytochemistry 2004, 65, 3151–3157. [Google Scholar] [CrossRef]
- Faulkner, D.J. Marine natural products. Nat. Prod. Rep. 2001, 18, 1–49. [Google Scholar] [CrossRef]
- Lee, J.B.; Hayashi, K.; Hashimoto, M.; Nakano, T.; Hayashi, T. Novel antiviral fucoidan from sporophyll of Undaria pinnatifida (Mekabu). Chem. Pharm. Bull. 2004, 52, 1091–1094. [Google Scholar] [CrossRef]
- Jane, P.; Bradford, M. Seaweed: Nature’s Secret for a Long and Healthy Life? Nutr. pract. 2006, 1–21. [Google Scholar]
- Wang, B.; Tong, G.Z.; Le Qu, Y.; Li, L. Microwave-Assisted Extraction and In Vitro Antioxidant Evaluation of Polysaccharides from Enteromorpha prolifera. Appl. Mech. Mater. 2011, 79, 204–209. [Google Scholar] [CrossRef]
- Hans, N.; Malik, A.; Naik, S. Antiviral activity of sulfated polysaccharides from marine algae and its application in combating COVID-19: Mini review. Bioresour. Technol. Rep. 2021, 13, 100623. [Google Scholar] [CrossRef]
- Damonte, E.B.; Matulewicz, M.C.; Cerezo, A.S. Sulfated Seaweed Polysaccharides as Antiviral Agents. Curr. Med. Chem. 2004, 11, 2399–2419. [Google Scholar] [CrossRef]
- Ezeigbo, I.I.; Ezeja, M.; Madubuike, K.; Ifenkwe, D.; Ukweni, I.; Udeh, N.; Akomas, S. Antidiarrhoeal activity of leaf methanolic extract of Rauwolfia serpentina. Asian Pac. J. Trop. Biomed. 2012, 2, 430–432. [Google Scholar] [CrossRef]
- Butterfield, D.; Castegna, A.; Pocernich, C.B.; Drake, J.; Scapagnini, G.; Calabrese, V. Nutritional approaches to combat oxidative stress in Alzheimer’s disease. J. Nutr. Biochem. 2002, 13, 444–461. [Google Scholar] [CrossRef]
- Kohen, R.; Nyska, A. Invited Review: Oxidation of Biological Systems: Oxidative Stress Phenomena, Antioxidants, Redox Reactions, and Methods for Their Quantification. Toxicol. Pathol. 2002, 30, 620–650. [Google Scholar] [CrossRef]
- Rupérez, P.; Ahrazem, O.; Leal, J.A. Potential Antioxidant Capacity of Sulfated Polysaccharides from the Edible Marine Brown SeaweedFucus vesiculosus. J. Agric. Food Chem. 2002, 50, 840–845. [Google Scholar] [CrossRef]
- Wijesekara, I.; Pangestuti, R.; Kim, S.-K. Biological activities and potential health benefits of sulfated polysaccharides derived from marine algae. Carbohydr. Polym. 2011, 84, 14–21. [Google Scholar] [CrossRef]
- Zhang, Q.-B.; Yu, P.-Z.; Zhou, G.-F.; Li, Z.-E.; Xu, Z.-H. Studies on antioxidant activities of fucoidan from Laminaria japonica. Chin. Trad. Herbal. Drugs 2003, 34, 824–826. [Google Scholar]
- Kim, S.H.; Choi, D.S.; Athukorala, Y.; Jeon, Y.J.; Senevirathne, M.; Rha, C.K. Antioxidant Activity of Sulphated Polysaccharides Isolated from Sargassum fulvellum. J. Food Sci. Nutr. 2007, 12, 65–73. [Google Scholar]
- De Souza, M.C.R. Antioxidant activity of fucanas and galactans extracted from seaweed. Master’s Thesis, Federal University of Rio Grande do Norte, Natal, Rio Grande do Norte, Brazil, 26 May 2008. [Google Scholar]
- Rocha de Souza, M.C.; Marques, C.T.; Dore, C.M.G.; da Silva, F.R.F.; Rocha, H.A.O.; Leite, E.L. Antioxidant activities of sulfated polysaccharides from brown and red seaweeds. J. Appl. Phycol. 2007, 19, 153–160. [Google Scholar] [CrossRef] [PubMed]
- Wang, X.; Zhang, C.; Shi, F.; Hu, X. Purification and Characterization of Lipopolysaccharides. In Alzheimer’s Disease; Springer Science and Business Media LLC: Berlin/Heidelberg, Germany, 2010; Volume 53, pp. 27–51. [Google Scholar]
- Prajapati, V.D.; Maheriya, P.M.; Jani, G.K.; Solanki, H.K. RETRACTED: Carrageenan: A natural seaweed polysaccharide and its applications. Carbohydr. Polym. 2014, 105, 97–112. [Google Scholar] [CrossRef]
- Qi, H.; Zhao, T.; Zhang, Q.; Li, Z.; Zhao, Z.; Xing, R. Antioxidant activity of different molecular weight sulfated polysaccharides from Ulva pertusa Kjellm (Chlorophyta). J. Appl. Phycol. 2005, 17, 527–534. [Google Scholar] [CrossRef]
- Sun, L.; Wang, C.; Shi, Q.; Ma, C. Preparation of different molecular weight polysaccharides from Porphyridium cruentum and their antioxidant activities. Int. J. Biol. Macromol. 2009, 45, 42–47. [Google Scholar] [CrossRef]
- Chattopadhyay, N.; Ghosh, T.; Sinha, S.; Chattopadhyay, K.; Karmakar, P.; Ray, B. Polysaccharides from Turbinaria conoides: Structural features and antioxidant capacity. Food Chem. 2010, 118, 823–829. [Google Scholar] [CrossRef]
- Heo, S.-J.; Cha, S.-H.; Lee, K.-W.; Jeon, Y.-J. Antioxidant Activities of Red Algae from Jeju Island. ALGAE 2006, 21, 149–156. [Google Scholar] [CrossRef]
- Nogueira, C.C.R.; Paixão, I.C.N.D.P.; Teixeira, V.L. Antioxidant Activity of Natural Products Isolated from Red Seaweeds. Nat. Prod. Commun. 2014, 9, 1031–1036. [Google Scholar] [CrossRef]
- Manach, C.; Scalbert, A.; Morand, C.; Rémésy, C.; Jiménez, L. Polyphenols: Food sources and bioavailability. Am. J. Clin. Nutr. 2004, 79, 727–747. [Google Scholar] [CrossRef]
- Zubia, M.; Robledo, D.; Freile-Pelegrin, Y. Antioxidant activities in tropical marine macroalgae from the Yucatan Peninsula, Mexico. J. Appl. Phycol. 2007, 19, 449–458. [Google Scholar] [CrossRef]
- Kim, A.R.; Shin, T.S.; Park, J.Y.; Park, K.E.; Yoon, N.Y.; Kim, J.S.; Choi, J.S.; Jang, B.C.; Byun, D.S.; Park, N.K.; et al. Isolation and identification of phlorotannins from Ecklonia stolonifera with anti-oxidant and anti-inflammatory properties. J. Agric. Food Chem. 2009, 57, 3483–3489. [Google Scholar] [CrossRef]
- Srivastava, N.; Saurav, K.; Mohanasrinivasan, V.; Kannabiran, K.; Singh, M. Antibacterial Potential of Macroalgae Collected from the Mandapam Coast. India Br. J. Pharmacol. Toxicol. 2010, 1, 72–76. [Google Scholar]
- Kosanić, M.; Ranković, B.; Stanojković, T. Biological activities of two macroalgae from Adriatic coast of Montenegro. Saudi J. Biol. Sci. 2015, 22, 390–397. [Google Scholar] [CrossRef]
- Abdel-Karim, O.H.; Gheda, S.F.; Ismail, G.A.; Abo-Shady, A.M. Phytochemical Screening and antioxidant activity of Chlorella vulgaris. Delta J. Sci. 2020, 41, 81–91. [Google Scholar] [CrossRef]
- Shibata, T.; Iimuro, Y.; Yamamoto, Y.; Maetani, Y.; Ametani, F.; Itoh, K.; Konishi, J. Small Hepatocellular Carcinoma: Comparison of Radio-frequency Ablation and Percutaneous Microwave Coagulation Therapy. Radiology 2002, 223, 331–337. [Google Scholar] [CrossRef] [PubMed]
- Takamatsu, Y.; Kishimoto, Y.; Ohsako, S. Immunohistochemical study of Ca2+/calmodulin-dependent protein kinase II in the Drosophila brain using a specific monoclonal antibody. Brain Res. 2003, 974, 99–116. [Google Scholar] [CrossRef]
- Connan, F.; Murphy, F.; Connor, S.E.J.; Rich, P.; Murphy, T.; Bara-Carill, N.; Landau, S.; Krljes, S.; Ng, V.; Williams, S.; et al. Hippocampal volume and cognitive function in anorexia nervosa. Psychiatry Res. 2006, 146, 117–125. [Google Scholar] [CrossRef]
- Kang, M.C.; Wijesinghe, W.A.; Lee, S.H.; Kang, S.M.; Ko, S.C.; Yang, X.; Kang, N.; Jeon, B.T.; Kim, J.; Lee, D.H.; et al. Dieckol isolated from brown seaweed Ecklonia cava attenuates type capital I, Ukrainiancapital I, Ukrainian diabetes in db/db mouse model. Food Chem. Toxicol. 2013, 53, 294–298. [Google Scholar] [CrossRef] [PubMed]
- Lee, M.-S.; Shin, T.; Utsuki, T.; Choi, J.-S.; Byun, D.-S.; Kim, H.-R. Isolation and Identification of Phlorotannins from Ecklonia stolonifera with Antioxidant and Hepatoprotective Properties in Tacrine-Treated HepG2 Cells. J. Agric. Food Chem. 2012, 60, 5340–5349. [Google Scholar] [CrossRef] [PubMed]
- Liu, H.; Gu, L. Phlorotannins from Brown Algae (Fucus vesiculosus) Inhibited the Formation of Advanced Glycation Endproducts by Scavenging Reactive Carbonyls. J. Agric. Food Chem. 2012, 60, 1326–1334. [Google Scholar] [CrossRef]
- Shibata, Y.; Hu, J.; Kozlov, M.M.; Rapoport, T.A. Mechanisms Shaping the Membranes of Cellular Organelles. Annu. Rev. Cell Dev. Biol. 2009, 25, 329–354. [Google Scholar] [CrossRef] [PubMed]
- Heo, S.J.; Kim, J.P.; Jung, W.K.; Lee, N.H.; Kang, H.S.; Jun, E.M.; Park, S.H.; Kang, S.M.; Lee, Y.J.; Park, P.J.; et al. Identification of chemical structure and free radical scavenging activity of diphlorethohydroxycarmalol isolated from a brown alga, Ishige okamurae. J. Microbiol. Biotechnol. 2008, 18, 676–681. [Google Scholar]
- Ye, H.; Wanga, K.; Zhoub, C.; Liua, J.; Zeng, X. Purification, antitumor and antioxidant activities in vitro of polysaccharides from the brown seaweed Sargassum pallidum. Food Chem. 2008, 111, 428–432. [Google Scholar] [CrossRef] [PubMed]
- Zhao, X.; Xue, C.-H.; Li, B.-F. Study of antioxidant activities of sulfated polysaccharides from Laminaria japonica. J. Appl. Phycol. 2007, 20, 431–436. [Google Scholar] [CrossRef]
- Ananthi, S.; Raghavendran, H.R.B.; Sunil, A.G.; Gayathri, V.; Ramakrishnan, G.; Vasanthi, H.R. In vitro antioxidant and in vivo anti-inflammatory potential of crude polysaccharide from Turbinaria ornata (Marine Brown Alga). Food Chem. Toxicol. 2010, 48, 187–192. [Google Scholar] [CrossRef] [PubMed]
- Barahona, T.; Encinas, M.V.; Mansilla, A.; Matsuhiro, B.; Zúñiga, E.A. A sulfated galactan with antioxidant capacity from the green variant of tetrasporic Gigartina skottsbergii (Gigartinales, Rhodophyta). Carbohydr. Res. 2012, 347, 114–120. [Google Scholar] [CrossRef]
- Yoshizawa, Y.; Tsunehiro, J.; Nomura, K.; Itoh, M.; Fukui, F.; Ametani, A.; Kaminogawa, S. In Vivo Macrophage-stimulation Activity of the Enzyme-degraded Water-soluble Polysaccharide Fraction from a Marine Alga (Gracilaria verrucosa). Biosci. Biotechnol. Biochem. 1996, 60, 1667–1671. [Google Scholar] [CrossRef]
- Makkar, F.; Chakraborty, K. Highly oxygenated antioxidative 2H-chromen derivative from the red seaweed Gracilaria opuntia with pro-inflammatory cyclooxygenase and lipoxygenase inhibitory properties. Nat. Prod. Res. 2017, 32, 2756–2765. [Google Scholar] [CrossRef]
- Hickey, R.M. Extraction and Characterization of Bioactive Carbohydrates with Health Benefits from Marine Resources: Macro- and Microalgae, Cyanobacteria, and Invertebrates. In Marine Bioactive Compounds; Springer: New York, NY, USA, 2011; pp. 159–172. [Google Scholar]
- Wang, R.; Paul, V.J.; Luesch, H. Seaweed extracts and unsaturated fatty acid constituents from the green alga Ulva lactuca as activators of the cytoprotective Nrf2–ARE pathway. Free Radic. Biol. Med. 2013, 57, 141–153. [Google Scholar] [CrossRef]
- Wang, J.; Zhang, Q.; Zhang, Z.; Li, Z. Antioxidant activity of sulfated polysaccharide fractions extracted from Laminaria japonica. Int. J. Biol. Macromol. 2008, 42, 127–132. [Google Scholar] [CrossRef]
- Barbot, Y.N.; Al-Ghaili, H.; Benz, R. A Review on the Valorization of Macroalgal Wastes for Biomethane Production. Mar. Drugs 2016, 14, 120. [Google Scholar] [CrossRef] [PubMed]
- Cho, M.; You, S. Sulfated Polysaccharides from Green Seaweeds. In Hb25_Springer Handbook of Marine Biotechnology; Springer Science and Business Media LLC: Berlin/Heidelberg, Germany, 2015; pp. 941–953. [Google Scholar]
- Glasson, C.R.; Sims, I.M.; Carnachan, S.M.; de Nys, R.; Magnusson, M. A cascading biorefinery process targeting sulfated polysaccharides (ulvan) from Ulva ohnoi. Algal Res. 2017, 27, 383–391. [Google Scholar] [CrossRef]
- Lakshmi, D.S.; Sankaranarayanan, S.; Gajaria, T.K.; Li, G.; Kujawski, W.; Kujawa, J.; Navia, R. A Short Review on the Valorization of Green Seaweeds and Ulvan: FEEDSTOCK for Chemicals and Biomaterials. Biomolecules 2020, 10, 991. [Google Scholar] [CrossRef] [PubMed]
- Kidgell, J.T.; Magnusson, M.; De Nys, R.; Glasson, C.R. Ulvan: A systematic review of extraction, composition and function. Algal Res. 2019, 39, 101422. [Google Scholar] [CrossRef]
- Lahaye, A.M.; Robic, A. Structure and Functional Properties of Ulvan, a Polysaccharide from Green Seaweeds. Biomacromolecules 2007, 8, 1765–1774. [Google Scholar] [CrossRef] [PubMed]
- Robic, J.F.; Sassi, M. Lahaye, Impact of stabilization treatments of the green seaweed Ulva rotundata (Chlorophyta) on the extraction yield, the physico-chemical and rheological properties of ulvan. Carbohydr. Polym. 2008, 74, 344–352. [Google Scholar] [CrossRef]
- Alves, A.; Sousa, R.A.; Reis, R.L. A practical perspective on ulvan extracted from green algae. J. Appl. Phycol. 2012, 25, 407–424. [Google Scholar] [CrossRef]
- Roselló-Soto, E.; Parniakov, O.; Deng, Q.; Patras, A.; Koubaa, M.; Grimi, N.; Boussetta, N.; Tiwari, B.K.; Vorobiev, E.; Lebovka, N.; et al. Application of Non-conventional Extraction Methods: Toward a Sustainable and Green Production of Valuable Compounds from Mushrooms. Food Eng. Rev. 2015, 8, 214–234. [Google Scholar] [CrossRef]
- Jessop, P.G.; Al, E.; And, P.G.J. ChemInform Abstract: Opportunities for Greener Alternatives in Chemical Formulations. ChemInform 2015, 46, 2664–2678. [Google Scholar] [CrossRef]
- Hernández-Garibay, E.; Zertuche-González, J.A.; Pacheco-Ruíz, I. Isolation and chemical characterization of algal polysaccharides from the green seaweed Ulva clathrata (Roth) C. Agardh. J. Appl. Phycol. 2010, 23, 537–542. [Google Scholar] [CrossRef]
- Castro-Puyana, M.; Herrero, M.; Mendiola, J.A.; Ibanez, E. Subcritical water extraction of bioactive components from algae. In Functional Ingredients from Algae for Foods and Nutraceuticals; Woodhead Publishing: Sawston, UK, 2013; pp. 534–560. [Google Scholar] [CrossRef]
- Zakaria, S.M.; Kamal, S.M.M. Subcritical Water Extraction of Bioactive Compounds from Plants and Algae: Applications in Pharmaceutical and Food Ingredients. Food Eng. Rev. 2015, 8, 23–34. [Google Scholar] [CrossRef]
- Zollmann, M.; Robin, A.; Prabhu, M.; Polikovsky, M.; Gillis, A.; Greiserman, S.; Golberg, A. Green technology in green macroalgal biorefineries. Phycologia 2019, 58, 516–534. [Google Scholar] [CrossRef]
- Rocha, C.M.; Genisheva, Z.; Ferreira-Santos, P.; Rodrigues, R.; Vicente, A.A.; Teixeira, J.A.; Pereira, R.N. Electric field-based technologies for valorization of bioresources. Bioresour. Technol. 2018, 254, 325–339. [Google Scholar] [CrossRef]
- Routray, W.; Orsat, V. Microwave-Assisted Extraction of Flavonoids: A Review. Food Bioprocess Technol. 2012, 5, 409–424. [Google Scholar] [CrossRef]
- Kadam, S.U.; Tiwari, B.K.; O’Donnell, C.P. Application of Novel Extraction Technologies for Bioactives from Marine Algae. J. Agric. Food Chem. 2013, 61, 4667–4675. [Google Scholar] [CrossRef]
- Wang, L.; Weller, C.L. Recent advances in extraction of nutraceuticals from plants. Trends Food Sci. Technol. 2006, 17, 300–312. [Google Scholar] [CrossRef]
- Mäki-Arvela, P.; Hachemi, I.; Murzin, D.Y. Comparative study of the extraction methods for recovery of carotenoids from algae: Extraction kinetics and effect of different extraction parameters. J. Chem. Technol. Biotechnol. 2014, 89, 1607–1626. [Google Scholar] [CrossRef]
- Flórez-Fernández, N.; Muñoz, M.J.G. Ultrasound-Assisted Extraction of Bioactive Carbohydrates. In Water Extraction of Bioactive Compounds; Elsevier BV: Amsterdam, The Netherlands, 2017; pp. 317–331. [Google Scholar]
- Wu, S.-C. Antioxidant Activity of Sulfated Seaweeds Polysaccharides by Novel Assisted Extraction. In Solubility Polysacch.; IntechOpen: London, UK, 2017; pp. 89–108. [Google Scholar] [CrossRef][Green Version]
- Navya, P.; Khora, S.S. In vitro cytotoxicity analysis of sulfated polysaccharides from green seaweed Codium tomentosum Stackhouse, 1797. J. Appl. Pharm. Sci. 2017, 7, 33–36. [Google Scholar] [CrossRef]
- Sánchez-Camargo, A.D.P.; Ibáñez, E.; Cifuentes, A.; Herrero, M. Bioactives Obtained from Plants, Seaweeds, Microalgae and Food By-Products Using Pressurized Liquid Extraction and Supercritical Fluid Extraction. Compr. Anal. Chem. 2017, 27–51. [Google Scholar] [CrossRef]
- Ibañez, E.; Herrero, M.; Mendiola, J.A.; Castro-Puyana, M. Extraction and Characterization of Bioactive Compounds with Health Benefits from Marine Resources: Macro and Micro Algae, Cyanobacteria, and Invertebrates. In Marine Bioactive Compounds; Springer Science and Business Media LLC: Berlin/Heidelberg, Germany, 2012; pp. 55–98. [Google Scholar]
- Turner, C.; Ibañez, E. Pressurized Hot Water Extraction and Processing. Light Scatt. Technol. Food Prop. Qual. Safety Assess. 2011, 223–254. [Google Scholar] [CrossRef]
- Plaza, M.; Amigo-Benavent, M.; del Castillo, M.D.; Ibáñez, E.; Herrero, M. Facts about the formation of new antioxidants in natural samples after subcritical water extraction. Food Res. Int. 2010, 43, 2341–2348. [Google Scholar] [CrossRef]
- Santoyo, S.; Jaime, L.; Plaza, M.; Herrero, M.; Rodriguez-Meizoso, I.; Ibañez, E.; Reglero, G. Antiviral compounds obtained from microalgae commonly used as carotenoid sources. J. Appl. Phycol. 2011, 24, 731–741. [Google Scholar] [CrossRef]
- Santoyo, S.; Plaza, M.; Jaime, L.; Ibáñez, E.; Reglero, G.; Señorans, J. Pressurized liquids as an alternative green process to extract antiviral agents from the edible seaweed Himanthalia elongata. J. Appl. Phycol. 2010, 23, 909–917. [Google Scholar] [CrossRef]
- Santoyo, S.; Ramírez Anguiano, A.; García, L.; Reglero, G.; Rivas, C. Antiviral Activities of Boletus Edulis, Pleurotus Ostreatus and Lentinus Edodes Extracts and Polysaccharide Fractions Against Herpes Simplex Virus Type 1. 2012. Available online: https://www.researchgate.net/ (accessed on 12 December 2020).
- Rodríguez-Meizoso, I.; Jaime, L.; Santoyo, S.; Señoráns, F.; Cifuentes, A.; Ibáñez, E. Subcritical water extraction and characterization of bioactive compounds from Haematococcus pluvialis microalga. J. Pharm. Biomed. Anal. 2010, 51, 456–463. [Google Scholar] [CrossRef]
- Yuan, X.; Li, L.; Sun, H.; Zhang, Z. Optimization of Subcritical Water Extraction of Polysaccharides from Inonotus Obliquus and their Antioxidant Activities. Int. J. Biol. 2017, 9, 38. [Google Scholar] [CrossRef]
- Herrero, M.; Cifuentes, A.; Ibanez, E. Sub- and supercritical fluid extraction of functional ingredients from different natural sources: Plants, food-by-products, algae and microalgae A review. Food Chem. 2006, 98, 136–148. [Google Scholar] [CrossRef]
- Anaëlle, T.; Leon, E.S.; Laurent, V.; Elena, I.; Mendiola, J.A.; Stéphane, C.; Nelly, K.; Stéphane, L.B.; Luc, M.; Valérie, S.-P. Green improved processes to extract bioactive phenolic compounds from brown macroalgae using Sargassum muticum as model. Talanta 2013, 104, 44–52. [Google Scholar] [CrossRef]
Publisher’s Note: MDPI stays neutral with regard to jurisdictional claims in published maps and institutional affiliations. |
© 2021 by the authors. Licensee MDPI, Basel, Switzerland. This article is an open access article distributed under the terms and conditions of the Creative Commons Attribution (CC BY) license (https://creativecommons.org/licenses/by/4.0/).