Comparative Study on Chemical Kinetics Mechanisms for Methane-Based Fuel Mixtures under Engine-Relevant Conditions
Abstract
1. Introduction
2. Kinetic Modeling Approach
3. Results and Discussion
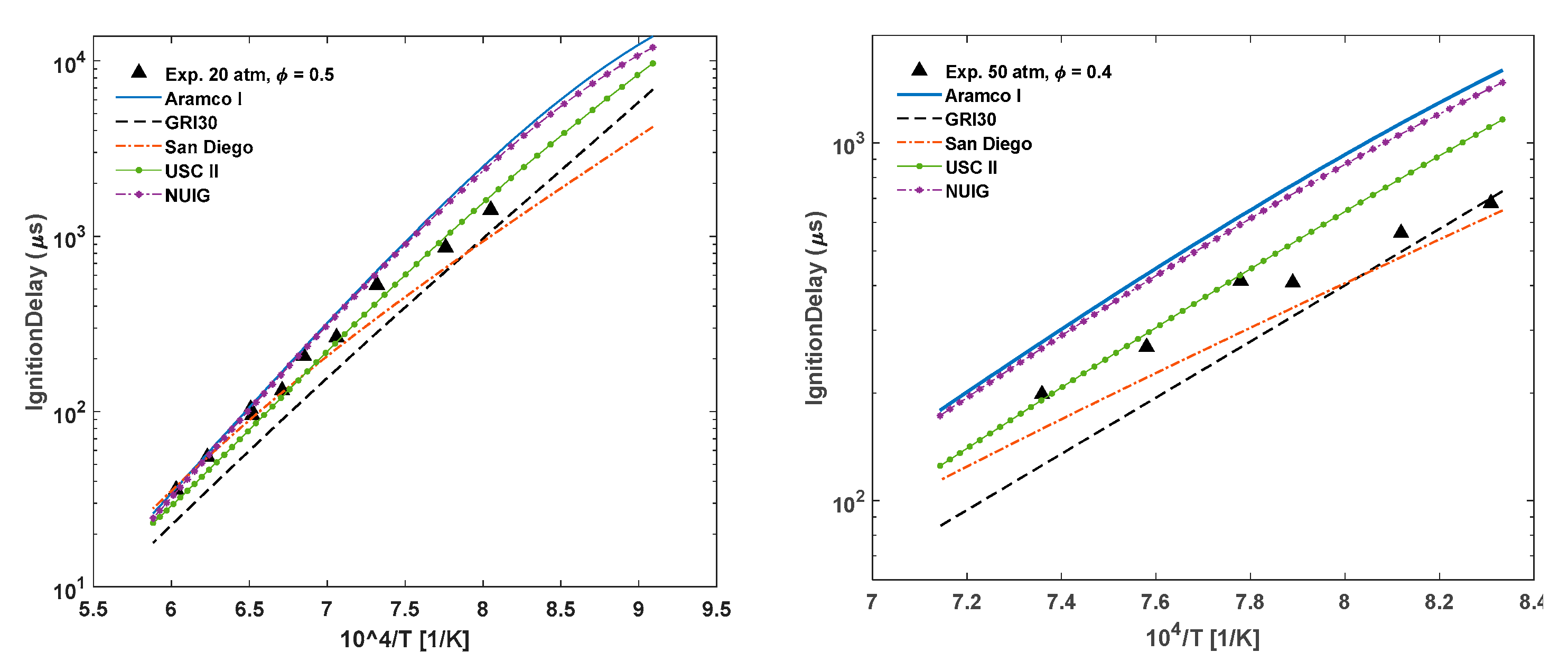
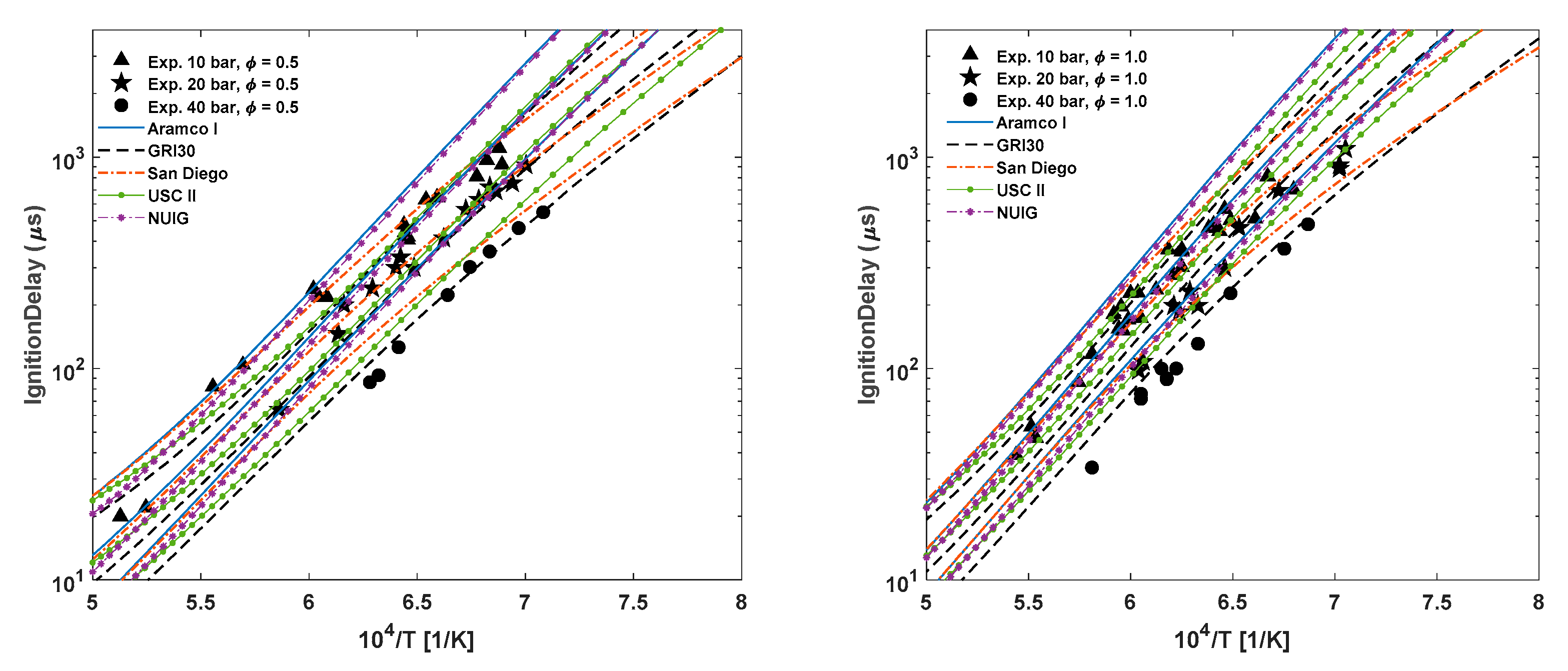
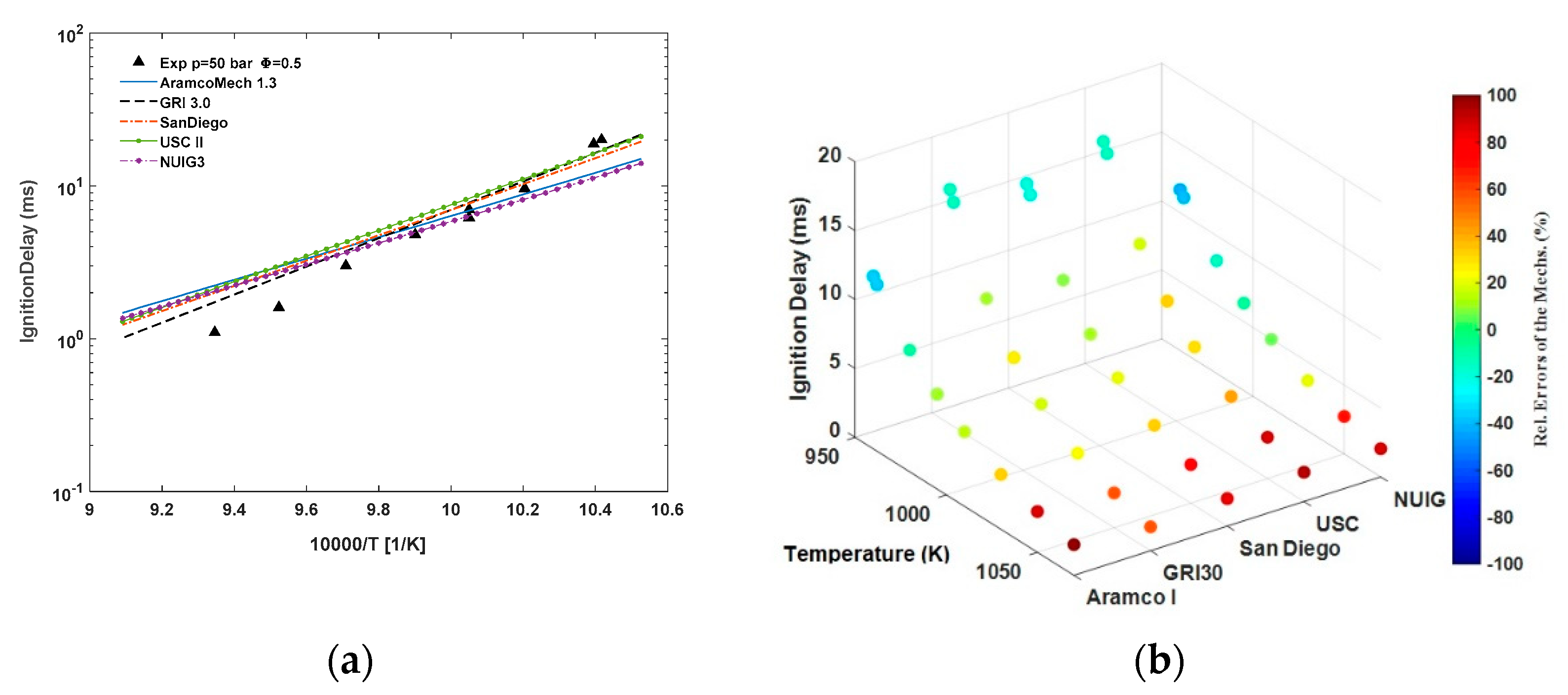
3.1. Methane
| Mixture | p (atm) | T (K) | Reference | |
|---|---|---|---|---|
| Ignition delay time | ||||
| 100%CH4 | 0.5 | ~20 | 1250–1650 | [39] |
| 100%CH4 | 0.5/1.0 | ~10 to 40 | 1400–2000 | [38] |
| 100%CH4 | 0.4 | ~50 | 1200–1350 | [37] |
| 50%CH430%H220%CO | 0.5 | ~50 | 950–1100 | [40] |
| 90%CH410%C3H8 | 0.5 | ~10 to 30 | 1200–1500 | [41] |
| Laminar flame speed | ||||
| 100%CH4 | 0.6–1.4 | ~2 to 60 | 298 | [42] |
| 40%CH4 30%H230%CO | 0.8–1.6 | ~1 | 295 | [43] |



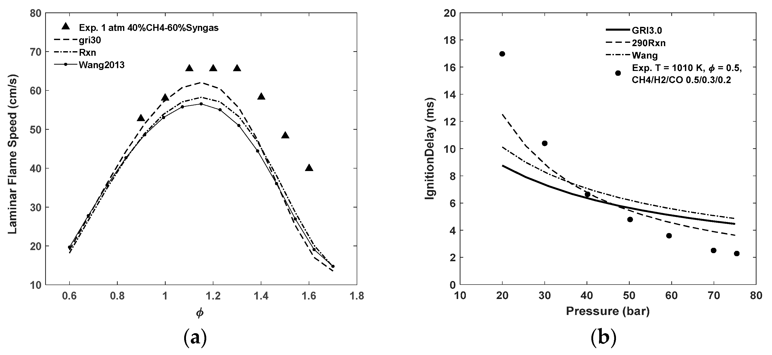
3.2. Methane/Syngas Mixtures
3.3. Methane/Propane Mixtures
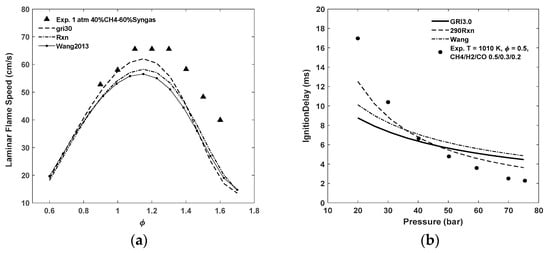
3.4. Effect of Pressure and Equivalence Ratio on Methane/Syngas Ignition Delay Times and Laminar Flame Speeds
3.5. Ignition Delay Times and Laminar Flame Speeds of Methane/Syngas Mixtures with Reduced Mechanisms
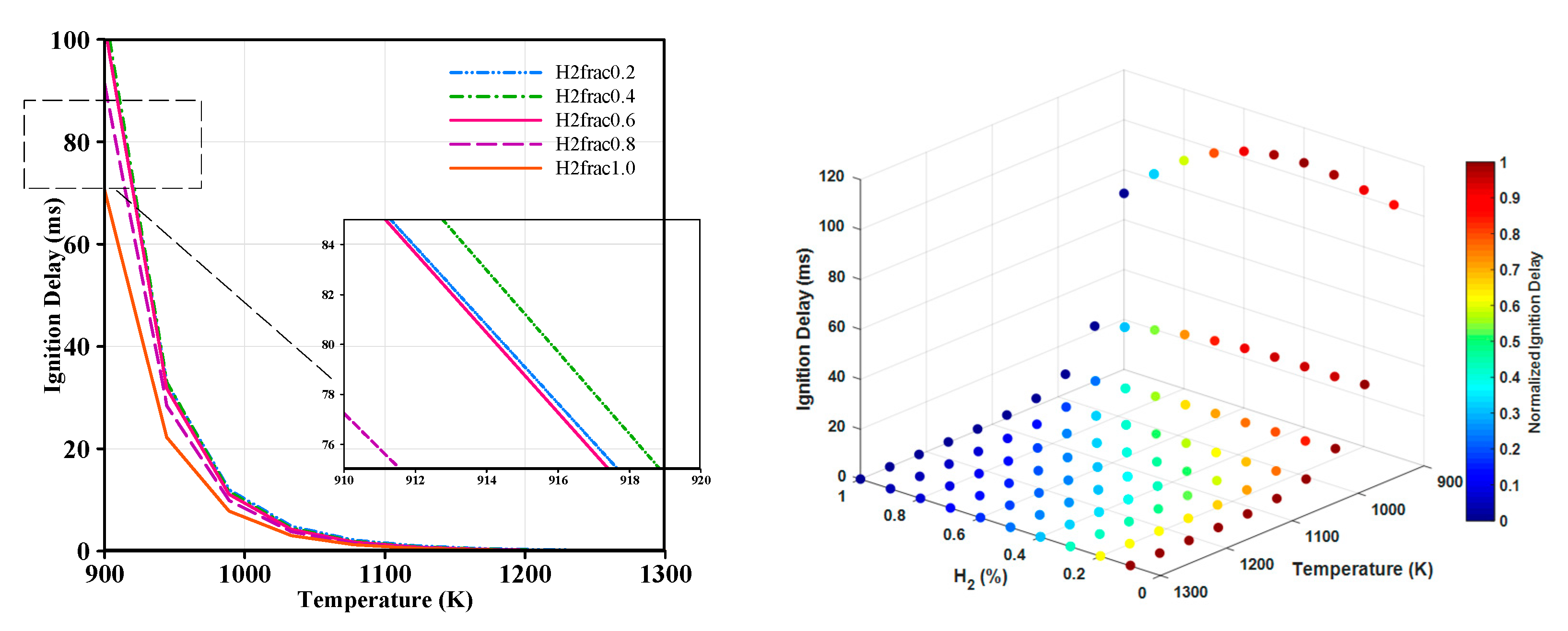
3.6. Effect of Hydrogen Addition on Methane’s Ignition Delay Times and Laminar Flame Speeds
3.7. NOx and CO Emissions for Methane/Hydrogen and Methane/Syngas Cases
4. Conclusions
Funding
Institutional Review Board Statement
Informed Consent Statement
Data Availability Statement
Conflicts of Interest
References
- Korakianitis, T.; Namasivayam, A.; Crookes, R. Natural-gas fueled spark-ignition (SI) and compression-ignition (CI) engine performance and emissions. Prog. Energy Combust. Sci. 2011, 37, 89–112. [Google Scholar] [CrossRef]
- Kakaee, A.-H.; Paykani, A.; Ghajar, M. The influence of fuel composition on the combustion and emission characteristics of natural gas fueled engines. Renew. Sustain. Energy Rev. 2014, 38, 64–78. [Google Scholar] [CrossRef]
- Wang, X.; Khameneian, A.; Dice, P.; Chen, B.; Shahbakhti, M.; Naber, J.D.; Archer, C.; Qu, Q.; Glugla, C.; Huberts, G. Model-based combustion duration and ignition timing prediction for combustion phasing control of a spark-ignition engine using in-cylinder pressure sensors. In Proceedings of the International Design Engineering Technical Conferences and Computers and Information in Engineering Conference, Anaheim, CA, USA, 18–21 August 2019; American Society of Mechanical Engineers: New York, NY, USA, 2019; p. V009T12A033. [Google Scholar]
- Kakaee, A.-H.; Paykani, A. Research and development of natural-gas fueled engines in Iran. Renew. Sustain. Energy Rev. 2013, 26, 805–821. [Google Scholar] [CrossRef]
- Das, A.; Watson, H. Development of a natural gas spark ignition engine for optimum performance. Proc. Inst. Mech. Eng. Part D J. Automob. Eng. 1997, 211, 361–378. [Google Scholar] [CrossRef]
- Rousseau, S.; Lemoult, B.; Tazerout, M. Combustion characterization of natural gas in a lean burn spark-ignition engine. Proc. Inst. Mech. Eng. Part D J. Automob. Eng. 1999, 213, 481–489. [Google Scholar] [CrossRef]
- Wang, X.; Khameneian, A.; Dice, P.; Chen, B.; Shahbakhti, M.; Naber, J.D.; Archer, C.; Qu, Q.; Glugla, C.; Huberts, G. Control-oriented model-based burn duration and ignition timing prediction with recursive-least-square adaptation for closed-loop combustion phasing control of a spark ignition engine. In Proceedings of the ASME 2019 Dynamic Systems and Control Conference, Park City, UT, USA, 8–11 October 2019. [Google Scholar]
- Khameneian, A.; Wang, X.; Dice, P.; Shahbakhti, M.; Naber, J.D.; Archer, C.; Moilanen, P.; Glugla, C.; Huberts, G. Model-Based Dynamic In-Cylinder Air Charge, Residual Gas and Temperature Estimation for a GDI Spark Ignition Engine Using Cylinder, Intake and Exhaust Pressures. In Proceedings of the Dynamic Systems and Control Conference, Online. 5–7 October 2020; American Society of Mechanical Engineers: New York, NY, USA, 2020; p. V002T26A002. [Google Scholar]
- Ma, F.; Wang, Y. Study on the extension of lean operation limit through hydrogen enrichment in a natural gas spark-ignition engine. Int. J. Hydrog. Energy 2008, 33, 1416–1424. [Google Scholar] [CrossRef]
- Kousheshi, N.; Yari, M.; Paykani, A.; Saberi Mehr, A.; de la Fuente, G.F. Effect of syngas composition on the combustion and emissions characteristics of a syngas/diesel RCCI engine. Energies 2020, 13, 212. [Google Scholar] [CrossRef]
- Akansu, S.O.; Dulger, Z.; Kahraman, N.; Veziroǧlu, T.N. Internal combustion engines fueled by natural gas—Hydrogen mixtures. Int. J. Hydrog. Energy 2004, 29, 1527–1539. [Google Scholar] [CrossRef]
- Rahnama, P.; Paykani, A.; Reitz, R.D. A numerical study of the effects of using hydrogen, reformer gas and nitrogen on combustion, emissions and load limits of a heavy duty natural gas/diesel RCCI engine. Appl. Energy 2017, 193, 182–198. [Google Scholar] [CrossRef]
- Rahnama, P.; Paykani, A.; Bordbar, V.; Reitz, R.D. A numerical study of the effects of reformer gas composition on the combustion and emission characteristics of a natural gas/diesel RCCI engine enriched with reformer gas. Fuel 2017, 209, 742–753. [Google Scholar] [CrossRef]
- Karim, G.; Wierzba, I. Comparative studies of methane and propane as fuels for spark ignition and compression ignition engines. SAE Trans. 1983, 92, 676–688. [Google Scholar]
- Merchant, S.S.; Goldsmith, C.F.; Vandeputte, A.G.; Burke, M.P.; Klippenstein, S.J.; Green, W.H. Understanding low-temperature first-stage ignition delay: Propane. Combust. Flame 2015, 162, 3658–3673. [Google Scholar] [CrossRef]
- Schuh, S.; Ramalingam, A.K.; Minwegen, H.; Heufer, K.A.; Winter, F. Experimental Investigation and Benchmark Study of Oxidation of Methane–Propane–n-Heptane Mixtures at Pressures up to 100 bar. Energies 2019, 12, 3410. [Google Scholar] [CrossRef]
- Hagos, F.Y.; Aziz, A.R.A.; Sulaiman, S.A. Methane enrichment of syngas (H2/CO) in a spark-ignition direct-injection engine: Combustion, performance and emissions comparison with syngas and compressed natural gas. Energy 2015, 90, 2006–2015. [Google Scholar] [CrossRef]
- Zabetakis, M.G. Flammability Characteristics of Combustible Gases and Vapors; Bureau of Mines: Washington, DC, USA, 1965. [Google Scholar]
- Spadaccini, L.; Colket, M., III. Ignition delay characteristics of methane fuels. Prog. Energy Combust. Sci. 1994, 20, 431–460. [Google Scholar] [CrossRef]
- Gersen, S.; Anikin, N.; Mokhov, A.; Levinsky, H. Ignition properties of methane/hydrogen mixtures in a rapid compression machine. Int. J. Hydrog. Energy 2008, 33, 1957–1964. [Google Scholar] [CrossRef]
- Halter, F.; Chauveau, C.; Djebaïli-Chaumeix, N.; Gökalp, I. Characterization of the effects of pressure and hydrogen concentration on laminar burning velocities of methane–hydrogen–air mixtures. Proc. Combust. Inst. 2005, 30, 201–208. [Google Scholar] [CrossRef]
- Hu, E.; Huang, Z.; He, J.; Jin, C.; Zheng, J. Experimental and numerical study on laminar burning characteristics of premixed methane–hydrogen–air flames. Int. J. Hydrog. Energy 2009, 34, 4876–4888. [Google Scholar] [CrossRef]
- Hu, E.; Li, X.; Meng, X.; Chen, Y.; Cheng, Y.; Xie, Y.; Huang, Z. Laminar flame speeds and ignition delay times of methane–air mixtures at elevated temperatures and pressures. Fuel 2015, 158, 1–10. [Google Scholar] [CrossRef]
- Lee, H.C.; Mohamad, A.A.; Jiang, L.-Y. Comprehensive comparison of chemical kinetics mechanisms for syngas/biogas mixtures. Energy Fuels 2015, 29, 6126–6145. [Google Scholar] [CrossRef]
- Fischer, M.; Jiang, X. A chemical kinetic modelling study of the combustion of CH4–CO–H2–CO2 fuel mixtures. Combust. Flame 2016, 167, 274–293. [Google Scholar] [CrossRef]
- Goodwin, D.G.; Moffat, H.K.; Speth, R.L. Cantera: An Object-Oriented Software Toolkit for Chemical Kinetics, Thermodynamics, and Transport Processes, Version 2.2.1. 2016. Available online: https://www.cantera.org (accessed on 18 May 2019).
- Healy, D.; Curran, H.; Simmie, J.; Kalitan, D.; Zinner, C.; Barrett, A.; Petersen, E.; Bourque, G. Methane/ethane/propane mixture oxidation at high pressures and at high, intermediate and low temperatures. Combust. Flame 2008, 155, 441–448. [Google Scholar] [CrossRef]
- Healy, D.; Kalitan, D.; Aul, C.; Petersen, E.; Bourque, G.; Curran, H. Oxidation of C1–C5 alkane quinternary natural gas mixtures at high pressures. Energy Fuels 2010, 24, 1521–1528. [Google Scholar] [CrossRef]
- Metcalfe, W.K.; Burke, S.M.; Ahmed, S.S.; Curran, H.J. A hierarchical and comparative kinetic modeling study of C1–C2 hydrocarbon and oxygenated fuels. Int. J. Chem. Kinet. 2013, 45, 638–675. [Google Scholar] [CrossRef]
- Wang, H.; You, X.; Joshi, A.; Davis, S.; Laskin, A.; Egolfopoulos, F.; Law, C.K. USC Mech Version II. High-Temperature Combustion Reaction Model of H2/CO/C1–C4 Compounds. May 2007. Available online: http://ignis.usc.edu/USC_Mech_II.htm (accessed on 18 May 2019).
- Lee, H.; Mohamad, A.; Jiang, L. A detailed chemical kinetics for the combustion of H2/CO/CH4/CO2 fuel mixtures. Fuel 2017, 193, 294–307. [Google Scholar] [CrossRef]
- Williams, F. Chemical-Kinetic Mechanisms for Combustion Applications. Center for Energy Research, UCSD. 2003. Available online: http://maeweb.ucsd.edu/~combustion/cermech (accessed on 18 May 2019).
- Wang, Q.-D. Skeletal mechanism generation for high-temperature combustion of H2/CO/C1–C4 hydrocarbons. Energy Fuels 2013, 27, 4021–4030. [Google Scholar] [CrossRef]
- Smith, G.P.; Golden, D.M.; Frenklach, M.; Moriarty, N.W.; Eiteneer, B.; Goldenberg, M.; Bowman, C.T.; Hanson, R.K.; Song, S.; Gardiner, W.C., Jr. GRI 3.0 Mechanism. Gas Research Institute. 1999. Available online: http://www.me.berkeley.edu/gri_mech (accessed on 18 May 2019).
- Leschevich, V.; Martynenko, V.; Penyazkov, O.; Sevrouk, K.; Shabunya, S. Auto-ignitions of a methane/air mixture at high and intermediate temperatures. Shock Waves 2016, 26, 657–672. [Google Scholar] [CrossRef]
- Hashemi, H.; Christensen, J.M.; Gersen, S.; Levinsky, H.; Klippenstein, S.J.; Glarborg, P. High-pressure oxidation of methane. Combust. Flame 2016, 172, 349–364. [Google Scholar] [CrossRef]
- Petersen, E.; Davidson, D. Ignition delay times of ram accelerator mixtures. In Proceedings of the 32nd Joint Propulsion Conference and Exhibit, Lake Buena Vista, FL, USA, 1–3 July 1996; p. 2681. [Google Scholar]
- El Merhubi, H.; Kéromnès, A.; Catalano, G.; Lefort, B.; Le Moyne, L. A high pressure experimental and numerical study of methane ignition. Fuel 2016, 177, 164–172. [Google Scholar] [CrossRef]
- Petersen, E.L.; Hall, J.M.; Smith, S.D.; de Vries, J.; Amadio, A.R.; Crofton, M.W. Ignition of lean methane-based fuel blends at gas turbine pressures. J. Eng. Gas Turbines Power 2007, 129, 937–944. [Google Scholar] [CrossRef]
- Gersen, S.; Darmeveil, H.; Levinsky, H. The effects of CO addition on the autoignition of H2, CH4 and CH4/H2 fuels at high pressure in an RCM. Combust. Flame 2012, 159, 3472–3475. [Google Scholar] [CrossRef]
- Petersen, E.L.; Kalitan, D.M.; Simmons, S.; Bourque, G.; Curran, H.J.; Simmie, J.M. Methane/propane oxidation at high pressures: Experimental and detailed chemical kinetic modeling. Proc. Combust. Inst. 2007, 31, 447–454. [Google Scholar] [CrossRef]
- Rozenchan, G.; Zhu, D.; Law, C.; Tse, S. Outward propagation, burning velocities, and chemical effects of methane flames up to 60 atm. Proc. Combust. Inst. 2002, 29, 1461–1470. [Google Scholar] [CrossRef]
- Lapalme, D.; Seers, P. Influence of CO2, CH4, and initial temperature on H2/CO laminar flame speed. Int. J. Hydrog. Energy 2014, 39, 3477–3486. [Google Scholar] [CrossRef]
- De Vries, J.; Petersen, E. Autoignition of methane-based fuel blends under gas turbine conditions. Proc. Combust. Inst. 2007, 31, 3163–3171. [Google Scholar] [CrossRef]
- Goswami, M.; Derks, S.C.; Coumans, K.; Slikker, W.J.; de Andrade Oliveira, M.H.; Bastiaans, R.J.; Luijten, C.C.; de Goey, L.P.H.; Konnov, A.A. The effect of elevated pressures on the laminar burning velocity of methane+ air mixtures. Combust. Flame 2013, 160, 1627–1635. [Google Scholar] [CrossRef]
- Herzler, J.; Naumann, C. Shock-tube study of the ignition of methane/ethane/hydrogen mixtures with hydrogen contents from 0% to 100% at different pressures. Proc. Combust. Inst. 2009, 32, 213–220. [Google Scholar] [CrossRef]
- Paykani, A.; Frouzakis, C.E.; Boulouchos, K. Numerical optimization of methane-based fuel blends under engine-relevant conditions using a multi-objective genetic algorithm. Appl. Energy 2019, 242, 1712–1724. [Google Scholar] [CrossRef]
- Paykani, A.; Frouzakis, C.E.; Boulouchos, K. Optimization of composition of methane/syngas mixtures at en-gine-relevant conditions: A NSGA-II coupled TOPSIS approach. In Proceedings of the 3rd General Meeting and Workshop on SECs in Industry of SMARTCATs Action, Prague, Czech Republic, 25–27 October 2017; European Cooperation in Science and Technology (COST): Brussels, Belgium, 2017; p. 5. [Google Scholar]
- Kakaee, A.-H.; Jafari, P.; Paykani, A. Numerical Study of Natural Gas/Diesel Reactivity Controlled Compression Ignition Combustion with Large Eddy Simulation and Reynolds-Averaged Navier–Stokes Model. Fluids 2018, 3, 24. [Google Scholar] [CrossRef]
- Zhang, Y.; Huang, Z.; Wei, L.; Zhang, J.; Law, C.K. Experimental and modeling study on ignition delays of lean mixtures of methane, hydrogen, oxygen, and argon at elevated pressures. Combust. Flame 2012, 159, 918–931. [Google Scholar] [CrossRef]
- Gersen, S.; van Essen, M.; van Dijk, G.; Levinsky, H. Physicochemical effects of varying fuel composition on knock characteristics of natural gas mixtures. Combust. Flame 2014, 161, 2729–2737. [Google Scholar] [CrossRef]
- Wang, J.; Huang, Z.; Tang, C.; Miao, H.; Wang, X. Numerical study of the effect of hydrogen addition on methane–air mixtures combustion. Int. J. Hydrog. Energy 2009, 34, 1084–1096. [Google Scholar] [CrossRef]












| Properties | Unit | CH4 | C3H8 | H2 | CO |
|---|---|---|---|---|---|
| Molecular weight | (g/mol) | 16.04 | 44.1 | 15.0 | 28.01 |
| Density at 0 °C and 1 atm | (kg/m3) | 0.72 | 1.88 | 0.09 | 1.25 |
| Specific gravity at 0 °C and 1 atm | - | 0.55 | 1.52 | 0.06 | 0.96 |
| Stoichiometric air–fuel ratio | mass basis | 17.2 | 15.5 | 34.1 | 0.57 |
| Wobbe number | (MJ/Nm3) | 45 | 67.8 | 44.2 | 12.4 |
| Flammability limit, % volume of fuel in air | volume of air | 5–15 | 2.1–9.5 | 4–75 | 12–75 |
| Laminar flame speed at 1 atm and 300 K, Φ = 1 | (cm/s) | 30 | 38 | 180 | 35 |
| Adiabatic flame temperature | (°C) | 1963 | 1980 | 2210 | 2121 |
| Auto-ignition temperature | (°C) | 585 | 455 | 560 | 610 |
Publisher’s Note: MDPI stays neutral with regard to jurisdictional claims in published maps and institutional affiliations. |
© 2021 by the author. Licensee MDPI, Basel, Switzerland. This article is an open access article distributed under the terms and conditions of the Creative Commons Attribution (CC BY) license (https://creativecommons.org/licenses/by/4.0/).
Share and Cite
Paykani, A. Comparative Study on Chemical Kinetics Mechanisms for Methane-Based Fuel Mixtures under Engine-Relevant Conditions. Energies 2021, 14, 2834. https://doi.org/10.3390/en14102834
Paykani A. Comparative Study on Chemical Kinetics Mechanisms for Methane-Based Fuel Mixtures under Engine-Relevant Conditions. Energies. 2021; 14(10):2834. https://doi.org/10.3390/en14102834
Chicago/Turabian StylePaykani, Amin. 2021. "Comparative Study on Chemical Kinetics Mechanisms for Methane-Based Fuel Mixtures under Engine-Relevant Conditions" Energies 14, no. 10: 2834. https://doi.org/10.3390/en14102834
APA StylePaykani, A. (2021). Comparative Study on Chemical Kinetics Mechanisms for Methane-Based Fuel Mixtures under Engine-Relevant Conditions. Energies, 14(10), 2834. https://doi.org/10.3390/en14102834

