Sensitivity Analysis of Steel-Plate Concrete Containment against a Large Commercial Aircraft
Abstract
1. Introduction
2. Numerical Analysis Method and Models
2.1. Impact Force Time-History Function
2.2. Finite Element Model
2.3. Numerical Material Models
2.3.1. Concrete Constitutive Model
2.3.2. Steel Constitutive Model
2.3.3. Validation of Material Models
2.3.4. Material Properties of SC Containment
3. Results and Discussion
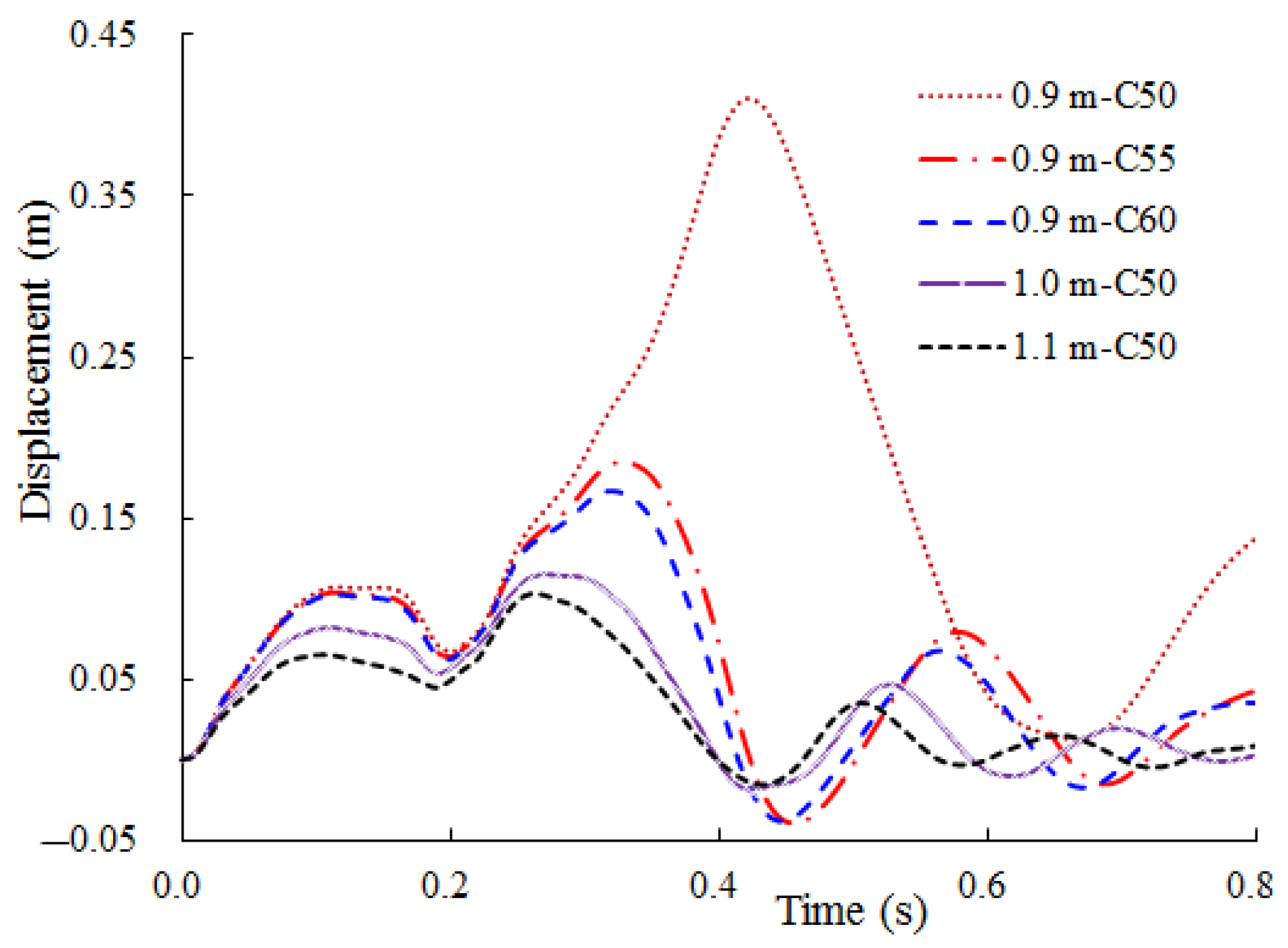
3.1. Comparison Analysis of Different Types of SC Containment
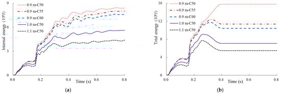
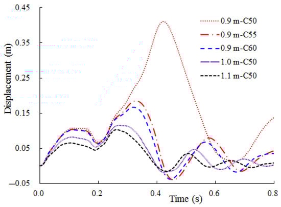
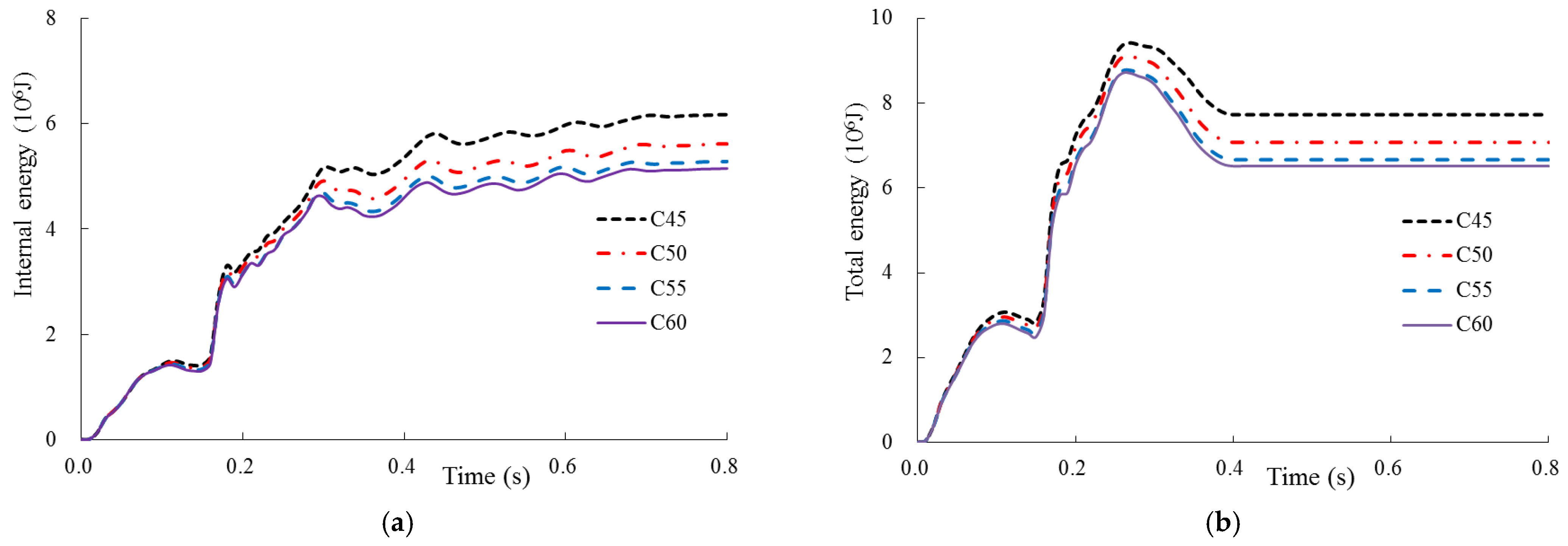
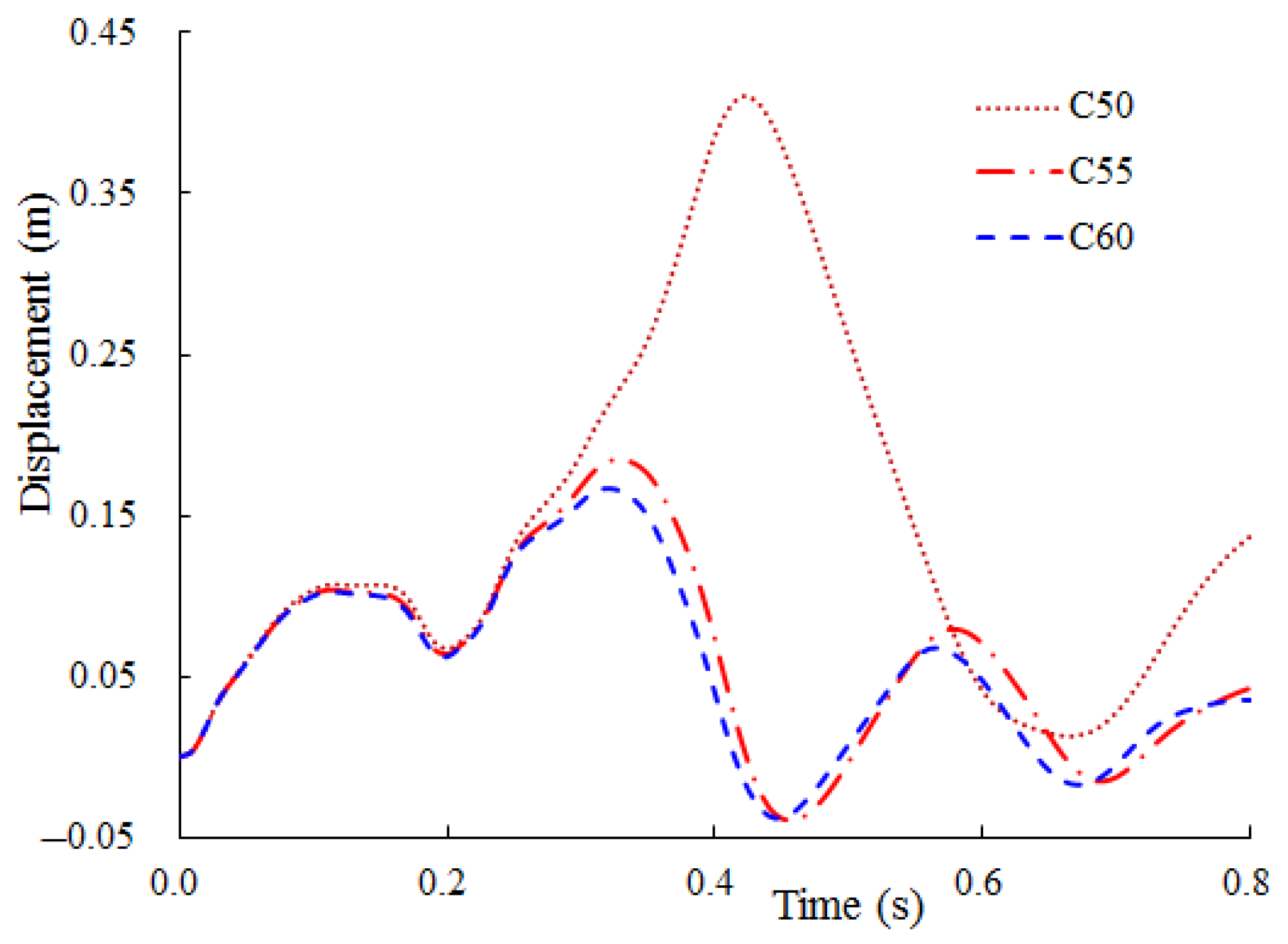
3.2. Sensitivity Analysis of Different Concrete Strength Grades
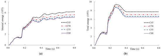
3.2.1. Full SC Containment with Thickness of 0.9 m
3.2.2. Full SC Containment with Thickness of 1.0 m
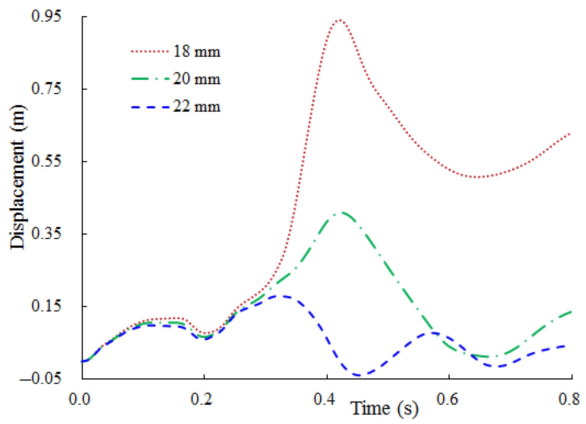
3.3. Sensitivity Analysis of Different Thickness of Steel Plate
3.3.1. Full SC Containment with Thickness of 0.9 m
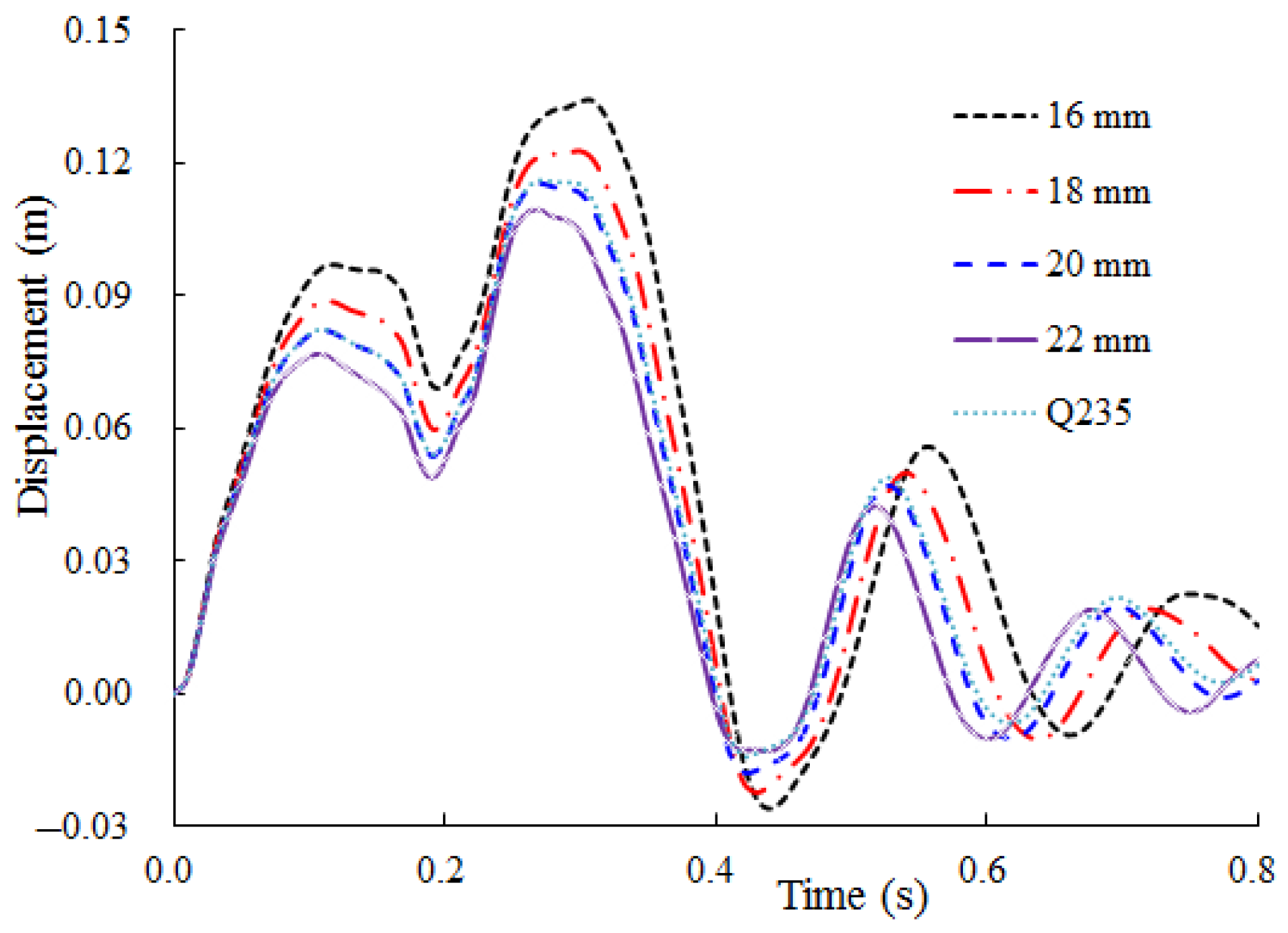
3.3.2. Full SC Containment with Thickness of 1.0 m
3.4. Sensitivity Analysis of Different Thickness of Concrete
3.4.1. Full SC Containment with Thickness of 0.8 m
3.4.2. Full SC Containment with Thickness of 0.9–1.1 m
4. Conclusions
- (1)
- The impact resistant performance of full SC containment is better than that of half SC containment. For half SC containment, the steel plate located at outer face of containment is better than that at inner face.
- (2)
- For relatively thin full SC containment, it is more effective in reducing the impact response and concrete damage by the enhancing of concrete strength grade or the increasing of steel plate thickness comparing to thicker full SC containment. The impact response of displacement and plastic strain both decrease sharply with the enhancing of concrete strength grade. The steel plate thickness plays an important role in the capacity of this containment to withstand impact load, the peak displacement is approximately reduced by 55% and 80%, when the steel plate thickness is increased from 18 to 20 and 22 mm, respectively.
- (3)
- For the thicker full SC containment, it is clear that there is not much advantage to enhance the concrete strength grade and increase the steel plate thickness for decreasing the impact displacement response. For example, the reduction ratio of peak displacement is only 6.6%, when the concrete strength grade is improved from C45 to C60, and the reduction ratio corresponding to the steel plate thickness increased from 16 to 22 mm is only 18.3%. Of course, the increasing of steel plate thickness can effectively reduce its plastic strain, and the decreasing of strength grade of steel plate may obviously increase its plastic strain.
- (4)
- The structural impact response (i.e., displacement, plastic strain and local concrete damage) of full SC containment can be reduced significantly by the increasing of concrete thickness. Concrete thickness plays a decisive role on the improvement of impact resistance and is more effective than the enhancing of concrete strength grade. Specially, full SC containment with thickness of 0.8 m cannot resist the impact load, and the reduction ratio of peak displacement reaches 71.9%, when concrete thickness is increased from 0.9 to 1.0 m.
Author Contributions
Funding
Institutional Review Board Statement
Informed Consent Statement
Data Availability Statement
Conflicts of Interest
References
- 10CFR50.150. Aircraft Impact Assessment; Nuclear Regulatory Commission: Washington, DC, USA, 2009.
- NEI07-13. Methodology for Performing Aircraft Impact Assessments for New Plant Designs; Rev 8P; Prepared by ERIN Engineering & Research; Nuclear Energy Institute: Walnut Creek, CA, USA, 2011. [Google Scholar]
- HAF102. Design Safety Regulations for Nuclear Power Plants; National Nuclear Safety Administration: Beijing, China, 2016.
- Riera, J.D. On the stress analysis of structures subjected to aircraft impact forces. Nucl. Eng. Des. 1968, 8, 415–426. [Google Scholar] [CrossRef]
- Abbas, H.; Paul, D.K.; Godbole, P.N.; Nayak, G.C. Reaction-time response of aircraft crash. Comput. Struct. 1995, 55, 809–817. [Google Scholar] [CrossRef]
- Arros, J.; Doumbalski, N. Analysis of aircraft impact to concrete structures. Nucl. Eng. Des. 2007, 237, 1241–1249. [Google Scholar] [CrossRef]
- Sugano, T.; Tsubota, H.; Kasai, Y.; Koshika, N.; Orui, S.; von Riesemann, W.A.; Bickel, D.; Parks, M. Full-scale aircraft impact test for evaluation of impact force. Nucl. Eng. Des. 1993, 140, 373–385. [Google Scholar] [CrossRef]
- Tennant, D.; Mould, J.; Vaughan, D.; Levine, H. Rapid evaluation of buildings and infrastructure to accidental and deliberate aircraft impact. Nucl. Eng. Des. 2014, 269, 142–148. [Google Scholar] [CrossRef]
- Zhang, T.; Wu, H.; Fang, Q.; Gong, Z.M. Influences of nuclear containment radius on the aircraft impact force based on the Riera function. Nucl. Eng. Des. 2015, 293, 196–204. [Google Scholar] [CrossRef]
- Jiang, H.; Chorzepa, M.G. Aircraft impact analysis of nuclear safety-related concrete structures: A review. Eng. Fail. Anal. 2014, 46, 118–133. [Google Scholar] [CrossRef]
- Lee, K.; Han, S.E.; Hong, J.-W. Analysis of impact of large commercial aircraft on a prestressed containment building. Nucl. Eng. Des. 2013, 265, 431–449. [Google Scholar] [CrossRef]
- Frano, R.L.; Forasassi, G. Preliminary evaluation of aircraft impact on a near term nuclear power plant. Nucl. Eng. Des. 2011, 241, 5245–5250. [Google Scholar] [CrossRef]
- Thai, D.K.; Kim, S.E. Safety assessment of a nuclear power plant building subjected to an aircraft crash. Nucl. Eng. Des. 2015, 293, 38–52. [Google Scholar] [CrossRef]
- Shin, S.S.; Hahm, D.; Park, T. Shock vibration and damage responses of primary auxiliary buildings from aircraft impact. Nucl. Eng. Des. 2016, 310, 57–68. [Google Scholar] [CrossRef]
- Mullapudi, T.; Summers, P.; Moon, I.-H. Impact Analysis of Steel Plated Concrete Wall. Struct. Congr. 2012, 2012, 1881–1893. [Google Scholar] [CrossRef]
- Liu, J.; Han, P. Numerical analysis of a shield building subjected to a large commercial aircraft impact. Shock Vib. 2018, 2018, 7854969. [Google Scholar]
- Sadiq, M.; Khaliq, W.; Ilyas, M.; Khushnood, R.A.; Khan, S.A.; Rong, P. Analysis of full-scale aircraft impact to reinforced concrete and steel plate reinforced concrete multiple barriers protecting nuclear power plants. Structures 2020, 27, 732–746. [Google Scholar] [CrossRef]
- Sadiq, M.; Yun, Z.X.; Rong, P. Simulation analysis of impact tests of steel plate reinforced concrete and reinforced concrete slabs against aircraft impact and its validation with experimental results. Nucl. Eng. Des. 2014, 273, 653–667. [Google Scholar] [CrossRef]
- Tsubota, H.; Koshika, N.; Mizuno, J.; Sanai, M.; Peterson, B.; Saito, H.; Imamura, A. Scale model tests of multiple barriers against aircraft impact: Part 1. Experimental program and test results. In Proceedings of the Transactions of the 15th International Conference on Structural Mechanics in Reactor Technology (SMiRT-15), Seoul, Korea, 15–20 August 1999. [Google Scholar]
- Mizuno, J.; Koshika, N.; Morikawa, H.; Fukuda, R.; Wakimoto, K. Investigations on impact resistance of steel plate reinforced concrete barriers against aircraft impact Part 1: Test program and results. In Proceedings of the Transactions of the 18th International Conference on Structural Mechanics in Reactor Technology, Beijing, China, 7–12 August 2005; pp. 2566–2579. [Google Scholar]
- Westinghouse Electric Corporation. AP1000 Design Control Document; Rev.19; Westinghouse Electric Corporation: Cranberry Township, PA, USA, 2011. [Google Scholar]
- Huang, T.; Zhang, T.; Dong, Z.; Wu, H.; Fang, H. An analysis of the dynamic response of nuclear containment under the impact of a large commercial aircraft. J. Vib. Shock 2018, 37, 8–14. [Google Scholar]
- Ls-Dyna LSTC. LS-DYNA Keyword User’s Manual; Livermore Software Technology Corporation (LSTC): Livermore, CA, USA, 2010. [Google Scholar]
- Ottosen, N.S. Failure and Elasticity of Concrete. Danish Atomic Energy Commission; RISOE: Roskilde, Denmark, 1975; ISBN 8755003540. [Google Scholar]



























| Model | Solid Elements | Shell Elements | Beam Elements | Nodes |
|---|---|---|---|---|
| I | 102,018 | 48,720 | / | 129,182 |
| II | 102,018 | 24,840 | 114,533 | 337,470 |
| III | 102,018 | 23,880 | 115,905 | 340,214 |
| Strength Grade | Density (kg/m3) | Young’s Modulus (GPa) | Poisson’s Ratio | Compressive Strength (MPa) | Tensile Strength (MPa) | Aggregate Radius (mm) |
|---|---|---|---|---|---|---|
| C45 | 2400 | 34 | 0.2 | 42.6 | 3.6 | 15 |
| C50 | 2400 | 35 | 0.2 | 46.7 | 3.8 | 15 |
| C55 | 2400 | 36 | 0.2 | 51.0 | 4.0 | 15 |
| C60 | 2400 | 36.5 | 0.2 | 55.0 | 4.1 | 15 |
| Strength Grade | Density (kg/m3) | Young’s Modulus (GPa) | Poisson’s Ratio | Yield Strength (MPa) |
|---|---|---|---|---|
| HRB400 | 7800 | 206 | 0.3 | 440 |
| Q235 | 7800 | 206 | 0.3 | 300 |
| Q335 | 7800 | 206 | 0.3 | 430 |
| Type | Displacement (cm) | Plastic Strain | Internal Energy (J) | Total Energy (J) |
|---|---|---|---|---|
| 0.9 m-C50 | 41.03 | 4.71 × 10−3 | 8.40 × 106 | 15.80 × 106 |
| 1.0 m-C50 | 11.52 | 9.27 × 10−4 | 5.62 × 106 | 9.11 × 106 |
| 1.1 m-C50 | 10.31 | 6.25 × 10−4 | 4.40 × 106 | 7.72 × 106 |
| 0.9 m-C55 | 18.49 | 1.16 × 10−3 | 8.02 × 106 | 12.39 × 106 |
| 0.9 m-C60 | 16.70 | 1.00 × 10−3 | 7.61 × 106 | 11.77 × 106 |
Publisher’s Note: MDPI stays neutral with regard to jurisdictional claims in published maps and institutional affiliations. |
© 2021 by the authors. Licensee MDPI, Basel, Switzerland. This article is an open access article distributed under the terms and conditions of the Creative Commons Attribution (CC BY) license (https://creativecommons.org/licenses/by/4.0/).
Share and Cite
Zhu, X.; Li, J.; Lin, G.; Pan, R.; Li, L. Sensitivity Analysis of Steel-Plate Concrete Containment against a Large Commercial Aircraft. Energies 2021, 14, 2829. https://doi.org/10.3390/en14102829
Zhu X, Li J, Lin G, Pan R, Li L. Sensitivity Analysis of Steel-Plate Concrete Containment against a Large Commercial Aircraft. Energies. 2021; 14(10):2829. https://doi.org/10.3390/en14102829
Chicago/Turabian StyleZhu, Xiuyun, Jianbo Li, Gao Lin, Rong Pan, and Liang Li. 2021. "Sensitivity Analysis of Steel-Plate Concrete Containment against a Large Commercial Aircraft" Energies 14, no. 10: 2829. https://doi.org/10.3390/en14102829
APA StyleZhu, X., Li, J., Lin, G., Pan, R., & Li, L. (2021). Sensitivity Analysis of Steel-Plate Concrete Containment against a Large Commercial Aircraft. Energies, 14(10), 2829. https://doi.org/10.3390/en14102829
