The Immediate Impacts of COVID-19 on European Electricity Systems: A First Assessment and Lessons Learned
Abstract
:1. Introduction
2. Analyzing the Effects of Pandemic on Electricity Systems
2.1. Direct Impact on Demand
- Maximum (ADLPmax), minimum (ADLPmin) and mean (ADLPave).
- Peak Value (PV), defined as the maximum value of the ADLP, which could be a Morning Peak (MP), defined as the maximum value of the ADLP between 6 h and 15 h, or an Evening Peak (EP), defined as the maximum value of the ADLP between 18 h and 0 h.
- Peak Time (PT), defined as the hour at which the PV occurs.
- Peak difference (ΔP), defined as the difference between MP and EP.
- Morning ramp (MR), defined as:where MB is the Morning Base, i.e., the minimum value of the ADLP between 0 h and the time at which the MP occurs.
- Evening ramp (ER), defined as:where EB is the Evening Base, i.e., the minimum value of the ADLP between 15 h and the time at which the EP occurs.
2.2. Indirect Impact: System Operation
- Electricity generation from RES (TWh) and its share over the total demand;
- Electricity generation from fossil (TWh) sources and its share over the total demand;
- Electricity generation from conventional/non-conventional units (TWh);
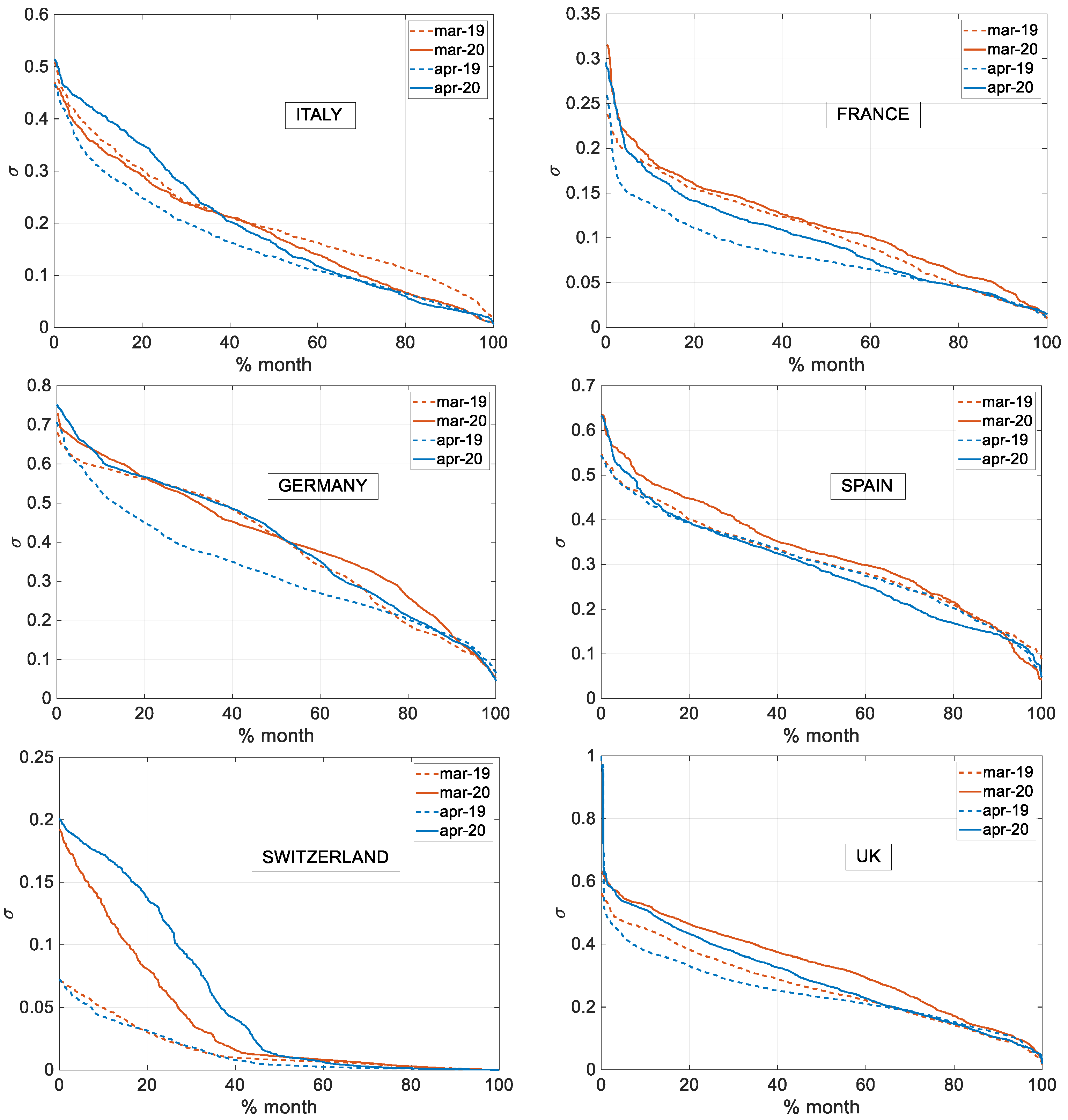
- Non-conventional penetration index , defined as the share of non-conventional generation compared to the total generation (sum of conventional and non-conventional).
2.3. Indirect Impact: Electricity Markets
- the variation of the load weighted weekly moving average of DAM prices in each bidding zone [€/MWh] in the year of pandemic with the previous year in percentage as:
- The minimum DAM price [€/MWh], defined as the minimum price reached in the DAM in the selected timeframe.
- The number of hours with negative prices (where they are allowed) .
- The DAM volumes in [GWh], defined as the total load for all the bidding zones for the year 2020 w.r.t the previous years.
- Time series decomposition of zonal time series of prices. The goal is to capture the different components of the average DAM price time series; each series is processed using a simple decomposition method for showing three components: the trend (weekly moving average), the seasonal component repeating weekly, and the random component. Adding the three components up, the time series of DAM prices in each zone is obtained.
3. Pan-European Impacts of Pandemics
3.1. Power Profiles and Demand under Pandemic
3.2. Operational Issues
3.3. Electricity Market
4. Conclusions
Author Contributions
Funding
Conflicts of Interest
Appendix A
| Country | [TWh] | [TWh] | [%] | [GW] | [GW] | [GW] | [pu] | ||||
|---|---|---|---|---|---|---|---|---|---|---|---|
| ‘19 | ‘20 | ‘19 | ‘20 | ‘19 | ‘20 | ‘19 | ‘20 | ||||
| Italy | 22.04 | 17.44 | −20.9% | 42.9 | 32.8 | 17.6 | 15.3 | 30.6 | 24.2 | 0.71 | 0.74 |
| France | 37.67 | 30.56 | −18.9% | 69.2 | 57.4 | 35.7 | 31.1 | 52.3 | 42.4 | 0.76 | 0.74 |
| Spain | 19.57 | 16.27 | −16.9% | 34.6 | 28.5 | 18.8 | 16.6 | 27.2 | 22.6 | 0.79 | 0.79 |
| Germany | 39.26 | 36.00 | −8.3% | 69.9 | 66.8 | 33.3 | 33.5 | 54.5 | 50.0 | 0.78 | 0.75 |
| Sweden | 10.94 | 10.91 | −0.3% | 20.6 | 19.9 | 11.1 | 11.8 | 15.2 | 15.1 | 0.74 | 0.76 |
| Ireland | 2.40 | 2.16 | −9.9% | 4.4 | 3.9 | 2.3 | 2.2 | 3.3 | 3.0 | 0.76 | 0.77 |
| Switzerland | 4.60 | 4.62 | +0.3% | 8.2 | 8.9 | 4.7 | 4.8 | 6.4 | 6.4 | 0.78 | 0.72 |
| Portugal | 3.98 | 3.51 | −12.0% | 7.3 | 6.8 | 3.5 | 3.2 | 5.5 | 4.9 | 0.76 | 0.71 |
| Austria | 4.88 | 4.36 | −10.7% | 8.5 | 7.8 | 4.5 | 4.2 | 6.8 | 6.1 | 0.79 | 0.78 |
| Belgium | 6.81 | 5.90 | −13.3% | 11.8 | 10.1 | 6.9 | 6.1 | 9.5 | 8.2 | 0.80 | 0.82 |
| Bosnia | 1.00 | 0.85 | −14.9% | 1.8 | 3.2 | 0.8 | 0.8 | 1.4 | 1.2 | 0.75 | 0.37 |
| Croatia | 1.37 | 1.19 | −13.3% | 2.5 | 2.3 | 1.2 | 1.1 | 1.9 | 1.7 | 0.77 | 0.71 |
| Czech Republic | 5.33 | 4.73 | −11.3% | 9.3 | 8.7 | 5.1 | 4.7 | 7.4 | 6.6 | 0.79 | 0.75 |
| Denmark | 2.59 | 2.64 | +1.9% | 4.8 | 4.8 | 2.5 | 2.7 | 3.6 | 3.7 | 0.75 | 0.77 |
| Hungary | 3.42 | 3.07 | −10.3% | 5.8 | 5.4 | 3.2 | 3.0 | 4.7 | 4.3 | 0.82 | 0.78 |
| Luxemburg | 0.31 | 0.26 | −17.4% | 0.8 | 0.5 | 0.1 | 0.2 | 0.4 | 0.4 | 0.56 | 0.70 |
| North Macedonia | 0.52 | 0.48 | −6.4% | 1.0 | 1.2 | 0.3 | 0.1 | 0.7 | 0.7 | 0.72 | 0.57 |
| Montenegro | 0.24 | 0.25 | +4.6% | 0.4 | 0.5 | 0.2 | 0.2 | 0.3 | 0.4 | 0.77 | 0.71 |
| The Netherlands | 8.97 | 7.89 | −12.0% | 15.8 | 14.1 | 9.1 | 7.7 | 12.5 | 11.0 | 0.79 | 0.78 |
| Norway | 10.44 | 10.99 | +5.3% | 19.5 | 18.9 | 10.7 | 12.6 | 14.5 | 15.3 | 0.75 | 0.81 |
| Poland | 13.41 | 12.09 | −9.8% | 23.2 | 20.9 | 11.4 | 10.8 | 18.6 | 16.8 | 0.80 | 0.80 |
| Serbia | 3.07 | 2.97 | −3.3% | 5.4 | 5.6 | 2.6 | 2.6 | 4.3 | 4.1 | 0.79 | 0.74 |
| Slovakia | 2.31 | 2.03 | −12.0% | 3.9 | 3.5 | 2.3 | 2.0 | 3.2 | 2.8 | 0.83 | 0.80 |
| Slovenia | 1.06 | 0.88 | −16.7% | 2.3 | 1.7 | 0.9 | 0.8 | 1.5 | 1.2 | 0.63 | 0.72 |
| Bulgaria | 2.96 | 2.77 | −6.2% | 5.2 | 5.6 | 1.8 | 2.4 | 4.1 | 3.9 | 0.79 | 0.69 |
| Cyprus | 0.21 | 0.16 | −23.6% | 0.6 | 0.5 | 0.3 | 0.2 | 0.4 | 0.3 | 0.63 | 0.57 |
| Estonia | 0.65 | 0.64 | −1.8% | 1.2 | 1.1 | 0.6 | 0.7 | 0.9 | 0.9 | 0.74 | 0.78 |
| Finland | 6.65 | 6.59 | −0.9% | 11.0 | 10.6 | 7.5 | 7.7 | 9.2 | 9.1 | 0.84 | 0.86 |
| Greece | 3.88 | 3.40 | −12.5% | 7.1 | 6.9 | 3.3 | 3.0 | 5.4 | 4.7 | 0.76 | 0.69 |
| Latvia | 0.58 | 0.55 | −4.2% | 1.1 | 1.0 | 0.5 | 0.5 | 0.8 | 0.8 | 0.73 | 0.75 |
| Lithuania | 0.97 | 0.88 | −9.7% | 1.7 | 1.6 | 0.9 | 0.9 | 1.3 | 1.2 | 0.78 | 0.75 |
| Romania | 4.79 | 4.09 | −14.6% | 8.1 | 7.5 | 4.5 | 4.1 | 6.7 | 5.7 | 0.82 | 0.76 |
| UK | 24.93 | 21.14 | −15.2% | 47.6 | 41.8 | 1.9 | 15.1 | 34.6 | 29.4 | 0.73 | 0.70 |
| Country | Peak Time | ADLPmax | ΔPeaks | ADLPave | MR | ER | |||||||
|---|---|---|---|---|---|---|---|---|---|---|---|---|---|
| 2019 | 2020 | 2019 | 2020 | 2019 | 2020 | 2019 | 2020 | 2019 | 2020 | 2019 | 2020 | ||
| Italy | WD | 9 | 20 | 38.48 | 31.65 | 0.62 | 2.43 | 32.44 | 25.78 | 2.62 | 1.45 | 1.21 | 0.85 |
| HD | 20 | 20 | 31.25 | 27.22 | 2.66 | 4.99 | 25.97 | 20.59 | 1.18 | 0.64 | 1.17 | 1.51 | |
| France | WD | 9 | 12 | 59.91 | 49.86 | 4.73 | 2.79 | 53.77 | 43.90 | 2.92 | 1.52 | 0.59 | 0.94 |
| HD | 23 | 12 | 53.78 | 44.15 | 0.42 | 0.30 | 48.87 | 39.04 | 1.18 | 1.36 | 1.43 | 1.24 | |
| Spain | WD | 12 | 13 | 32.01 | 27.26 | 0.21 | 0.21 | 28.18 | 23.25 | 1.24 | 0.96 | 0.99 | 1.24 |
| HD | 21 | 21 | 28.30 | 25.20 | 1.09 | 0.46 | 24.60 | 21.04 | 1.06 | 0.91 | 1.00 | 1.08 | |
| Germany | WD | 11 | 11 | 66.18 | 61.86 | 5.13 | 6.01 | 57.47 | 52.68 | 2.42 | 2.30 | 0.17 | 0.21 |
| HD | 11 | 11 | 52.83 | 50.22 | 2.24 | 2.53 | 47.02 | 43.75 | 1.56 | 1.61 | 0.66 | 1.14 | |
| Sweden | WD | 8 | 8 | 17.76 | 17.06 | 1.59 | 1.00 | 15.69 | 15.49 | 0.58 | 0.49 | 0.08 | 0.08 |
| HD | 20 | 20 | 15.02 | 15.30 | 0.22 | 0.40 | 14.05 | 14.36 | 0.22 | 0.20 | 0.28 | 0.18 | |
| Ireland | WD | 18 | 18 | 3.93 | 3.65 | 0.01 | 0.10 | 3.42 | 3.07 | 0.11 | 0.09 | 0.01 | 0.10 |
| HD | 12 | 18 | 3.53 | 3.45 | 0.03 | 0.10 | 3.12 | 2.88 | 0.13 | 0.08 | 0.07 | 0.10 | |
| Switzerland | WD | 12 | 12 | 7.32 | 7.49 | 0.49 | 0.76 | 6.53 | 6.54 | 0.14 | 0.22 | −0.22 | −0.22 |
| HD | 15 | 13 | 6.72 | 6.85 | 0.14 | 0.45 | 6.01 | 6.12 | 0.16 | 0.09 | −0.23 | −0.24 | |
| Portugal | WD | 20 | 20 | 6.72 | 6.05 | 0.22 | 0.34 | 5.76 | 5.06 | 0.29 | 0.21 | 0.29 | 0.23 |
| HD | 20 | 20 | 5.79 | 5.41 | 0.29 | 0.27 | 4.94 | 4.41 | 0.23 | 0.31 | 0.27 | 0.31 | |
| Austria | WD | 8 | 11 | 8.15 | 7.18 | 0.38 | 0.24 | 7.1 | 6.38 | 0.55 | 0.25 | 0.11 | 0.18 |
| HD | 11 | 20 | 6.61 | 5.92 | 0.2 | 0.17 | 5.92 | 5.28 | 0.2 | 0.15 | 0.1 | 0.17 | |
| Belgium | WD | 9 | 11 | 10.8 | 9.19 | 0.53 | 0.11 | 9.75 | 8.45 | 0.47 | 0.26 | 0.08 | 0.27 |
| HD | 11 | 20 | 9.44 | 8.28 | 0.23 | 0.11 | 8.73 | 7.61 | 0.23 | 0.17 | 0.1 | 0.18 | |
| Bosnia | WD | 20 | 14 | 1.59 | 1.35 | 0.03 | 0.03 | 1.38 | 1.18 | 0.05 | 0.04 | 0.06 | 0.05 |
| HD | 20 | 12 | 1.68 | 1.39 | 0.09 | 0.04 | 1.4 | 1.19 | 0.08 | 0.05 | 0.06 | 0.07 | |
| Croatia | WD | 20 | 20 | 2.36 | 2.08 | 0.14 | 0.1 | 1.95 | 1.71 | 0.1 | 0.08 | 0.12 | 0.13 |
| HD | 20 | 20 | 2.16 | 1.86 | 0.09 | 0.08 | 1.79 | 1.52 | 0.08 | 0.08 | 0.13 | 0.13 | |
| Czech Republic | WD | 9 | 12 | 8.55 | 7.81 | 0.42 | 0.61 | 7.7 | 6.88 | 0.37 | 0.23 | 0.1 | 0.13 |
| HD | 11 | 11 | 7.54 | 6.67 | 0.43 | 0.27 | 6.65 | 5.84 | 0.17 | 0.16 | 0.1 | 0.17 | |
| Denmark | WD | 10 | 10 | 4.36 | 4.38 | 0.19 | 0.12 | 3.72 | 3.79 | 0.19 | 0.18 | −0.1 | −0.1 |
| HD | 18 | 18 | 3.72 | 3.93 | 0.04 | 0.09 | 3.27 | 3.36 | 0.06 | 0.07 | 0.04 | 0.09 | |
| Hungary | WD | 20 | 20 | 5.47 | 5.03 | 0.22 | 0.35 | 4.89 | 4.42 | 0.33 | 0.25 | 0.11 | 0.15 |
| HD | 20 | 20 | 4.96 | 4.58 | 0.2 | 0.51 | 4.39 | 3.87 | 0.14 | 0.1 | 0.15 | 0.2 | |
| Luxembourg | WD | 12 | 20 | 0.55 | 0.42 | 0.02 | 0.02 | 0.46 | 0.37 | 0.04 | 0.01 | 0.02 | 0.01 |
| HD | 1 | 20 | 0.53 | 0.38 | 0.04 | 0.03 | 0.38 | 0.33 | 0.02 | 0.01 | 0.03 | 0.02 | |
| North Macedonia | WD | 22 | 22 | 0.87 | 0.82 | 0.04 | 0 | 0.73 | 0.69 | 0.03 | 0.03 | 0.02 | 0.03 |
| HD | 20 | 20 | 0.82 | 0.75 | 0.07 | 0.01 | 0.67 | 0.62 | 0.03 | 0.03 | 0.05 | 0.04 | |
| Montenegro | WD | 20 | 20 | 0.4 | 0.41 | 0.03 | 0.02 | 0.34 | 0.36 | 0.02 | 0.02 | 0.02 | 0.02 |
| HD | 20 | 20 | 0.4 | 0.4 | 0.02 | 0.02 | 0.33 | 0.34 | 0.02 | 0.02 | 0.02 | 0.02 | |
| The Netherlands | WD | 8 | 20 | 14.3 | 12.8 | 0.16 | 0.4 | 12.9 | 11.4 | 0.76 | 0.49 | 0.05 | 0.22 |
| HD | 21 | 21 | 12.8 | 11.8 | 0.85 | 1.45 | 11.3 | 10 | 0.13 | 0.6 | 0.21 | 0.36 | |
| Norway | WD | 8 | 8 | 16.5 | 16.6 | 1.46 | 0.91 | 14.8 | 15.4 | 0.5 | 0.44 | 0.07 | 0.07 |
| HD | 10 | 11 | 14.5 | 15.7 | 0.23 | 0.17 | 13.8 | 15 | 0.22 | 0.18 | 0.14 | 0.05 | |
| Poland | WD | 20 | 20 | 21.9 | 19.9 | 0.28 | 0.19 | 19.5 | 17.7 | 0.68 | 0.67 | 0.78 | 0.54 |
| HD | 20 | 20 | 18.4 | 16.8 | 0.27 | 0.93 | 16.6 | 14.8 | 0.61 | 0.5 | 0.55 | 0.63 | |
| Serbia | WD | 20 | 20 | 5.06 | 4.92 | 0.33 | 0.35 | 4.32 | 4.19 | 0.24 | 0.21 | 0.23 | 0.24 |
| HD | 20 | 20 | 4.88 | 4.69 | 0.33 | 0.31 | 4.14 | 3.95 | 0.19 | 0.22 | 0.26 | 0.24 | |
| Slovakia | WD | 9 | 11 | 3.63 | 3.26 | 0.03 | 0.05 | 3.31 | 2.93 | 0.15 | 0.1 | 0.06 | 0.08 |
| HD | 11 | 11 | 3.34 | 2.93 | 0.12 | 0.06 | 2.97 | 2.58 | 0.09 | 0.08 | 0.08 | 0.1 | |
| Slovenia | WD | 8 | 20 | 1.75 | 1.51 | 0 | 0.07 | 1.54 | 1.29 | 0.12 | 0.08 | 0.05 | 0.08 |
| HD | 20 | 20 | 1.49 | 1.3 | 0.03 | 0.15 | 1.3 | 1.07 | 0.04 | 0.03 | 0.06 | 0.08 | |
| Bulgaria | WD | 20 | 20 | 4.85 | 4.48 | 0.15 | 0.06 | 4.18 | 3.92 | 0.28 | 0.22 | 0.2 | 0.16 |
| HD | 20 | 20 | 4.53 | 4.29 | 0.22 | 0.15 | 3.91 | 3.7 | 0.18 | 0.16 | 0.16 | 0.16 | |
| Cyprus | WD | 20 | 20 | 0.55 | 0.48 | 0.11 | 0.13 | 0.41 | 0.34 | 0.02 | 0.01 | 0.04 | 0.04 |
| HD | 20 | 20 | 0.5 | 0.46 | 0.12 | 0.14 | 0.37 | 0.31 | 0.01 | 0.01 | 0.04 | 0.05 | |
| Estonia | WD | 9 | 9 | 1.1 | 1.05 | 0.1 | 0.08 | 0.94 | 0.92 | 0.06 | 0.05 | 0.01 | 0.01 |
| HD | 21 | 21 | 0.91 | 0.93 | 0.03 | 0.06 | 0.81 | 0.83 | 0.03 | 0.02 | 0.02 | 0.02 | |
| Finland | WD | 8 | 9 | 10 | 9.72 | 0.47 | 0.21 | 9.42 | 9.26 | 0.3 | 0.21 | 0.05 | 0.04 |
| HD | 22 | 22 | 9.34 | 9.38 | 0.39 | 0.37 | 8.82 | 8.88 | 0.08 | 0.04 | 0.09 | 0.07 | |
| Greece | WD | 21 | 12 | 6.46 | 5.76 | 0.27 | 0.02 | 5.48 | 4.79 | 0.25 | 0.27 | 0.24 | 0.3 |
| HD | 21 | 12 | 6.22 | 5.57 | 0.24 | 0.09 | 5.21 | 4.57 | 0.22 | 0.25 | 0.26 | 0.25 | |
| Latvia | WD | 9 | 10 | 1 | 0.95 | 0.11 | 0.11 | 0.83 | 0.8 | 0.07 | 0.05 | 0.01 | 0.01 |
| HD | 10 | 21 | 0.83 | 0.8 | 0 | 0.03 | 0.73 | 0.7 | 0.03 | 0.02 | 0.02 | 0.01 | |
| Lithuania | WD | 9 | 11 | 1.62 | 1.47 | 0.14 | 0.13 | 1.39 | 1.26 | 0.1 | 0.06 | 0.02 | 0.02 |
| HD | 10 | 21 | 1.38 | 1.27 | 0.01 | 0.02 | 1.24 | 1.12 | 0.05 | 0.04 | 0.02 | 0.02 | |
| Romania | WD | 20 | 21 | 7.74 | 6.68 | 0.23 | 0.35 | 6.84 | 5.82 | 0.3 | 0.23 | 0.25 | 0.2 |
| HD | 21 | 21 | 7.06 | 6.26 | 0.57 | 0.71 | 6.19 | 5.35 | 0.13 | 0.13 | 0.21 | 0.22 | |
| UK | WD | 11 | 18 | 41.4 | 36.1 | 0.95 | 0.23 | 35.6 | 30.1 | 2.19 | 1.04 | 0.74 | 1.36 |
| HD | 12 | 18 | 36.8 | 34.4 | 0.15 | 2.9 | 32.3 | 27.7 | 1.51 | 1.32 | 0.64 | 1.86 | |
| Country | RES [TWh] | Fossil [TWh] | Conv [TWh] | Non-Conv [TWh] | % RES | % Fossil | σ | |||||||
|---|---|---|---|---|---|---|---|---|---|---|---|---|---|---|
| 2019 | 2020 | 2019 | 2020 | 2019 | 2020 | 2019 | 2020 | 2019 | 2020 | 2019 | 2020 | 2019 | 2020 | |
| Italy | 7.28 | 8.03 | 10.21 | 7.49 | 16.57 | 13.53 | 3.21 | 3.48 | 33% | 46% | 46% | 43% | 16% | 20% |
| France | 8.28 | 9.03 | 2.18 | 0.63 | 38.67 | 32.86 | 3.34 | 3.54 | 22% | 30% | 6% | 2% | 8% | 10% |
| Spain | 8.14 | 8.68 | 5.84 | 3.83 | 12.95 | 11.57 | 5.70 | 5.07 | 42% | 53% | 30% | 24% | 31% | 30% |
| Germany | 20.08 | 21.02 | 16.36 | 9.32 | 28.16 | 20.08 | 14.20 | 15.16 | 51% | 58% | 42% | 26% | 34% | 43% |
| Sweden | 6.75 | 8.83 | 0.00 | 0.00 | 11.54 | 10.82 | 1.27 | 2.44 | 62% | 81% | 0% | 0% | 10% | 18% |
| Ireland | 0.84 | 0.24 | 1.01 | 0.64 | 1.09 | 0.67 | 0.76 | 0.22 | 35% | 11% | 42% | 30% | 41% | 25% |
| Switzerland | 1.34 | 1.30 | 0.00 | 0.00 | 3.59 | 3.14 | 0.05 | 0.18 | 29% | 28% | 0% | 0% | 1% | 5% |
| Portugal | 2.34 | 2.62 | 1.49 | 0.57 | 2.60 | 2.22 | 1.27 | 0.99 | 59% | 75% | 37% | 16% | 33% | 31% |
| Austria | 4.69 | 3.75 | 0.61 | 0.39 | 4.32 | 3.53 | 0.99 | 0.63 | 96% | 86% | 12% | 9% | 19% | 15% |
| Belgium | 1.24 | 1.63 | 1.61 | 1.18 | 5.97 | 4.99 | 0.91 | 1.15 | 18% | 28% | 24% | 20% | 13% | 19% |
| Bosnia | 0.46 | 0.22 | 0.51 | 0.84 | 0.96 | 1.05 | 0.01 | 0.01 | 46% | 26% | 52% | 99% | 1% | 1% |
| Croatia | N/A | N/A | N/A | N/A | N/A | N/A | N/A | N/A | N/A | N/A | N/A | N/A | N/A | N/A |
| Czech Republic | 1.02 | 1.04 | 3.23 | 2.43 | 5.89 | 4.74 | 0.54 | 0.56 | 19% | 22% | 61% | 51% | 8% | 10% |
| Denmark | 1.55 | 1.71 | 0.54 | 0.42 | 0.96 | 0.77 | 1.14 | 1.37 | 60% | 65% | 21% | 16% | 54% | 64% |
| Hungary | 0.19 | 0.38 | 0.72 | 0.61 | 2.24 | 2.16 | 0.08 | 0.25 | 6% | 12% | 21% | 20% | 3% | 10% |
| Luxemburg | N/A | N/A | N/A | N/A | N/A | N/A | N/A | N/A | N/A | N/A | N/A | N/A | N/A | N/A |
| North Macedonia | 0.05 | 0.08 | 0.17 | 0.19 | 0.22 | 0.27 | 0.00 | 0.01 | 10% | 16% | 34% | 40% | 2% | 2% |
| Montenegro | 0.10 | 0.06 | 0.00 | 0.01 | 0.08 | 0.05 | 0.02 | 0.03 | 40% | 24% | 0% | 6% | 17% | 36% |
| The Netherlands | 0.33 | 0.38 | 4.22 | 3.50 | 6.92 | 6.20 | 0.33 | 0.38 | 4% | 5% | 47% | 44% | 5% | 6% |
| Norway | 9.64 | 12.29 | 0.26 | 0.26 | 9.55 | 11.92 | 0.35 | 0.65 | 92% | 112% | 2% | 2% | 4% | 5% |
| Poland | 1.58 | 1.70 | 9.96 | 8.55 | 10.35 | 8.89 | 1.20 | 1.36 | 12% | 14% | 74% | 71% | 10% | 13% |
| Serbia | 0.90 | 0.68 | 1.90 | 1.86 | 2.81 | 2.55 | 0.00 | 0.00 | 29% | 23% | 62% | 63% | 0% | 0% |
| Slovakia | 0.57 | 0.46 | 0.35 | 0.33 | 2.02 | 1.97 | 0.10 | 0.11 | 25% | 23% | 15% | 16% | 5% | 5% |
| Slovenia | 0.42 | 0.36 | 0.28 | 0.22 | 1.18 | 1.04 | 0.02 | 0.03 | 40% | 41% | 27% | 25% | 2% | 3% |
| Bulgaria | 0.50 | 0.74 | 1.57 | 1.29 | 3.38 | 2.76 | 0.20 | 0.27 | 17% | 27% | 53% | 47% | 6% | 9% |
| Cyprus | 0.02 | 0.01 | 0.29 | 0.16 | 0.29 | 0.16 | 0.02 | 0.01 | 6% | 8% | 101% | 100% | 6% | 7% |
| Estonia | 0.11 | 0.14 | 0.45 | 0.11 | 0.52 | 0.17 | 0.04 | 0.09 | 16% | 22% | 69% | 17% | 8% | 34% |
| Finland | 2.00 | 2.35 | 0.97 | 0.86 | 4.52 | 4.58 | 0.48 | 0.61 | 30% | 36% | 15% | 13% | 10% | 12% |
| Greece | 0.70 | 0.94 | 1.97 | 1.49 | 1.97 | 1.49 | 0.70 | 0.94 | 18% | 28% | 51% | 44% | 26% | 39% |
| Latvia | 0.35 | 0.27 | 0.09 | 0.06 | 0.49 | 0.36 | 0.01 | 0.01 | 61% | 48% | 15% | 10% | 2% | 3% |
| Lithuania | 0.24 | 0.27 | 0.03 | 0.04 | 0.16 | 0.18 | 0.13 | 0.15 | 25% | 31% | 3% | 5% | 44% | 45% |
| Romania | 2.17 | 1.96 | 1.62 | 1.02 | 4.02 | 3.20 | 0.75 | 0.80 | 45% | 48% | 34% | 25% | 16% | 20% |
| UK | 6.65 | 6.90 | 10.05 | 6.35 | 16.14 | 12.03 | 5.12 | 5.08 | 27% | 33% | 40% | 30% | 24% | 30% |
| Market Zone | Total Revenues [M€] | Average Price [€/MWh] | Total Volumes [TWh] | Minimum Price [€/MWh] | Number of Hours with Negative Prices | Rate of Change in DA Prices | Rate of Change in Total Revenues | Rate of Change in Volumes | |||||
|---|---|---|---|---|---|---|---|---|---|---|---|---|---|
| 2019 | 2020 | 2019 | 2020 | 2019 | 2020 | 2019 | 2020 | 2019 | 2020 | ||||
| SE1 | 98.6 | 20.3 | 37.9 | 7.9 | 2.6 | 2.5 | 0.12 | 0.86 | 0 | 0 | −79.2% | −79.4% | −0.8% |
| SE2 | 158.8 | 32.8 | 37.9 | 7.9 | 4.1 | 4.1 | 0.12 | 0.86 | 0 | 0 | −79.2% | −79.3% | −0.5% |
| SE3 | 848.2 | 271.9 | 37.9 | 11.9 | 21.9 | 21.8 | 0.12 | 0.86 | 0 | 0 | −68.7% | −67.9% | −0.4% |
| SE4 | 238.2 | 93.7 | 38.5 | 14.6 | 6.1 | 6.1 | 0.12 | 0.86 | 0 | 0 | −62.1% | −60.7% | 1.3% |
| FI | 856.7 | 415.6 | 40.4 | 19.9 | 20.9 | 20.4 | −19.9 | 0.9 | 0 | 0 | −50.8% | −51.5% | −2.5% |
| DK1 | 186.6 | 87.5 | 36.7 | 16.3 | 5.0 | 5.2 | −19.9 | −55.8 | 59 | 62 | −55.5% | −53.1% | 3.7% |
| DK2 | 125.6 | 61.7 | 37.9 | 18.8 | 3.2 | 3.2 | 15.12 | −42.7 | 48 | 55 | −50.3% | −50.9% | −2.1% |
| NO1 | 348.5 | 61.1 | 41.0 | 6.7 | 8.4 | 8.8 | 15.12 | 0.69 | 0 | 0 | −83.7% | −82.5% | 4.7% |
| NO2 | 357.5 | 58.5 | 40.9 | 6.6 | 8.7 | 8.6 | 15.12 | 0.69 | 0 | 0 | −83.8% | −83.6% | −0.8% |
| NO3 | 287.6 | 52.7 | 40.7 | 7.0 | 7.0 | 7.4 | 15.12 | 0.69 | 0 | 0 | −82.8% | −81.7% | 4.9% |
| NO4 | 215.2 | 40.9 | 40.4 | 7.5 | 5.3 | 5.4 | 15.12 | 0.86 | 0 | 0 | −81.5% | −81.0% | 1.7% |
| NO5 | 178.7 | 29.4 | 40.6 | 7.2 | 4.4 | 4.1 | 15.12 | 0.86 | 0 | 0 | −82.4% | −83.5% | −7.4% |
| EE | 93.6 | 54.5 | 41.5 | 24.3 | 2.2 | 2.1 | 0.12 | 0.94 | 0 | 0 | −41.6% | −41.8% | −2.9% |
| LV | 79.3 | 44.6 | 42.6 | 24.0 | 1.8 | 1.7 | 0.12 | 0.94 | 0 | 0 | −43.6% | −43.8% | −3.5% |
| LT | 130.4 | 72.5 | 42.5 | 23.9 | 3.0 | 2.8 | 0.12 | 0.94 | 0 | 0 | −43.7% | −44.4% | −4.2% |
| AT | 571.9 | 303.1 | 36.2 | 20.2 | 15.4 | 14.2 | −59.78 | −77.7 | 42 | 73 | −44.4% | −47.0% | −7.8% |
| BE | 822.2 | 362.3 | 37.8 | 18.1 | 21.3 | 19.3 | −31.62 | −115 | 20 | 86 | −52.2% | −55.9% | −9.6% |
| DE-LU | 4273.4 | 2352.9 | 35.1 | 19.1 | 118.9 | 117.9 | −83.01 | −83.9 | 73 | 117 | −45.7% | −44.9% | −0.9% |
| FR | 4278.2 | 1913.3 | 36.4 | 17.4 | 115.3 | 102.0 | −12.27 | −75.8 | 16 | 66 | −52.1% | −55.3% | −11.5% |
| NL | 964.0 | 502.6 | 40.5 | 20.5 | 23.4 | 23.5 | 0.1 | −79.2 | 0 | 61 | −49.4% | −47.9% | 0.5% |
| ITCN | 411.4 | 170.6 | 52.4 | 26.3 | 7.6 | 6.2 | 6.27 | 0 | 0 | 0 | −49.7% | −58.5% | −19.5% |
| ITCS | 560.1 | 262.2 | 51.5 | 27.0 | 10.7 | 9.3 | 0 | 0 | 0 | 0 | −47.5% | −53.2% | −12.6% |
| ITNorth | 2138.3 | 888.7 | 52.2 | 25.7 | 39.7 | 32.6 | 6.27 | 0 | 0 | 0 | −50.8% | −58.4% | −18.0% |
| ITSardinia | 105.2 | 51.1 | 50.9 | 26.2 | 2.0 | 1.9 | 0 | 0 | 0 | 0 | −48.4% | −51.4% | −8.4% |
| ITSicilia | 257.7 | 110.4 | 59.6 | 27.6 | 4.2 | 3.8 | 0 | 0 | 0 | 0 | −53.8% | −57.2% | −7.6% |
| ITSouth | 296.5 | 148.8 | 48.8 | 26.7 | 6.0 | 5.4 | 0 | 0 | 0 | 0 | −45.3% | −49.8% | −9.7% |
| ES | 2999.6 | 1236.2 | 49.2 | 22.3 | 60.3 | 53.7 | 3.52 | 1.02 | 0 | 0 | −54.7% | −58.8% | −10.9% |
| PT | 610.5 | 262.2 | 49.5 | 22.4 | 12.2 | 11.4 | 5 | 1.02 | 0 | 0 | −54.8% | −57.0% | −6.8% |
| IE | 393.7 | 237.9 | 49.2 | 28.6 | 8.0 | 7.9 | −7 | −41.1 | 24 | 97 | −41.8% | −39.6% | −1.0% |
| CH | 588.4 | 318.4 | 37.5 | 20.1 | 15.5 | 15.4 | −22.72 | −59.6 | 10 | 63 | −46.4% | −45.9% | −0.6% |
| SI | 142.6 | 76.2 | 42.1 | 24.8 | 3.3 | 2.9 | −20.23 | −23.5 | 23 | 16 | −41.1% | −46.6% | −11.1% |
| SK | 272.7 | 145.8 | 36.8 | 21.1 | 7.3 | 6.6 | −25 | −65 | 29 | 83 | −42.8% | −46.5% | −9.0% |
| RS | 410.8 | 255.0 | 42.2 | 26.3 | 9.5 | 9.4 | 7.43 | 0.93 | 0 | 0 | −37.7% | −37.9% | −2.0% |
| PL | 2233.5 | 492.9 | 51.6 | 36.3 | 42.4 | 39.4 | 0 | 11.39 | 0 | 0 | −29.7% | −77.9% | −7.3% |
| RO | 628.0 | 376.9 | 41.5 | 27.2 | 14.7 | 13.3 | 0 | 0 | 0 | 0 | −44.6% | −40.0% | −9.2% |
| GB | 3520.5 | 1964.7 | 49.0 | 29.6 | 68.8 | 62.7 | 0 | −44.2 | 0 | 51 | −28.5% | −44.2% | −8.8% |
| CZ | 608.4 | 332.7 | 36.3 | 20.9 | 16.4 | 15.1 | −25 | −65 | 29 | 86 | −42.3% | −45.3% | −7.9% |
| HR | 185.2 | 102.4 | 42.2 | 25.3 | 4.2 | 3.9 | −20.23 | −23.5 | 23 | 16 | −40.1% | −44.7% | −9.2% |
| BG | 367.7 | 228.5 | 39.4 | 25.5 | 9.0 | 8.6 | 0 | 0 | 0 | 0 | −35.3% | −37.9% | −4.9% |
| GR | 756.2 | 408.2 | 62.7 | 35.5 | 11.9 | 11.1 | 0 | 0 | 0 | 0 | −43.3% | −46.0% | −6.7% |
| HU | 468.2 | 263.4 | 42.7 | 26.2 | 10.7 | 9.6 | 0.02 | −8.12 | 0 | 4 | −38.6% | −43.7% | −9.7% |
References
- World Health Organization. Timeline of WHO’s Response to COVID-19. Available online: https://www.who.int/news/item/29-06-2020-covidtimeline (accessed on 30 June 2020).
- Mofijur, M.; Fattah, I.R.; Alam, M.A.; Islam, A.S.; Ong, H.C.; Rahman, S.A.; Najafi, G.; Ahmed, S.; Uddin, M.A.; Mahlia, T. Impact of COVID-19 on the social, economic, environmental and energy domains: Lessons learnt from a global pandemic. Sustain. Prod. Consum. 2020, 26, 343–359. [Google Scholar] [CrossRef] [PubMed]
- Zhong, H.; Tan, Z.; He, Y.; Xie, L.; Kang, C. Implications of COVID-19 for the electricity industry: A comprehensive review. CSEE J. Power Energy Syst. 2020, 6, 489–495. [Google Scholar]
- Lu, Y.; Zhou, R.; Wang, J. Analysis of power generation and load change under the influence of lockdown based on COVID-19 epidemic. In Proceedings of the 2020 AEIT International Annual Conference, Catania, Italy, 23–25 September 2020. [Google Scholar] [CrossRef]
- Alhajeri, H.M.; Almutairi, A.; Alenezi, A.; Alshammari, F. Energy demand in the state of Kuwait during the covid-19 pandemic: Technical, economic, and environmental perspectives. Energies 2020, 13, 4370. [Google Scholar] [CrossRef]
- IEA. World Energy Outlook 2009 Edition; IEA: Paris, France, 2009. [Google Scholar]
- IEA. Global Energy Review. Available online: https://www.iea.org/reports/global-energy-review-2020 (accessed on 10 May 2020).
- Ruan, G.; Wu, D.; Zheng, X.; Zhong, H.; Kang, C.; Dahleh, M.A.; Sivaranjani, S.; Xie, L. A cross-domain approach to analyzing the short-run impact of COVID-19 on the US electricity sector. Joule 2020, 4, 2322–2337. [Google Scholar] [CrossRef] [PubMed]
- Leach, A.; Rivers, N.; Shaffer, B. Canadian electricity markets during the COVID-19 pandemic: An initial assessment. Canadian Public Policy 2020, 46, 145–159. [Google Scholar] [CrossRef]
- ENEA. Quarterly Analysis of the Italian Energy System. Available online: https://www.enea.it/it/seguici/pubblicazioni/pdf-sistema-energetico-italiano/01-analisi-trimestrale-2020.pdf. (accessed on 15 May 2020).
- Gracceva, F.; Bompard, E.; Baldissara, B.; Corgnati, S.; Mosca, C.; Zini, A. COVID-19 e sistema energetico Italiano: Una prima valutazione. Energia 2020, 2, 26–31. [Google Scholar]
- IEEE PES. Sharing Knowledge on Electrical Energy Industry’s First Response to COVID-19. Available online: https://resourcecenter.ieee-pes.org/publications/white-papers/PES_TP_COVID19_050120.html (accessed on 12 May 2020).
- Snow, S.; Bean, R.; Glencross, M.; Horrocks, N. Drivers behind residential electricity demand fluctuations due to COVID-19 restrictions. Energies 2020, 13, 5738. [Google Scholar] [CrossRef]
- Abu-Rayash, A.; Dincer, I. Analysis of the electricity demand trends amidst the COVID-19 coronavirus pandemic. Energy Res. Soc. Sci. 2020, 68, 101682. [Google Scholar] [CrossRef] [PubMed]
- Andrade, J.V.; Salles, R.S.; Silva, M.N.; Bonatto, B.D. Falling consumption and demand for electricity in South Africa-a blessing and a curse. In Proceedings of the 2020 IEEE PES/IAS PowerAfrica, Nairobi, Kenya, 25–28 August 2020. [Google Scholar] [CrossRef]
- Carmon, D.; Navon, A.; Machlev, R.; Belikov, J.; Levron, Y. Readiness of small energy markets and electric power grids to global health crises: Lessons from the COVID-19 pandemic. IEEE Access 2020, 8, 127234–127243. [Google Scholar] [CrossRef]
- Ghiani, E.; Galici, M.; Mureddu, M.; Pilo, F. Impact on electricity consumption and market pricing of energy and ancillary services during pandemic of COVID-19 in Italy. Energies 2020, 13, 3357. [Google Scholar] [CrossRef]
- Mosca, C.; Colella, P.; Bompard, E.; Yan, Z. Techno-economic impacts of COVID-19 pandemic on the italian electricity system. In Proceedings of the 2020 AEIT International Annual Conference, Catania, Italy, 23–25 September 2020. [Google Scholar] [CrossRef]
- Werth, A.; Gravino, P.; Prevedello, G. Impact analysis of COVID-19 responses on energy grid dynamics in Europe. Appl. Energy 2020, 281, 116045. [Google Scholar] [CrossRef] [PubMed]
- Clair, E. Looking at COVID-19 Crisis from the EU Electricity Wholesale Market; FSR, 2020; European University Institute: Fiesole, Italy, 2020. [Google Scholar]
- EPRI. COVID-19 Bulk System Impacts. Available online: https://www.epri.com/research/products/3002018602 (accessed on 13 April 2020).
- CIGRE. System Operations Impact of COVID-19: European Perspective. Available online: https://www.cigre.org/article/GB/system-operations-impact-of-covid-19-european-perspective (accessed on 5 June 2020).
- Soliman, S.A.H.; Al-Kandari, A.M. Electrical Load Forecasting: Modeling and Model Construction; Elsevier: Oxford, UK, 2010. [Google Scholar]
- McWilliams, B.; Zachmann, G. Bruegel Electricity Tracker of COVID-19 Lockdown Effects. Available online: https://www.bruegel.org/2020/03/covid-19-crisiselectricity-demand-as-a-real-time-indicator (accessed on 30 April 2020).
- EEA. Copernicus Land Monitoring Service. 2020. Available online: https://land.copernicus.eu/ (accessed on 15 May 2020).
- ENTSO-E. ENTSO-E Transparency Platform. Available online: https://transparency.entsoe.eu/dashboard/show (accessed on 15 May 2020).
- European Commission. Energy Security: Good Practices to Address Pandemic Risks; Commission Staff Working Document. SWD, 104 Final; European Commission: Brussels, Belgium, 2020. [Google Scholar]
- ACER; CEER. Annual Report on the Results of Monitoring the Internal Electricity and Gas Markets in 2016, Electricity Wholesale Markets Volume. Available online: https://www.acer.europa.eu/Official_documents/Publications/ACER%20Market%20Monitoring%20Report%202016%20%20Document%20histo/ACER%20Market%20Monitoring%20Report%202016%20-%20ELECTRICITY%20AND%20GAR%20RETAIL%20MARKETS%20-%20Original.pdf (accessed on 15 June 2020).
- Hauser, P.; Anke, C.-P.; López, J.G.; Möst, D.; Scharf, H.; Schönheit, D.; Schreiber, S. The Impact of the COVID-19 Crisis on Energy Prices in Comparison to the 2008 Financial Crisis. In IAEE Energy Forum/Covid-19 Issue 2020; IAEE: New York, NY, USA, 2020. [Google Scholar]
- ENTSO-E. Bidding Zone Configuration Technical Report. 2018. Available online: https://eepublicdownloads.entsoe.eu/clean-documents/events/2018/BZ_report/20181015_BZ_TR_FINAL.pdf (accessed on 30 June 2020).












Publisher’s Note: MDPI stays neutral with regard to jurisdictional claims in published maps and institutional affiliations. |
© 2020 by the authors. Licensee MDPI, Basel, Switzerland. This article is an open access article distributed under the terms and conditions of the Creative Commons Attribution (CC BY) license (http://creativecommons.org/licenses/by/4.0/).
Share and Cite
Bompard, E.; Mosca, C.; Colella, P.; Antonopoulos, G.; Fulli, G.; Masera, M.; Poncela-Blanco, M.; Vitiello, S. The Immediate Impacts of COVID-19 on European Electricity Systems: A First Assessment and Lessons Learned. Energies 2021, 14, 96. https://doi.org/10.3390/en14010096
Bompard E, Mosca C, Colella P, Antonopoulos G, Fulli G, Masera M, Poncela-Blanco M, Vitiello S. The Immediate Impacts of COVID-19 on European Electricity Systems: A First Assessment and Lessons Learned. Energies. 2021; 14(1):96. https://doi.org/10.3390/en14010096
Chicago/Turabian StyleBompard, Ettore, Carmelo Mosca, Pietro Colella, Georgios Antonopoulos, Gianluca Fulli, Marcelo Masera, Marta Poncela-Blanco, and Silvia Vitiello. 2021. "The Immediate Impacts of COVID-19 on European Electricity Systems: A First Assessment and Lessons Learned" Energies 14, no. 1: 96. https://doi.org/10.3390/en14010096
APA StyleBompard, E., Mosca, C., Colella, P., Antonopoulos, G., Fulli, G., Masera, M., Poncela-Blanco, M., & Vitiello, S. (2021). The Immediate Impacts of COVID-19 on European Electricity Systems: A First Assessment and Lessons Learned. Energies, 14(1), 96. https://doi.org/10.3390/en14010096

