Experimental Study and Conjugate Heat Transfer Simulation of Turbulent Flow in a 90° Curved Square Pipe
Abstract
1. Introduction
2. Experiment Setup
2.1. Experimental Apparatus
2.2. Data Reduction
3. Formulation and Numerical Methods
4. Results and Discussion
4.1. Numerical Validation for Flow Velocity
4.2. Comparison of Fluid Temperature between Experiment and Simulation
4.3. Numerical Investigation
4.3.1. Time-Averaged Flow in Curved Pipe
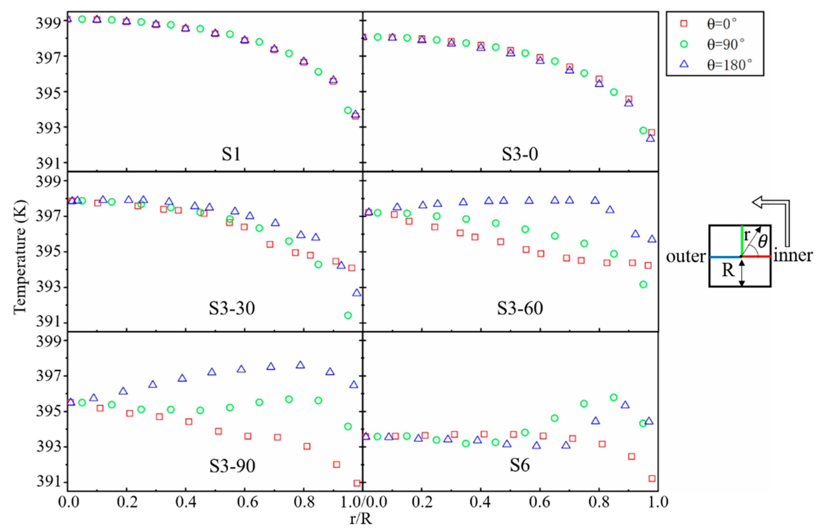
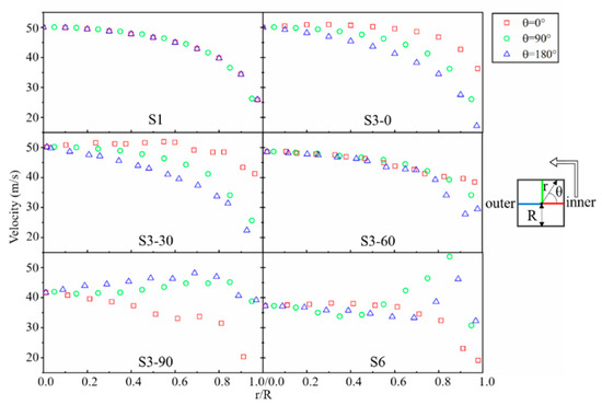
4.3.2. Radial Profiles of Velocity and Temperature for Various Cross-Sections
4.3.3. Outside Wall Temperature Distributions
4.3.4. Wall Heat Flux Inside the Pipe
4.4. Nu Number Comparison
4.4.1. Total Nu Number
4.4.2. Local Nu Number
5. Conclusions
Author Contributions
Funding
Acknowledgments
Conflicts of Interest
Nomenclature
| A | surface area [m2] | Greek symbols | |
| Cp | constant pressure specific [J/kg·K] | λ | heat conductivity [W/m·K] |
| d | circumference coordinate on the wall [mm] | ρ | density [kg/m3] |
| Din | pipe inner diameter [mm] | θ | radial angel [°] |
| Dout | pipe outer diameter [mm] | uτ | shear speed [m/s] |
| De | Dean number | 𝛏 | friction factor |
| g | acceleration of gravity [m/s2] | ||
| Gr | Grashof number | Subscripts | |
| h | heat transfer coefficient [W/m2·K] | b | bulk |
| k | turbulent kinetic energy [m2/s2] | f | fluid |
| L | total length of pipe [mm] | in | inlet |
| n | normal unit vector | m | molecular |
| Nu | Nusselt number | s | solid |
| Pr | Prandtl number | w | wall |
| Q | heat flow rate [W] | wo | outside wall |
| r | radial coordinate in the cross section [mm] | wi | inside wall |
| R | pipe inner radius [mm] | ||
| Re | Reynolds number | Superscripts | |
| Rc | radius of curvature [mm] | ¯ | average value |
| T | temperature [℃] | * | normalized parameter |
| U | time-averaged velocity [m/s] | ||
| W | streamwise velocity [m/s] | ||
| X | streamwise coordinate | ||
| Y | horizontal coordinate | ||
| Z | vertical coordinate | ||
References
- Naphon, P.; Wongwises, S. A review of flow and heat transfer characteristics in curved tubes. Renew. Sustain. Energy Rev. 2006, 10, 463–490. [Google Scholar] [CrossRef]
- Dean, W.R.; Hurst, J.M. Note on the motion of fluid in a curved pipe. Mathematika 1959, 6, 77–85. [Google Scholar] [CrossRef]
- Tunstall, M.J.; Harvey, J.K. On the effect of a sharp bend in a fully developed turbulent pipe-flow. J. Fluid Mech. 1968, 34, 595–608. [Google Scholar] [CrossRef]
- Brücker, C. A time-recording DPIV-study of the swirl switching effect in a 90° bend flow. In Proceedings of the 8th International Symposium on Flow Visualization, Sorento, Italy, 1–4 September 1998; pp. 171.1–171.6. [Google Scholar]
- Rütten, F.; Schröder, W.; Meinke, M. Large-eddy simulation of low frequency oscillations of the Dean vortices in turbulent pipe bend flows. Phys. Fluids 2005, 17, 035107. [Google Scholar] [CrossRef]
- Noorani, A.; El Khoury, G.; Schlatter, P. Evolution of turbulence characteristics from straight to curved pipes. Int. J. Heat Fluid Flow 2013, 41, 16–26. [Google Scholar] [CrossRef]
- Sakakibara, J.; Machida, N. Measurement of turbulent flow upstream and downstream of a circular pipe bend. Phys. Fluids 2012, 24, 041702. [Google Scholar] [CrossRef]
- Wang, Y.; Dong, Q.; Wang, P. Numerical investigation on fluid flow in a 90-degree curved pipe with large curvature ratio. Math. Probl. Eng. 2015, 2015, 548262. [Google Scholar] [CrossRef][Green Version]
- Oki, J.; Ikeguchi, M.; Ogata, Y.; Nishida, K.; Yamamoto, R.; Nakamura, K.; Yanagida, H.; Yokohata, H. Experimental and numerical investigation of a pulsatile flow field in an S-shaped exhaust pipe of an automotive engine. J. Fluid Sci. Technol. 2017, 12, JFST0014. [Google Scholar] [CrossRef][Green Version]
- Hawes, W.B. Some sidelights on the heat transfer problem. Chem. Eng. Res. Des. 1932, 10, 161–167. [Google Scholar]
- Mori, Y.; Nakayama, W. Study on forced convective heat transfer in curved pipes: 1st report, laminar region. Trans. Jpn. Soc. Mech. Eng. 1965, 30, 977–988. [Google Scholar] [CrossRef][Green Version]
- Mori, Y.; Nakayama, W. Study on forced convective heat transfer in curved pipes: 2nd report, turbulent region. Trans. Jpn. Soc. Mech. Eng. 1965, 31, 1521–1532. [Google Scholar] [CrossRef]
- Mori, Y.; Nakayama, W. Study on forced convective heat transfer in curved pipes: 3rd report, theoretical analysis under the condition of uniform wall temperature and practical formulae. Int. J. Heat Mass Transf. 1966, 10, 681–695. [Google Scholar] [CrossRef]
- Cheng, K.; Akiyama, M. Laminar forced convection heat transfer in curved rectangular channels. Int. J. Heat Mass Transf. 1970, 13, 471–490. [Google Scholar] [CrossRef]
- Zapryanov, Z.; Christov, C.; Toshev, E. Fully developed laminar flow and heat transfer in curved tubes. Int. J. Heat Mass Transf. 1980, 23, 873–880. [Google Scholar] [CrossRef]
- Xin, R.C.; Ebadian, M.A. The effects of prandtl numbers on local and average convective heat transfer characteristics in helical pipes. J. Heat Transf. 1997, 119, 467–473. [Google Scholar] [CrossRef]
- Sillekens, J.J.M.; Rindt, C.C.M.; van Steenhoven, A.A. Development of laminar mixed convection in a horizontal square channel with heated side walls. Int. J. Heat Fluid Flow 1998, 19, 270–281. [Google Scholar] [CrossRef]
- Sillekens, J.J.M.; Rindt, C.C.M.; van Steenhoven, A.A. Developing mixed convection in a coiled heat exchanger. Int. J. Heat Mass Transf. 1998, 41, 61–72. [Google Scholar] [CrossRef]
- Rindt, C.C.M.; Sillekens, J.J.M.; van Steenhoven, A.A. The influence of the wall temperature on the development of heat transfer and secondary flow in a coiled heat exchanger. Int. Commun. Heat Mass Transf. 1999, 26, 187–198. [Google Scholar] [CrossRef]
- Di Piazza, I.; Ciofalo, M. Numerical prediction of turbulent flow and heat transfer in helically coiled pipes. Int. J. Therm. Sci. 2010, 49, 653–663. [Google Scholar] [CrossRef]
- Di Liberto, M.; Ciofalo, M. A study of turbulent heat transfer in curved pipes by numerical simulation. Int. J. Heat Mass Transf. 2013, 59, 112–125. [Google Scholar] [CrossRef]
- Kang, C.; Yang, K.-S. Large eddy simulation of turbulent heat transfer in curved-pipe flow. J. Heat Transf. 2015, 138, 011704. [Google Scholar] [CrossRef]
- Arvanitis, K.D.; Bouris, D.; Papanicolaou, E. Laminar flow and heat transfer in U-bends: The effect of secondary flows in ducts with partial and full curvature. Int. J. Therm. Sci. 2018, 130, 70–93. [Google Scholar] [CrossRef]
- Wang, M.; Zheng, M.; Wang, R.; Tian, L.; Ye, C.; Chen, Y.; Gu, H. Experimental studies on local and average heat transfer characteristics in helical pipes with single phase flow. Ann. Nucl. Energy 2019, 123, 78–85. [Google Scholar] [CrossRef]
- Cvetkovski, C.G.; Reitsma, S.; Bolisetti, T.; Ting, D.S.-K. Heat transfer in a U-Bend pipe: Dean number versus Reynolds number. Sustain. Energy Technol. Assess. 2015, 11, 148–158. [Google Scholar] [CrossRef]
- Egidi, N.; Giacomini, J.; Maponi, P. Mathematical model to analyze the flow and heat transfer problem in U-shaped geothermal exchangers. Appl. Math. Model. 2018, 61, 83–106. [Google Scholar] [CrossRef]
- Safari, A.; Saffar-Avval, M.; Amani, E. Numerical investigation of turbulent forced convection flow of nano fluid in curved and helical pipe using four-equation model. Powder Technol. 2018, 328, 47–53. [Google Scholar] [CrossRef]
- Pan, C.; Zhang, T.; Wang, J.; Zhou, Y. CFD study of heat transfer and pressure drop for oscillating flow in helical rectangular channel heat exchanger. Int. J. Therm. Sci. 2018, 129, 106–114. [Google Scholar] [CrossRef]
- John, B.; Senthilkumar, P.; Sadasivan, S. Applied and theoretical aspects of conjugate heat transfer analysis: A review. Arch. Comput. Methods Eng. 2018, 26, 475–489. [Google Scholar] [CrossRef]
- Chen, X.; Han, P. A note on the solution of conjugate heat transfer problems using SIMPLE-like algorithms. Int. J. Heat Fluid Flow 2000, 21, 463–467. [Google Scholar] [CrossRef]
- Zhao, Z.; Che, D. Numerical investigation of conjugate heat transfer to supercritical CO2in a vertical tube-in-tube heat exchanger. Numer. Heat Transf. Part A Appl. 2014, 67, 857–882. [Google Scholar] [CrossRef]
- Kosky, P.; Balmer, R.; Keat, W.; Wise, G. Exploring Engineering, 3rd ed.; Academic Press: Cambridge, MA, USA, 2012. [Google Scholar]
- Han, Z.; Reitz, R.D. A temperature wall function formulation for variable-density turbulent flows with application to engine convective heat transfer modeling. Int. J. Heat Mass Transf. 1997, 40, 613–625. [Google Scholar] [CrossRef]
- Sudo, K.; Sumida, M.; Hibara, H. Experimental investigation on turbulent flow in a square-sectioned 90-degree bend. Exp. Fluids 2001, 30, 246–252. [Google Scholar] [CrossRef]
- Kim, J.; Yadav, M.; Kim, S. Characteristics of secondary flow induced by 90-degree elbow in turbulent pipe flow. Eng. Appl. Comput. Fluid Mech. 2014, 8, 229–239. [Google Scholar] [CrossRef]
- Sudo, K.; Sumida, M.; Hibara, H. Experimental investigation on turbulent flow in a circular-sectioned 90-degree bend. Exp. Fluids 1998, 25, 42–49. [Google Scholar] [CrossRef]
- Oki, J.; Kuga, Y.; Yamamoto, R.; Nakamura, K.; Yokohata, H.; Nishida, K.; Ogata, Y. Unsteady secondary motion of pulsatile turbulent flow through a double 90°-bend duct. Flow Turbul. Combust. 2019, 104, 817–833. [Google Scholar] [CrossRef]
- Dittus, F.; Boelter, L. Heat transfer in automobile radiators of the tubular type. Int. Commun. Heat Mass Transf. 1985, 12, 3–22. [Google Scholar] [CrossRef]
- Gnielinski, V. New equations for heat and mass transfer in the turbulent pipe and channel flow. Int. Chem. Eng. 1976, 16, 359–368. [Google Scholar]
- Filonienko, G.K. Friction factor for turbulent pipe flow. Teploenerg 1 1954, 4, 40–44. (In Russian) [Google Scholar]


















| Parameter | Uncertainty | Parameter | Uncertainty |
|---|---|---|---|
| Pipe diameter | 0.08 mm (0.25%) | Wall temp | 1.5 K |
| Pipe length | 1.5 mm (0.08%) | Air temp | 0.2 K |
| Curvature | 0.1 mm (0.17%) | Velocity | 1.2 m/s |
Publisher’s Note: MDPI stays neutral with regard to jurisdictional claims in published maps and institutional affiliations. |
© 2020 by the authors. Licensee MDPI, Basel, Switzerland. This article is an open access article distributed under the terms and conditions of the Creative Commons Attribution (CC BY) license (http://creativecommons.org/licenses/by/4.0/).
Share and Cite
Guo, G.; Kamigaki, M.; Zhang, Q.; Inoue, Y.; Nishida, K.; Hongou, H.; Koutoku, M.; Yamamoto, R.; Yokohata, H.; Sumi, S.; et al. Experimental Study and Conjugate Heat Transfer Simulation of Turbulent Flow in a 90° Curved Square Pipe. Energies 2021, 14, 94. https://doi.org/10.3390/en14010094
Guo G, Kamigaki M, Zhang Q, Inoue Y, Nishida K, Hongou H, Koutoku M, Yamamoto R, Yokohata H, Sumi S, et al. Experimental Study and Conjugate Heat Transfer Simulation of Turbulent Flow in a 90° Curved Square Pipe. Energies. 2021; 14(1):94. https://doi.org/10.3390/en14010094
Chicago/Turabian StyleGuo, Guanming, Masaya Kamigaki, Qiwei Zhang, Yuuya Inoue, Keiya Nishida, Hitoshi Hongou, Masanobu Koutoku, Ryo Yamamoto, Hieaki Yokohata, Shinji Sumi, and et al. 2021. "Experimental Study and Conjugate Heat Transfer Simulation of Turbulent Flow in a 90° Curved Square Pipe" Energies 14, no. 1: 94. https://doi.org/10.3390/en14010094
APA StyleGuo, G., Kamigaki, M., Zhang, Q., Inoue, Y., Nishida, K., Hongou, H., Koutoku, M., Yamamoto, R., Yokohata, H., Sumi, S., & Ogata, Y. (2021). Experimental Study and Conjugate Heat Transfer Simulation of Turbulent Flow in a 90° Curved Square Pipe. Energies, 14(1), 94. https://doi.org/10.3390/en14010094

