Experimental Investigation on Improvement of Wet Cooling Tower Efficiency with Diverse Packing Compaction Using ANN-PSO Algorithm
Abstract
1. Introduction
2. Experimental Setup and Test Conditions
3. ANN-PSO Modeling
Regression Analysis
4. Results
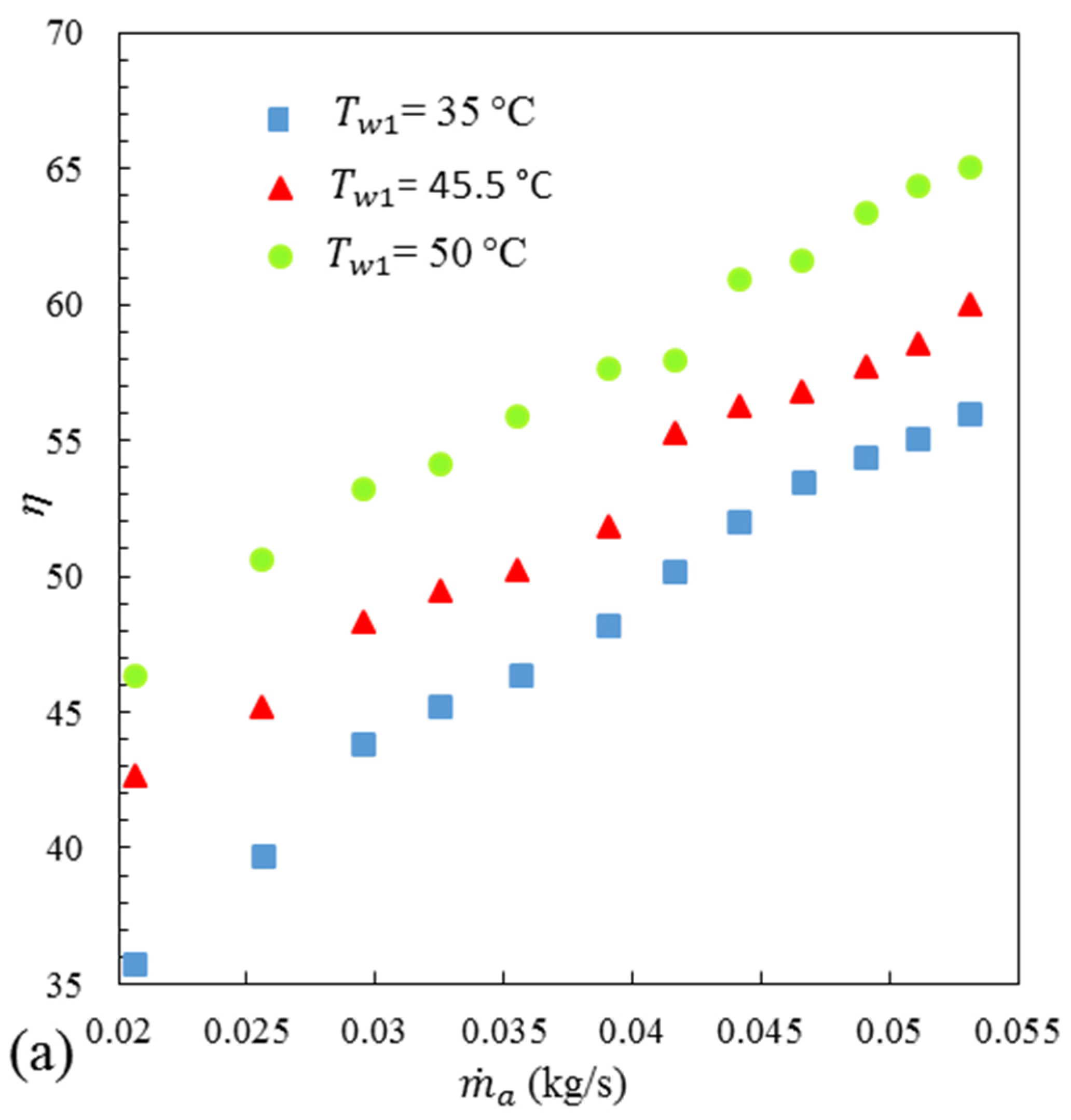
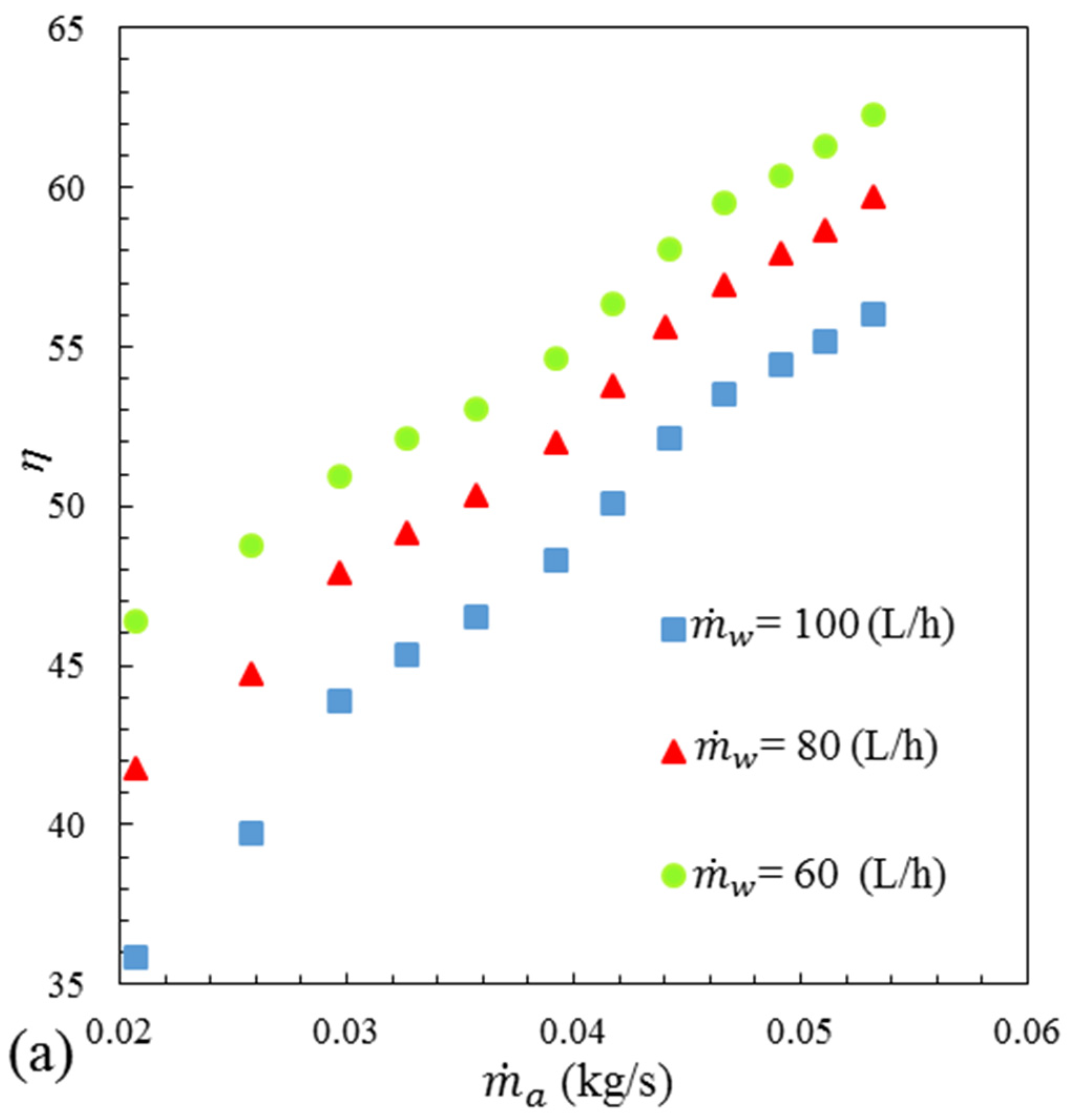
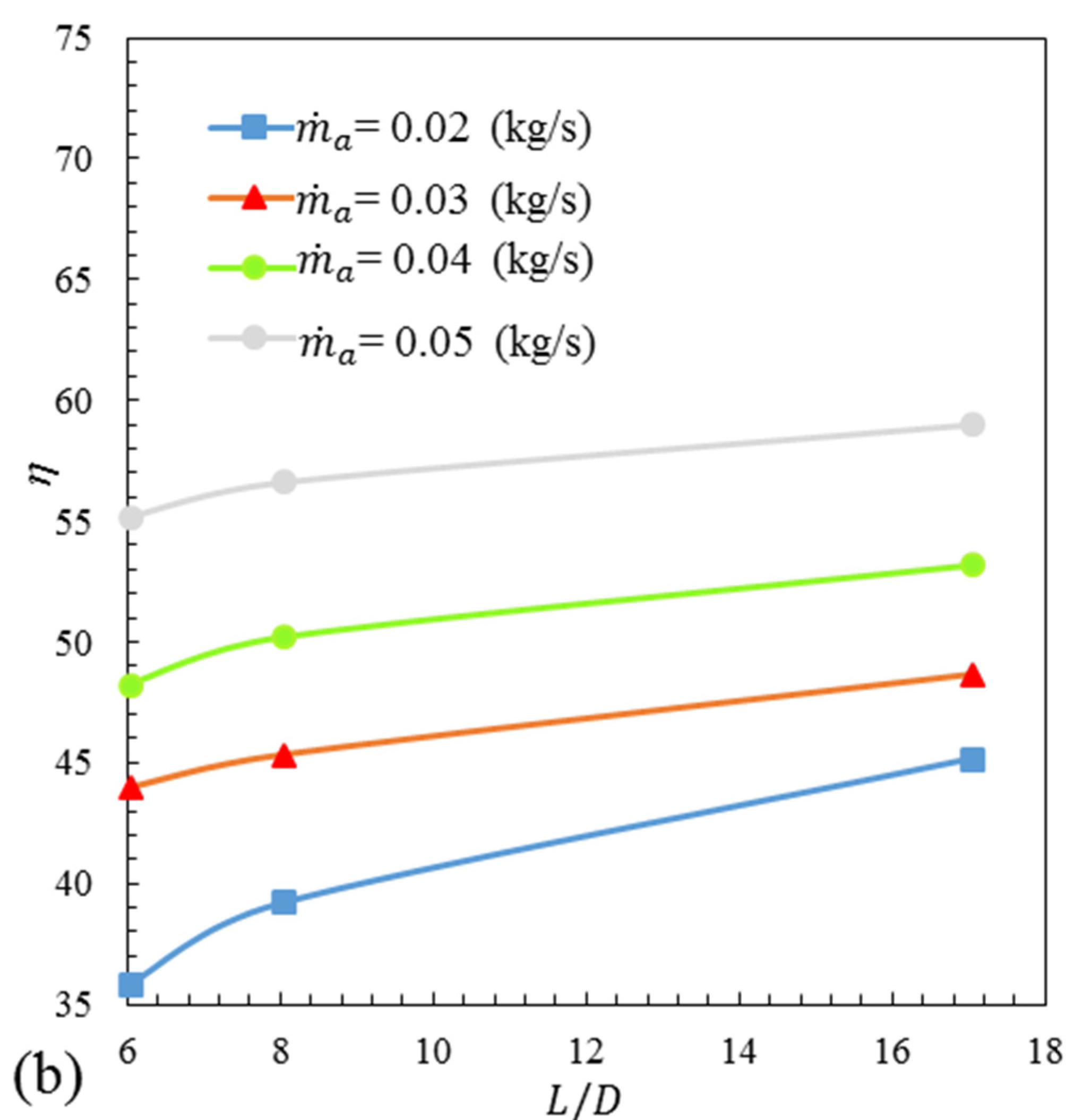
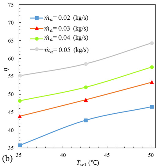
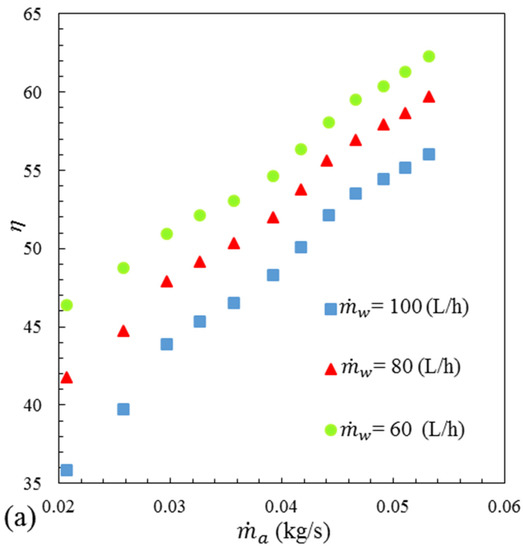
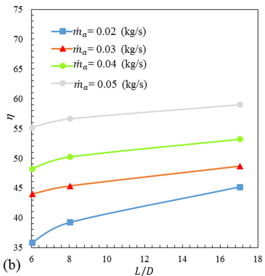
4.1. Impacts of Cooling Tower Various Parameters on Efficiency
4.2. The Correlations and Optimization
4.3. ANN-PSO Results
5. Conclusions
Author Contributions
Funding
Conflicts of Interest
References
- Goshayshi, H.; Missenden, J. The investigation of cooling tower packing in various arrangements. Appl. Therm. Eng. 2000, 20, 69–80. [Google Scholar] [CrossRef]
- Hasan, A.; Sirén, K. Theoretical and computational analysis of closed wet cooling towers and its applications in cooling of buildings. Energy Build. 2002, 34, 477–486. [Google Scholar] [CrossRef]
- Kloppers, J.C.; Kröger, D.G. The Lewis factor and its influence on the performance prediction of wet-cooling towers. Int. J. Therm. Sci. 2005, 44, 879–884. [Google Scholar] [CrossRef]
- Lemouari, M.; Boumaza, M.; Mujtaba, I.M. Thermal performances investigation of a wet cooling tower. Appl. Therm. Eng. 2007, 27, 902–909. [Google Scholar] [CrossRef]
- Emouari, M.; Boumaza, M.; Kaabi, A. Experimental analysis of heat and mass transfer phenomena in a direct contact evaporative cooling tower. Energy Convers. Manag. 2009, 50, 1610–1617. [Google Scholar] [CrossRef]
- Yoo, S.-Y.; Kim, J.-H.; Han, K.-H. Thermal performance analysis of heat exchanger for closed wet cooling tower using heat and mass transfer analogy. J. Mech. Sci. Technol. 2010, 24, 893–898. [Google Scholar] [CrossRef]
- Heyns, J.; Kröger, D. Experimental investigation into the thermal-flow performance characteristics of an evaporative cooler. Appl. Therm. Eng. 2010, 30, 492–498. [Google Scholar] [CrossRef]
- Braun, J.E.; Klein, S.A.; Mitchell, J.W. Effictiveness models for cooling towers and cooling coils. In ASHRAE Transactions (American Society of Heating, Refrigerating and Air-Conditioning Engineers); 95.CONF-890609; U.S. Department of Energy, Office of Scientific and Technical Information: Washington, DC, USA, 1989. [Google Scholar]
- Fisenko, S.; Brin, A.; Petruchik, A. Evaporative cooling of water in a mechanical draft cooling tower. Int. J. Heat Mass Transf. 2004, 47, 165–177. [Google Scholar] [CrossRef]
- Naphon, P. Study on the heat transfer characteristics of an evaporative cooling tower. Int. Commun. Heat Mass Transf. 2005, 32, 1066–1074. [Google Scholar] [CrossRef]
- Swider, D.J. A comparison of empirically based steady-state models for vapor-compression liquid chillers. Appl. Therm. Eng. 2003, 23, 539–556. [Google Scholar] [CrossRef]
- Ertunc, H.; Hosoz, M. Artificial neural network analysis of a refrigeration system with an evaporative condenser. Appl. Therm. Eng. 2006, 26, 627–635. [Google Scholar] [CrossRef]
- Islamoglu, Y. A new approach for the prediction of the heat transfer rate of the wire-on-tube type heat exchanger—Use of an artificial neural network model. Appl. Therm. Eng. 2003, 23, 243–249. [Google Scholar] [CrossRef]
- Alimoradi, H.; Shams, M. Optimization of subcooled flow boiling in a vertical pipe by using artificial neural network and multi objective genetic algorithm. Appl. Therm. Eng. 2017, 111, 1039–1051. [Google Scholar] [CrossRef]
- Hosoz, M.; Ertunc, H.; Bulgurcu, H. Performance prediction of a cooling tower using artificial neural network. Energy Convers. Manag. 2007, 48, 1349–1359. [Google Scholar] [CrossRef]
- Huang, W.S.; Chen, C.W.; Lee, C.W.; Chen, C.L.; Jan, T.S.; Chang, Y.C.; Chang, T.W. Application of Artificial Neural Network for Modeling of Mechanical Cooling Tower. Adv. Mater. Res. 2011, 383, 7746–7749. [Google Scholar] [CrossRef]
- Gao, M.; Sun, F.-Z.; Zhou, S.-J.; Shi, Y.-T.; Zhao, Y.-B.; Wang, N.-H. Performance prediction of wet cooling tower using artificial neural network under cross-wind conditions. Int. J. Therm. Sci. 2009, 48, 583–589. [Google Scholar] [CrossRef]
- Gao, M.; Shi, Y.-T.; Wang, N.-N.; Zhao, Y.-B.; Sun, F.-Z. Artificial neural network model research on effects of cross-wind to performance parameters of wet cooling tower based on level Froude number. Appl. Therm. Eng. 2013, 51, 1226–1234. [Google Scholar] [CrossRef]
- Singh, K.; Das, R. An experimental and multi-objective optimization study of a forced draft cooling tower with different fills. Energy Convers. Manag. 2016, 111, 417–430. [Google Scholar] [CrossRef]
- Zheng, W.-Y.; Zhu, D.-S.; Song, J.; Zeng, L.-D.; Zhou, H.-J. Experimental and computational analysis of thermal performance of the oval tube closed wet cooling tower. Appl. Therm. Eng. 2012, 35, 233–239. [Google Scholar] [CrossRef]
- Lavasani, A.M.; Baboli, Z.N.; Zamanizadeh, M.; Zareh, M. Experimental study on the thermal performance of mechanical cooling tower with rotational splash type packing. Energy Convers. Manag. 2014, 87, 530–538. [Google Scholar] [CrossRef]
- Shahali, P.; Rahmati, M.; Alavi, S.R.; Sedaghat, A. Experimental study on improving operating conditions of wet cooling towers using various rib numbers of packing. Int. J. Refrig. 2016, 65, 80–91. [Google Scholar] [CrossRef]
- Lu, Y.; Guan, Z.; Gurgenci, H.; Hooman, K.; He, S.; Bharathan, D. Experimental study of crosswind effects on the performance of small cylindrical natural draft dry cooling towers. Energy Convers. Manag. 2015, 91, 238–248. [Google Scholar] [CrossRef]
- Zhao, Y.; Sun, F.; Long, G.; Huang, X.; Huang, W.; Lyv, D. Comparative study on the cooling characteristics of high level water collecting natural draft wet cooling tower and the usual cooling tower. Energy Convers. Manag. 2016, 116, 150–164. [Google Scholar] [CrossRef]
- Singla, R.K.; Singh, K.; Das, R. Tower characteristics correlation and parameter retrieval in wet-cooling tower with expanded wire mesh packing. Appl. Therm. Eng. 2016, 96, 240–249. [Google Scholar] [CrossRef]
- Dehghani-Sanij, A.; Soltani, M.; Raahemifar, K. A new design of wind tower for passive ventilation in buildings to reduce energy consumption in windy regions. Renew. Sustain. Energy Rev. 2015, 42, 182–195. [Google Scholar] [CrossRef]
- Soltani, M.; Dehghani-Sanij, A.; Sayadnia, A.; Kashkooli, F.M.; Gharali, K.; Mahbaz, S.; Dusseault, M.B. Investigation of Airflow Patterns in a New Design of Wind Tower with a Wetted Surface. Energies 2018, 11, 1100. [Google Scholar] [CrossRef]
- Mehryan, S.A.M.; Kashkooli, F.M.; Soltani, M. Comprehensive study of the impacts of surrounding structures on the aero-dynamic performance and flow characteristics of an outdoor unit of split-type air conditioner. Build. Simul. 2017, 11, 325–337. [Google Scholar] [CrossRef]
- Imani-Mofrad, P.; Heris, S.Z.; Shanebedi, M. Experimental investigation of the effect of different nanofluids on the thermal performance of a wet cooling tower using a new method for equalization of ambient conditions. Energy Convers. Manag. 2018, 158, 23–35. [Google Scholar] [CrossRef]
- Gilani, N.; Hendijani, A.D.; Shirmohammadi, R. Developing of a novel water-efficient configuration for shower cooling tower integrated with the liquid desiccant cooling system. Appl. Therm. Eng. 2019, 154, 180–195. [Google Scholar] [CrossRef]
- Chen, X.; Sun, F.; Chen, Y.; Gao, M. Novel method for improving the cooling performance of natural draft wet cooling towers. Appl. Therm. Eng. 2019, 147, 562–570. [Google Scholar] [CrossRef]
- Russell, E.; Kennedy, J. A new optimizer using particle swarm theory. In Proceedings of the MHS’95, Sixth International Symposium on Micro Machine and Human Science, Nagoya, Japan, 4–6 October 1995. [Google Scholar]
- Kennedy, J.; Eberhart, R. Particle swarm optimization. In Proceedings of the IEEE International Conference on Neural Networks, Honolulu, HI, USA, 12–17 May 2002; Volume 4, pp. 1942–1948. [Google Scholar]



















| Measurement Device | The Considered Parameter | Uncertainty |
|---|---|---|
| Psychrometer | Dry/wet bulb temperature of air | ±0.1 (°C) |
| Thermocouple | Water temperature | ±0.3 (°C) |
| Thermo hygrometer | Air humidity | ±0.1 (%) |
| Rotameter | Water flow rate | ±1.5 (%) |
| Manometer | Pressure | ±0.1 (kP) |
| Constants | R-Square | RMSE | ||||||
|---|---|---|---|---|---|---|---|---|
| 6.897 | 0.115 | 1025 | 0.007634 | −3.829 | −4084 | 0.9902 | 0.7353 | |
| 42.39 | −0.0737 | 484.3 | −0.001314 | 2.846 | −2141 | 0.9946 | 0.5016 | |
| 24.54 | −0.08526 | 860.6 | 0 | 1.732 | −4412 | 0.94 | 1.1 |
Publisher’s Note: MDPI stays neutral with regard to jurisdictional claims in published maps and institutional affiliations. |
© 2020 by the authors. Licensee MDPI, Basel, Switzerland. This article is an open access article distributed under the terms and conditions of the Creative Commons Attribution (CC BY) license (http://creativecommons.org/licenses/by/4.0/).
Share and Cite
Alimoradi, H.; Soltani, M.; Shahali, P.; Moradi Kashkooli, F.; Larizadeh, R.; Raahemifar, K.; Adibi, M.; Ghasemi, B. Experimental Investigation on Improvement of Wet Cooling Tower Efficiency with Diverse Packing Compaction Using ANN-PSO Algorithm. Energies 2021, 14, 167. https://doi.org/10.3390/en14010167
Alimoradi H, Soltani M, Shahali P, Moradi Kashkooli F, Larizadeh R, Raahemifar K, Adibi M, Ghasemi B. Experimental Investigation on Improvement of Wet Cooling Tower Efficiency with Diverse Packing Compaction Using ANN-PSO Algorithm. Energies. 2021; 14(1):167. https://doi.org/10.3390/en14010167
Chicago/Turabian StyleAlimoradi, Hasan, Madjid Soltani, Pooriya Shahali, Farshad Moradi Kashkooli, Razieh Larizadeh, Kaamran Raahemifar, Mohammad Adibi, and Behzad Ghasemi. 2021. "Experimental Investigation on Improvement of Wet Cooling Tower Efficiency with Diverse Packing Compaction Using ANN-PSO Algorithm" Energies 14, no. 1: 167. https://doi.org/10.3390/en14010167
APA StyleAlimoradi, H., Soltani, M., Shahali, P., Moradi Kashkooli, F., Larizadeh, R., Raahemifar, K., Adibi, M., & Ghasemi, B. (2021). Experimental Investigation on Improvement of Wet Cooling Tower Efficiency with Diverse Packing Compaction Using ANN-PSO Algorithm. Energies, 14(1), 167. https://doi.org/10.3390/en14010167

