Estimation of the Energy Consumption of Battery Electric Buses for Public Transport Networks Using Real-World Data and Deep Learning
Abstract
1. Introduction
Energy Consumption Models
- The energy demand is the product of the length or of the time of the trip and a mean energy consumption per unit of length or of time;
- Drive profiles represent the course of the trip;
- The first group of models use a mean energy consumption measure per unit of length or of time [8]. This measure is determined for different types of buses based on drive cycles or using real-world measurements of energy consumption on bus lines. The energy consumption depends on a large number of parameters (bus technology, traffic conditions, number of passengers, profile of the route) and varies between 1.0 and 3.5 kWh/km [9].
- Derivation of a deep learning network (DLN)-based model for the estimation of the energy consumption of a fleet of battery electric buses which requires only readily available bus trip data: arrival times at the bus stops, bus stop map positions and a variable indicating the trip conditions;
- Validation of the model using real-world data acquired from a bus company.
2. Analysis of Energy Demand of Battery Electric Buses
2.1. Bus Trip Datasets
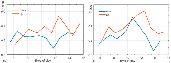
2.2. Changes of Energy Demand Due to Weather Conditions
2.3. Changes of Energy Demand Due to Bus Stop Elevation Differences
2.4. Energy Consumption Model Variables
- —distances between bus stops;
- —travel times: time taken to travel between consecutive bus stops;
- —elevation differences;
- —weather codes.
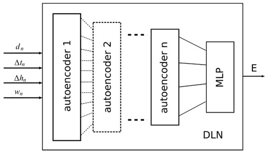
3. Energy Consumption Model
- The neuron activation functions f and g are sigmoidal.
- The goal of the training of the autoencoder is to find weights and bias vectors which give the closest approximation of p using z(p). It is done by minimising the cost function for the k training inputs:
4. Case Study
Comparison with a Multiple Linear Regression (MLR) Model of Bus Trip Data
5. Discussion
6. Conclusions
Author Contributions
Funding
Acknowledgments
Conflicts of Interest
References
- Bloomberg New Energy Finance report. Electric Buses in Cities: Driving towards Cleaner Air and Lower CO2; Bloomberg New Energy Finance Report: New York, NY, USA, 2018. [Google Scholar]
- Hooftman, N.; Messagie, M.; Coosemans, T. Analysis of the Potential for Electric Buses, a Study Accomplished for the European Copper Institute; 2019; pp. 1–18. Available online: https://leonardo-energy.pl/wp-content/uploads/2019/02/Analysis-of-the-potential-for-electric-buses.pdf (accessed on 20 January 2020).
- UITP (Union Internationale des Transports Publics). Statistics Brief Global Bus Survey (003).pdf. 2019. Available online: https://www.uitp.org/sites/default/files/cck-focus-papers-files/Statistics%20Brief_Global%20bus%20survey%20%28003%29.pdf (accessed on 20 January 2020).
- European Commission. White Paper: Roadmap to a Single European Transport Area—Towards a Competitive and Resource Efficient Transport System; COM (2011) 144 final; European Commission: Brussels, Belgium, 2011; pp. 1–31. [Google Scholar]
- Tsiropoulos, I.; Tarvydas., D.; Lebedeva, N. Li-ion batteries for mobility and stationary storage applications. In Scenarios for Costs and Market Growth; Publications Office of the European Union: Luxembourg, 2018. [Google Scholar] [CrossRef]
- Mathieu, L. Electric Buses Arrive on Time. Marketplace, Economic, Technology, Environmental and Policy Perspectives for Fully Electric Buses in the EU. Transport and Environment. 2018. Available online: https://www.transportenvironment.org/sites/te/files/publications/Electric%20buses%20arrive%20on%20time.pdf (accessed on 20 January 2020).
- Clairand, J.-M.; Guerra-Terán, P.; Serrano-Guerrero, X.; González-Rodríguez, M.; Escrivá-Escrivá, G. Electric Vehicles for Public Transportation in Power Systems: A Review of Methodologies. Energies 2019, 12, 3114. [Google Scholar] [CrossRef]
- Kivekäs, K.; Lajunen, A.; Vepsäläinen, J.; Tammi, K. City Bus Powertrain Comparison: Driving Cycle Variation and Passenger Load Sensitivity Analysis. Energies 2018, 11, 1755. [Google Scholar] [CrossRef]
- Vepsäläinen, J.; Ritari, A.; Lajunen, A.; Kivekäs, K.; Tammi, K. Energy Uncertainty Analysis of Electric Buses. Energies 2018, 11, 3267. [Google Scholar] [CrossRef]
- Paul, T.; Yamada, H. Operation and charging scheduling of electric buses in a city bus route network. In Proceedings of the IEEE 17th International Conference on Intelligent Transportation Systems (ITSC), Qingdao, China, 8–11 October 2014; pp. 2780–2786. [Google Scholar] [CrossRef]
- Wang, Y.; Huang, Y.; Xu, J.; Barclay, N. Optimal recharging scheduling for urban electric buses: A case study in Davis. Transp. Res. Part E Logis Transp. Rev. 2017, 115–132. [Google Scholar] [CrossRef]
- Xylia, M.; Leduc, S.; Patrizio, P.; Kraxner, F.; Silveira, S. Locating charging infrastructure for electric buses in Stockholm. Transp. Res. Part C Emerg. Technol. 2017, 78, 183–200. [Google Scholar] [CrossRef]
- Vepsäläinen, J.; Otto, K.; Lajunen, A.; Tammi, K. Computationally efficient model for energy demand prediction of electric city bus in varying operating conditions. Energy 2019, 169, 433–443. [Google Scholar] [CrossRef]
- Vepsäläinen, J.; Kivekäs, K.; Otto, K.; Lajunen, A.; Tammi, K. Development and validation of energy demand uncertainty model for electric city buses. Transp. Res. Part D Transp. Environ. 2018, 63, 347–361. [Google Scholar] [CrossRef]
- Gao, Y.; Guo, S.; Ren, J.; Zhao, Z.; Ehsan, A.; Zheng, Y. An Electric Bus Power Consumption Model and Optimization of Charging Scheduling Concerning Multi-External Factors. Energies 2018, 11, 2060. [Google Scholar] [CrossRef]
- Beckers, C.J.J.; Besselink, I.J.M.; Frints, J.J.M.; Nijmeijer, H. Energy Consumption Prediction for Electric City Buses. In Proceedings of the 13th ITS European Congress, Brainport, The Netherlands, 3–6 June 2019; Available online: https://www.researchgate.net/publication/335542182_Energy_Consumption_Prediction_for_Electric_City_Buses (accessed on 20 January 2020).
- Wang, J.; Besselink, I.J.M.; Nijmeijer, H. Battery electric vehicle energy consumption modelling for range estimation. Int. J. Electr. Hybrid Veh. 2017, 9, 79–102. [Google Scholar] [CrossRef]
- Sarrafan, K.; Sutanto, D.; Muttaqi, K.M.; Town, G. Accurate range estimation for an electric vehicle including changing environmental conditions and traction system efficiency. IET Electr. Syst. Transp. 2017, 7, 117–124. [Google Scholar] [CrossRef]
- De Filippo, G.; Marano, V.; Sioshansi, R. Simulation of an electric transportation system at The Ohio State University. Appl. Energy 2014, 113, 1686–1691. [Google Scholar] [CrossRef]
- Vilppo, O.; Markkula, J. Feasibility of electric buses in public transport. World Electr. Veh. J. 2015, 7, 357–365. [Google Scholar] [CrossRef]
- Sinhuber, P.; Rohlfs, W.; Sauer, D.U. Study on power and energy demand for sizing the energy storage systems for electrified local public transport buses. In Proceedings of the IEEE Vehicle Power and Propulsion Conference, Seoul, Korea, 9–12 October 2012; pp. 315–320. [Google Scholar] [CrossRef]
- Galleta, M.; Massiera, T.; Hamacherb, T. Estimation of the energy demand of electric buses based on real-world data for large-scale public transport networks. Appl. Energy 2018, 230, 344–356. [Google Scholar] [CrossRef]
- De Cauwer, C.; Van Mierlo, J.; Coosemans, T. Energy Consumption Prediction for Electric Vehicles Based on Real-World Data. Energies 2015, 8, 8573–8593. [Google Scholar] [CrossRef]
- Kanarachos, S.; Mathew, J.; Fitzpatrick, M.E. Instantaneous vehicle fuel consumption estimation using smartphones and recurrent neural networks. Expert Syst. Appl. 2019, 120, 436–447. [Google Scholar] [CrossRef]
- Lin, C.; Zhou, X.; Wu, D.; Gong, B. Estimation of Emissions at Signalized Intersections Using an Improved MOVES Model with GPS Data. Int. J. Environ. Res. Public Health 2019, 16, 3647. [Google Scholar] [CrossRef] [PubMed]
- Ping, P.; Qin, W.; Xu, Y.; Miyajima, C.; Takeda, K. Impact of Driver Behavior on Fuel Consumption: Classification, Evaluation and Prediction Using Machine Learning. IEEE Access 2019, 7, 78515–78532. [Google Scholar] [CrossRef]
- Pamuła, T. Impact of data loss for prediction of traffic flow on an urban road using neural networks. IEEE Trans. Intell. Transp. Syst. 2019, 20, 1000–1009. [Google Scholar] [CrossRef]
- Marquard, D. An algorithm for least-squares estimation of nonlinear parameters, SIAMJ. Appl. Math. 1963, 11, 431–441. [Google Scholar] [CrossRef]
- Bottou, L. Online Algorithms and Stochastic Approximations. In On-Line Learning in Neural Networks; Saad, D., Ed.; Cambridge University Press: Cambridge, UK, 1999; pp. 9–42. [Google Scholar] [CrossRef]











| No | Bus Stop Name | Longitude | Latitude | Time of Arrival | Energy Consumption (kWh) |
|---|---|---|---|---|---|
| 1 | KP | 19.284000 | 50.193042 | 05:06:09 | - |
| 2 | Ro | 19.279483 | 50.197584 | 05:07:34 | 0.67 |
| 3 | UM | 19.27655 | 50.199220 | 05:08:34 | 0.48 |
| 4 | Ce | 19.271324 | 50.203323 | 05:10:29 | 0.91 |
| 5 | Ry | 19.275168 | 50.204289 | 05:12:15 | 0.84 |
| 6 | WW | 19.275488 | 50.210060 | 05:14:00 | 0.83 |
| 7 | WG | 19.275142 | 50.214693 | 05:15:05 | 0.51 |
| 8 | Wa | 19.274221 | 50.218299 | 05:16:50 | 0.83 |
| 9 | Ge | 19.271800 | 50.227215 | 05:19:31 | 1.28 |
| 10 | GPK | 19.275809 | 50.235738 | 05:21:21 | 0.87 |
| 11 | GP | 19.277024 | 50.239224 | 05:22:56 | 0.75 |
| 12 | SP | 19.285006 | 50.240703 | 05:24:01 | 0.51 |
| 13 | SOG | 19.289323 | 50.240417 | 05:24:26 | 0.20 |
| 14 | SP | 19.294436 | 50.243652 | 05:25:51 | 0.67 |
| 15 | SD | 19.292681 | 50.246734 | 05:26:21 | 0.24 |
| January | February | March | April | May | June | October | November | December |
|---|---|---|---|---|---|---|---|---|
| 1 | 2 | 3 | 3 | 4 | 1 | 4 | 4 | 2 |
| No | Bus Stop Name | Trip Time (s) | Trip Distance (m) | Change of Elevation (m) | Weather Conditions | Energy Consumption (kWh) |
|---|---|---|---|---|---|---|
| 1 | KP | - | - | - | - | - |
| 2 | Ro | 85 | 599 | 12 | 2 | 0.67 |
| 3 | UM | 60 | 277 | 6 | 2 | 0.48 |
| 4 | Ce | 115 | 589 | −7 | 2 | 0.91 |
| 5 | Ry | 106 | 294 | 17 | 2 | 0.84 |
| 6 | WW | 105 | 643 | 20 | 2 | 0.83 |
| 7 | WG | 65 | 516 | −12 | 2 | 0.51 |
| 8 | Wa | 105 | 407 | −3 | 2 | 0.83 |
| 9 | Ge | 161 | 1007 | −24 | 2 | 1.28 |
| 10 | GPK | 110 | 991 | 14 | 2 | 0.87 |
| 11 | GP | 95 | 398 | 2 | 2 | 0.75 |
| 12 | SP | 65 | 592 | −8 | 2 | 0.51 |
| 13 | SOG | 25 | 309 | −8 | 2 | 0.20 |
| 14 | SP | 85 | 512 | −22 | 2 | 0.67 |
| 15 | SD | 30 | 365 | −1 | 2 | 0.24 |
| Network | DLN Configuration | MAPE (%) | RMSE |
|---|---|---|---|
| N1 | 4-16a-6-1 | 7.1 | 0.077 |
| N2 | 4-12a-16-1 | 7.2 | 0.080 |
| N3 | 4-20a-16-1 | 7.3 | 0.081 |
© 2020 by the authors. Licensee MDPI, Basel, Switzerland. This article is an open access article distributed under the terms and conditions of the Creative Commons Attribution (CC BY) license (http://creativecommons.org/licenses/by/4.0/).
Share and Cite
Pamuła, T.; Pamuła, W. Estimation of the Energy Consumption of Battery Electric Buses for Public Transport Networks Using Real-World Data and Deep Learning. Energies 2020, 13, 2340. https://doi.org/10.3390/en13092340
Pamuła T, Pamuła W. Estimation of the Energy Consumption of Battery Electric Buses for Public Transport Networks Using Real-World Data and Deep Learning. Energies. 2020; 13(9):2340. https://doi.org/10.3390/en13092340
Chicago/Turabian StylePamuła, Teresa, and Wiesław Pamuła. 2020. "Estimation of the Energy Consumption of Battery Electric Buses for Public Transport Networks Using Real-World Data and Deep Learning" Energies 13, no. 9: 2340. https://doi.org/10.3390/en13092340
APA StylePamuła, T., & Pamuła, W. (2020). Estimation of the Energy Consumption of Battery Electric Buses for Public Transport Networks Using Real-World Data and Deep Learning. Energies, 13(9), 2340. https://doi.org/10.3390/en13092340

