Novel Enhanced Modular Multilevel Converter for High-Voltage Direct Current Transmission Systems
Abstract
1. Introduction
- The first approach uses a large number of cells per arm, in which each cell is rated for 1.6–2.8 kV [8]. This approach avoids series connection of semiconductor switches and permits generation of high-quality ac and dc side waveforms with near-zero harmonics and dc ripples, and simplifies the bypass of faulty cells. However, the main downsides are excessive complexity of the power circuit and control and protection.
- The second approach employs a reduced number of medium-voltage (MV) cells per arm, in which each cell is typically rated for n (16–20) kV [9]. This approach requires series connection of press-pack insulated gate bipolar transistors (IGBTs), with safe short circuit mode. It addresses the shortcomings of the first approach, but the use of MV cells in the arms introduces significant errors in the synthesis of the common and differential mode voltages, which appear as dc voltage ripples and ac side harmonics. Therefore, small ac and dc side filters are needed in order to match the performance of the first approach.
2. Enhanced Modular Multilevel Converter
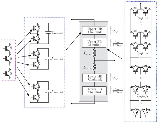
2.1. Power Circuit
2.2. Operating Principle, Modulation, and Control
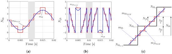
2.3. Theoretical Bases of Modulation and Control of the EMMC
2.4. Assessments of Semiconductor Losses
- Conventional IGBT-based HB-MMC with 40 HB cells per arm, with each cell is rated for 16 kV, which will be referred to as .
- Conventional IGBT HB-MMC with 400 cells per arm, which will be referred to as .
- EMMC with 40 Silicon IGBT-based HB cells and five IGBT FB cells per arm, referred to as .
- EMMC with 40 IGBT-based HB cells and five SiC-MOSFET FB cells per arm, referred to as .
- The EMMC exhibits slightly higher on-state loss compared to the conventional HB-MMC with 40 and 400 cell per arm when silicon IGBTs are employed.
- Among the silicon-based IGBT converters, and have the lowest and highest switching loss, whereas the shows level switching loss, which is lower than and . This is because of the dominant effect of switching voltage in the conventional HB-MMC with 400 cells.
- The total semiconductor loss of the is marginally lower than that of the , but higher than that of the .
- Further reduction in semiconductor loss of the SiC-MOSFET EMMC, , is possible.
3. Experimental Validation
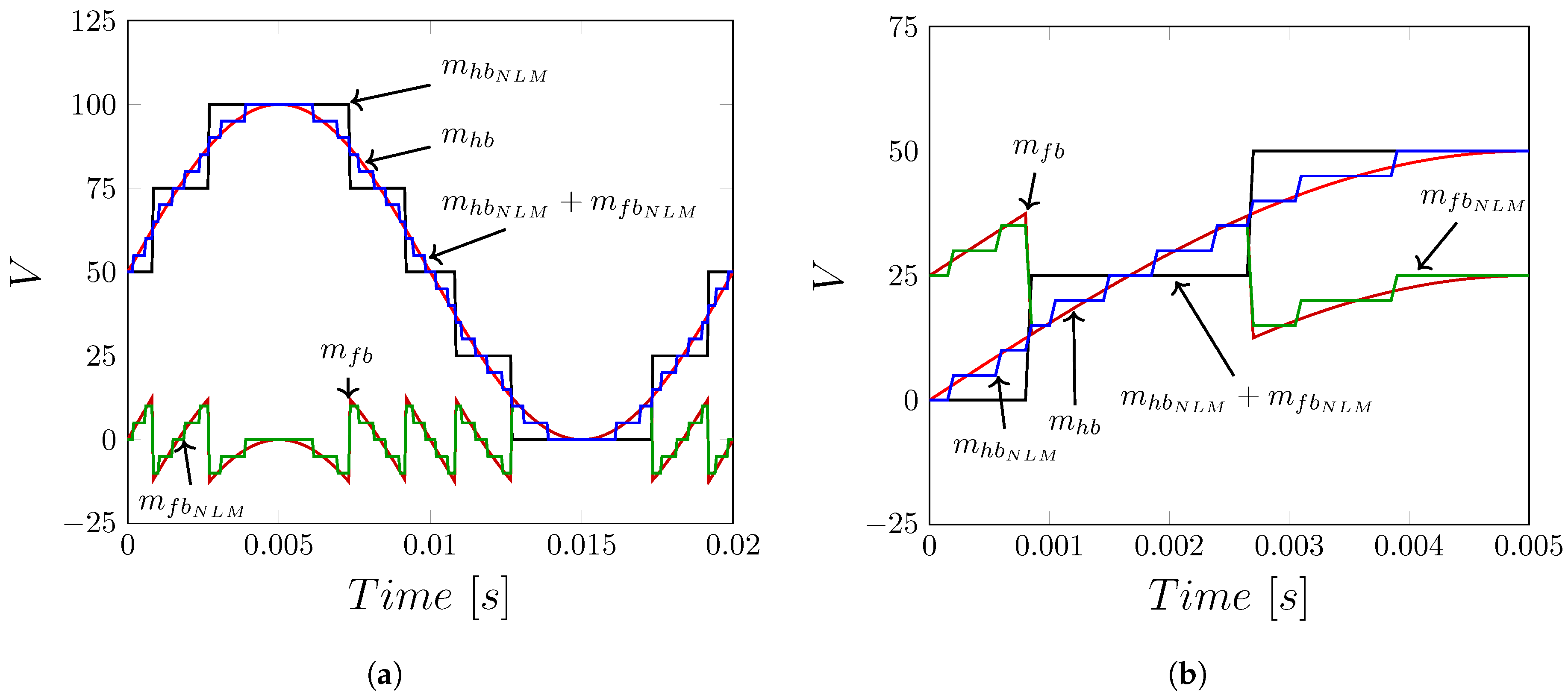
- The plots for the upper and lower arm voltages of the FB chain-links, and , are bipolar and vary between 37.5 V () and -37.5 V () through intermediate voltage levels with minor voltage step of 9.25 V ()
- Figure 4c,d presents the voltage sums of the upper and lower arms of the HB and FB cell capacitors of the EMMC. These waveforms indicate that the HB cell capacitor voltage sums are tightly regulated around the = 300 V, while the FB cell capacitor voltage sums are regulated at approximately = 37.5 V.
- Figure 4e displays the total arm voltages and . Observe that the total arm voltages and are better approximations that closely match the theoretical modulation functions of the EMMC arms. Notice that these fine waveforms are achieved with the EMMC that employs only four HB cells and four FB cells per arm.
- Figure 4f shows that the common-mode voltage that the EMMC presents at the dc side matches the dc link voltage and contains noticeable high frequency due to few number of cells per arm of the experimental prototype.
- Figure 4g,h present interesting results that show the EMMC with only four HB cells and four FB cells per arm generates better approximation of desired sinusoidal voltage and current than the conventional HB–HB.
4. Scalability and Performance Comparison
- The simulation plots in Figure 5a,b show that all the converters being compared present high-quality ac side output voltages and currents. The , with only 40 medium-voltage HB cells (each rated at 16 kV) and five FB cells (each rated at 1.6 kV), generates an ac side output phase voltage with practical identical quality (THD and ) as that of the HB-MMC with 400 cells, which each cell is rated at 1.6 kV, whereas the conventional 40-cell HB-MMC exhibits slightly inferior output ac voltage in terms of THD and dv/dt. Output phase ac voltage THDs of the , and are 1.47%, 1.32% and 1.28% respectively). The output phase current quality of the three converters (Figure 5b) remains practically similar due to sizable arm inductors which act as filters to switching frequency harmonics in the arm and output currents (Figure 5d).
- The total arm voltages displayed in Figure 5c confirm that the is able to match the in terms of output voltage quality and .
- The dc link currents and common-mode voltages shown in Figure 5e,f show that the injects significant high-frequency harmonics into the dc side compared to and . The dc voltage ripples of the , and are 5.18%, 0.22%, and 0.25%, respectively. This is because the large cell voltage of the , 16 kV, leads to larger errors in the synthesis of the instantaneous common-mode voltage compared to that of the , which is 1.6 kV and of the .
- Figure 5g shows the upper and lower arms HB cell capacitor voltage sums of the , and are well regulated around = 640 kV and exhibit similar low-frequency ripples, whereas the FB cell capacitor voltage sums remain well regulated at ~8 kV, which represent small portions of the HB cell capacitor voltage sums.
- The output voltage spectra of the , and displayed in Figure 5i show the improved harmonic performances of the and relative to . These results confirm the significant improvement that th concept of nested multilevel operation brings.
- Figure 6a shows that the multiplication effect of nested multilevel operation allows the EMMC with few HB and FB cells per arm to generate the same number of voltage levels per output phase voltage as conventional HB-MMC with large number of cells per arm. For example, , i.e., EMMC with = 4 and = 4, generate maximum of 33 voltage levels per arm or phase voltage, which is equivalent to HB-MMC with 32 cells per arm.
- Figure 6b,c indicates that the dc voltage and current ripples drop significantly faster with the growth in the number of cells in the EMMC than in the conventional HB-MMC.
- Similarly, the output voltage THD of the EMMC decreases quicker with increase in the number of cells than in the HB-MMC.
5. Conclusions
- This paper has proposed the EMMC to address the power quality shortcomings of the HB-MMC that employs reduced number of medium-voltage HB cells. Moreover, it has presented a novel nested multilevel operation to enable correct operation of the EMMC, and extra inter-arm capacitor voltage balancing controller to ensure the total voltage across the HB and FB chain-links of each arm are tightly controlled around the desired set-points.
- Unlike the MC-MMC, the proposed EMMC uses the same number of medium-voltage HB cells in its arms as that of the HB-MMC equivalent, and it adds small number of relatively low-voltage rated FB cells into each arm. The total blocking voltage of each HB chain-link in the arm of the EMMC is equal to the full pole-to-pole dc link voltage, whereas the total blocking voltage of each FB chain in the arm of the EMMC is equal to half of the HB cell capacitor voltage. In way, the total semiconductor loss associated with incorporation of these additional FB chain-links is minimized.
- The proposed nested multilevel operation concept allows the HB chain-link of the EMMC to synthesize the desired fundamental of the output voltage through rough stepped approximations of the arms voltages (which compose of fundamentals and dc offsets), with major voltage steps equal to the HB cell capacitor voltage, typically in order of 16 kV to 20 kV. On other hand, the FB chain-links of the EMMC facilitate fine and orderly stepped transitions (inter-step multilevel operation), with minor voltage steps equal to FB cell capacitor voltage (typically, ranging from 1 kV to 2.5 kV), between successive major voltage steps of the HB chain-links.
- Unlike the MC-MMC, only HB chain-links of the EMMC contribute to the synthesis of common-mode voltage dc link voltage) and differential mode voltage (ac side voltage, including fundamental component of the arm or output phase voltage), while its FB chain-links operate as active power filters which generate anti-phase voltage harmonics to nullify the inherent harmonics in the parts of the arm voltages that the HB chain-links have synthesized. The few added FB cells into the EMMC arms have significant impact in reduction of errors in the synthesis of the common and differential mode voltages. In this way, the EMMC can match the performance of the HB-MMC that employs large number low-voltage rated cells, simply by small modifications to the power circuit of the HB-MMC and proposed nested multilevel concept.
- The nested multilevel concept permits the EMMC to generate large number of voltage levels per phase or arm compared to the conventional modular and hybrid converters. For example, 640 kV dc link EMMC with 40 HB cells (each rated for 16 kV) and five FB cells (each rated for 1.6 kV) can generate 401 voltage levels per phase or arm, which is the same as HB-MMC with 400 cells (each rated for 1.6 kV). In this, case the total blocking voltage of HB and FB chain-links are 640 kV and 8 kV.
- The MC-MMC was developed for improved dc fault tolerant operation, while the EMMC is not.
Author Contributions
Funding
Conflicts of Interest
References
- Dong, H.; Xu, Z.; Song, P.; Tang, G.; Xu, Q.; Sun, L. Optimized Power Redistribution of Offshore Wind Farms Integrated VSC-MTDC Transmissions After Onshore Converter Outage. IEEE Trans. Ind. Electron. 2017, 64, 8948–8958. [Google Scholar] [CrossRef]
- Alsokhiry, F.; Adam, G.; Al-Turki, Y. Limitations of voltage source converter in weak ac networks from voltage stability point of view. Int. J. Electr. Power Energy Syst. 2020, 119, 105899. [Google Scholar] [CrossRef]
- Henderson, C.; Vozikis, D.; Holliday, D.; Bian, X.; Egea-Àlvarez, A. Assessment of Grid-Connected Wind Turbines with an Inertia Response by Considering Internal Dynamics. Energies 2020, 13, 1038. [Google Scholar] [CrossRef]
- Oates, C. Modular Multilevel Converter Design for VSC HVDC Applications. IEEE J. Emerg. Sel. Top. Power Electron. 2015, 3, 505–515. [Google Scholar] [CrossRef]
- Rodriguez, J.; Bernet, S.; Wu, B.; Pontt, J.O.; Kouro, S. Multilevel Voltage-Source-Converter Topologies for Industrial Medium-Voltage Drives. IEEE Trans. Ind. Electron. 2007, 54, 2930–2945. [Google Scholar] [CrossRef]
- Zeng, R.; Xu, L.; Yao, L.; Finney, S.J. Analysis and Control of Modular Multilevel Converters under Asymmetric Arm Impedance Conditions. IEEE Trans. Ind. Electron. 2016, 63, 71–81. [Google Scholar] [CrossRef]
- Deng, F.; Tian, Y.; Zhu, R.; Chen, Z. Fault-Tolerant Approach for Modular Multilevel Converters Under Submodule Faults. IEEE Trans. Ind. Electron. 2016, 63, 7253–7263. [Google Scholar] [CrossRef]
- Friedrich, K. Modern HVDC PLUS application of VSC in Modular Multilevel Converter topology. In Proceedings of the 2010 IEEE International Symposium on Industrial Electronics, Bari, Italy, 4–7 July 2010; pp. 3807–3810. [Google Scholar] [CrossRef]
- Jacobson, B.; Karlsson, P.; Asplund, G.; Harnnart, L.; Jonsson, T. VSC-HVDC Transmission with Cascaded Two-Level Converters; CIGRE: East Lansing, MI, USA, 2014. [Google Scholar]
- Debnath, S.; Qin, J.; Bahrani, B.; Saeedifard, M.; Barbosa, P. Operation, Control, and Applications of the Modular Multilevel Converter: A Review. IEEE Trans. Power Electron. 2015, 30, 37–53. [Google Scholar] [CrossRef]
- Neeb, C.; Boettcher, L.; Conrad, M.; Doncker, R.W.D. Innovative and Reliable Power Modules: A Future Trend and Evolution of Technologies. IEEE Ind. Electron. Mag. 2014, 8, 6–16. [Google Scholar] [CrossRef]
- Nami, A.; Liang, J.; Dijkhuizen, F.; Demetriades, G.D. Modular Multilevel Converters for HVDC Applications: Review on Converter Cells and Functionalities. IEEE Trans. Power Electron. 2015, 30, 18–36. [Google Scholar] [CrossRef]
- Adam, G.P.; Abdelsalam, I.; Fletcher, J.E.; Burt, G.M.; Holliday, D.; Finney, S.J. New Efficient Submodule for a Modular Multilevel Converter in Multiterminal HVDC Networks. IEEE Trans. Power Electron. 2017, 32, 4258–4278. [Google Scholar] [CrossRef]
- Perez, M.A.; Bernet, S.; Rodriguez, J.; Kouro, S.; Lizana, R. Circuit Topologies, Modeling, Control Schemes, and Applications of Modular Multilevel Converters. IEEE Trans. Power Electron. 2015, 30, 4–17. [Google Scholar] [CrossRef]
- Zeng, R.; Xu, L.; Yao, L.; Williams, B.W. Design and Operation of a Hybrid Modular Multilevel Converter. IEEE Trans. Power Electron. 2015, 30, 1137–1146. [Google Scholar] [CrossRef]
- Dekka, A.; Wu, B.; Zargari, N.R. Start-Up Operation of a Modular Multilevel Converter With Flying Capacitor Submodules. IEEE Trans. Power Electron. 2017, 32, 5873–5877. [Google Scholar] [CrossRef]
- Mathew, E.C.; Ghat, M.B.; Shukla, A. A Generalized Cross-Connected Submodule Structure for Hybrid Multilevel Converters. IEEE Trans. Ind. Appl. 2016, 52, 3159–3170. [Google Scholar] [CrossRef]
- Zhang, J.; Zhao, C. The Research of SM Topology With DC Fault Tolerance in MMC-HVDC. IEEE Trans. Power Deliv. 2015, 30, 1561–1568. [Google Scholar] [CrossRef]
- Oliveira, R.; Yazdani, A. A Modular Multilevel Converter With DC Fault Handling Capability and Enhanced Efficiency for HVdc System Applications. IEEE Trans. Power Electron. 2017, 32, 11–22. [Google Scholar] [CrossRef]
- Yu, X.; Wei, Y.; Jiang, Q. STATCOM Operation Scheme of the CDSM-MMC During a Pole-to-Pole DC Fault. IEEE Trans. Power Deliv. 2016, 31, 1150–1159. [Google Scholar] [CrossRef]
- Vozikis, D.; Adam, G.; Holliday, D.; Finney, S. An Improved Alternate Arm Converter for HVDC Applications. In Proceedings of the IECON 2018—44th Annual Conference of the IEEE Industrial Electronics Society, Washington, DC, USA, 21–23 October 2018; pp. 3921–3925. [Google Scholar] [CrossRef]
- Vozikis, D.; Rault, P.; Holliday, D.; Finney, S. Fault blocking converters for HVDC transmission: A transient behaviour comparison. J. Eng. 2019, 2019, 3825–3830. [Google Scholar] [CrossRef]
- Qin, J.; Saeedifard, M. Reduced Switching-Frequency Voltage-Balancing Strategies for Modular Multilevel HVDC Converters. Power Deliv. IEEE Trans. 2013, 28, 2403–2410. [Google Scholar] [CrossRef]
- Saeedifard, M.; Iravani, R. Dynamic Performance of a Modular Multilevel Back-to-Back HVDC System. IEEE Trans. Power Deliv. 2010, 25, 2903–2912. [Google Scholar] [CrossRef]
- Harnefors, L.; Antonopoulos, A.; Norrga, S.; Angquist, L.; Nee, H.P. Dynamic Analysis of Modular Multilevel Converters. IEEE Trans. Ind. Electron. 2013, 60, 2526–2537. [Google Scholar] [CrossRef]
- Vozikis, D.; Adam, G.; Rault, P.; Tzelepis, D.; Holliday, D.; Finney, S. Steady-state performance of state-of-the-art modular multilevel and alternate arm converters with DC fault-blocking capability. Int. J. Electr. Power Energy Syst. 2018, 99, 618–629. [Google Scholar] [CrossRef]






| Losses | Conduction [MW] | Switching [MW] | Total [MW] |
|---|---|---|---|
| 4.75 | 1.14 | 5.89 | |
| 4.75 | 1.75 | 6.50 | |
| 4.97 | 1.35 | 6.32 | |
| 5.08 | 1.14 | 6.22 |
| [V] | 300 |
| [] | 17 |
| / | 4/4 |
| [kHz] | 2.5 |
| [mH] | 5 |
| / / [mF] | 2.2/4.4/5 |
| Cells | = 40 | = 400 | = 40 = 5 |
|---|---|---|---|
| HB chain-link modulation | PWM | NLM | NLM |
| FB chain-link modulation | - | - | NLM |
| HB cell voltage [kV] | 16 | 1.6 | 16 |
| FB cell voltage [kV] | - | - | 0.8 |
| HB cell capacitance [mF] | 1.30 | 13.02 | 1.30 |
| FB cell capacitance [mF] | - | - | 6.51 |
| P [MW] | 1000 | ||
| [kV] | 640 | ||
| [p.u.] | 0.05 | ||
© 2020 by the authors. Licensee MDPI, Basel, Switzerland. This article is an open access article distributed under the terms and conditions of the Creative Commons Attribution (CC BY) license (http://creativecommons.org/licenses/by/4.0/).
Share and Cite
Vozikis, D.; Alsokhiry, F.; Adam, G.P.; Al-Turki, Y. Novel Enhanced Modular Multilevel Converter for High-Voltage Direct Current Transmission Systems. Energies 2020, 13, 2257. https://doi.org/10.3390/en13092257
Vozikis D, Alsokhiry F, Adam GP, Al-Turki Y. Novel Enhanced Modular Multilevel Converter for High-Voltage Direct Current Transmission Systems. Energies. 2020; 13(9):2257. https://doi.org/10.3390/en13092257
Chicago/Turabian StyleVozikis, Dimitrios, Fahad Alsokhiry, Grain Philip Adam, and Yusuf Al-Turki. 2020. "Novel Enhanced Modular Multilevel Converter for High-Voltage Direct Current Transmission Systems" Energies 13, no. 9: 2257. https://doi.org/10.3390/en13092257
APA StyleVozikis, D., Alsokhiry, F., Adam, G. P., & Al-Turki, Y. (2020). Novel Enhanced Modular Multilevel Converter for High-Voltage Direct Current Transmission Systems. Energies, 13(9), 2257. https://doi.org/10.3390/en13092257

