Fuzzy Control of Waves Generation in a Towing Tank
Abstract
1. Introduction
2. Energy Transformation
3. Model of the Fuzzy-Logic Controller
- Negative Fast (NF) with L-type membership function,
- Negative Medium (NM) with -type membership function,
- Zero (ZO) with -type membership function,
- Positive Medium (PM) with -type membership function,
- Positive Fast (PF) with -type membership function.
- Negative Large (NL) with L-type membership function,
- Negative Medium (NM) with -type membership function,
- Zero (ZO) with -type membership function,
- Positive Medium (PM) with -type membership function,
- Positive Large (PL) with -type membership function.
- Positive Large (PL) with -type membership function,
- Positive Medium (PM) with -type membership function,
- Zero (ZO) with -type membership function,
- Negative Medium (NM) with -type membership function,
- Negative Large (NL) with -type membership function.
4. Implementation of the Model
5. Validation of the Solution
6. Results
7. Conclusions
Author Contributions
Funding
Conflicts of Interest
Abbreviations
| APC | Article processing charges |
| CTO S.A. | Centrum Techniki Okrętowej Spółka Akcyjna (Maritime Advanced Research Centre in Polish) |
| FL | Fuzzy-logic controller |
| PI | Proportional-integral cascading controllers |
References
- Dudziak, J. Dynamika środowiska. In Teoria OkręTu; Dudziak, J., Ed.; Wydawnictwo Morskie: Gdańsk, Poland, 1988; p. 338. (In Polish) [Google Scholar]
- Buckingham, E. On Physically Similar Systems; Illustrations of the Use of Dimensional Equations. Phys. Rev. 1914, 4, 345–376. [Google Scholar] [CrossRef]
- Ordonez-Sanchez, S.; Allmark, M.; Porter, K.; Ellis, R.; Lloyd, C.; Santic, I.; O’Doherty, T.; Johnstone, C. Analysis of a Horizontal-Axis Tidal Turbine Performance in the Presence of Regular and Irregular Waves Using Two Control Strategies. Energies 2019, 12, 367. [Google Scholar] [CrossRef]
- Chybowski, L.; Grządziel, Z.; Gawdzińska, K. Simulation and Experimental Studies of a Multi-Tubular Floating Sea Wave Damper. Energies 2018, 11, 1012. [Google Scholar] [CrossRef]
- Stratigaki, V.; Troch, P.; Stallard, T.; Forehand, D.; Kofoed, J.P.; Folley, M.; Benoit, M.; Babarit, A.; Kirkegaard, J. Wave Basin Experiments with Large Wave Energy Converter Arrays to Study Interactions between the Converters and Effects on Other Users in the Sea and the Coastal Area. Energies 2014, 7, 701–734. [Google Scholar] [CrossRef]
- Poguluri, S.K.; Cho, I.-H.; Bae, Y.H. A Study of the Hydrodynamic Performance of a Pitch-type Wave Energy Converter–Rotor. Energies 2019, 12, 842. [Google Scholar] [CrossRef]
- Drzewiecki, M. Control of the Waves in a Towing Tank with the Use of a Black-Box Model. ZN WEiA PG 2018, 59, 37–42. [Google Scholar] [CrossRef]
- Iafrati, A.; Drazen, D.; Kent, C.; Fujiwara, T.; Zong, Z.; Ma, Y.; Kim, H.J.; Xiao, L.; Hennig, J.; Sharnke, J. Laboratory modelling of Waves: Regular, irregular and extreme events. In Proceedings of the 28th ITTC Specialist Committee on Modeling of Environmental Conditions, Wuxi, China, 17–22 September 2017; p. 8. [Google Scholar]
- Havelock, T.H. Forced surface-wave on water. Phyl. Mag. 1929, 8, 569–576. [Google Scholar] [CrossRef]
- Biésel, F.; Suquet, F. Les appareils en générateurs laboratoire, Laboratory wave generating apparatus. LHB 1951, 2, 147–165. [Google Scholar] [CrossRef]
- Biésel, F.; Suquet, F. Les appareils en générateurs laboratoire, Laboratory wave generating apparatus. LHB 1951, 4, 475–496. [Google Scholar] [CrossRef][Green Version]
- Biésel, F.; Suquet, F. Les appareils en générateurs laboratoire, Laboratory wave generating apparatus. LHB 1951, 5, 723–737. [Google Scholar] [CrossRef]
- Biésel, F.; Suquet, F. Les appareils en générateurs laboratoire, Laboratory wave generating apparatus. LHB 1952, 6, 779–801. [Google Scholar] [CrossRef][Green Version]
- Ursell, F.; Dean, R.G.; Yu, Y.S. Forced small amplitude waves: A comparison of theory and experiment. J. Fluid Mech. 1960, 7, 33–52. [Google Scholar] [CrossRef]
- Galvin, C.J. Wave-height prediction for wave generators in shallow water. In Technical Memorandum No. 4; Department of the Army Corps of Engineers: Washington, DC, USA, 1964; pp. 1–20. [Google Scholar]
- Keating, T.; Webber, N.B. The generation of periodic waves in a laboratory channel: A comparison between theory and experiment. In Proceedings of the Institution of Civil Engineers—Volume 63; Department of Civil Engineering: Southampton, UK, 1977; pp. 819–832. [Google Scholar] [CrossRef]
- Campos, C.; Silveira, F.; Mendes, M. Waves inducted by non-permanent paddle movements. In Coastal Engineering Proceedings—Volume 13; American Society of Civil Engineers: Vancouver, BC, Canada, 1972; pp. 707–722. [Google Scholar] [CrossRef]
- Hudspeth, R.T.; Sulisz, W. Stokes drift in 2-D wave flumes. J. Fluid Mech. 1991, 230, 209–229. [Google Scholar] [CrossRef]
- Madsen, O.S. On the generation of long waves. J. Geo. Res. 1971, 76, 8672–8683. [Google Scholar] [CrossRef]
- Moubayed, W.I.; Williams, A.N. Second-order bichromatic waves produced by a generic planar wavemaker in a two-dimensional wave flume. J. Fluids Struct. 1994, 8, 73–92. [Google Scholar] [CrossRef]
- Schaffer, H.A. Second-order wavemaker theory for irregular waves. Ocean Eng. 1996, 23, 47–88. [Google Scholar] [CrossRef]
- Sulisz, W.; Hudspeth, R.T. Complete second order solution for water waves generated in wave flumes. J. Fluids Struct. 1993, 7, 253–268. [Google Scholar] [CrossRef]
- Grilli, S.; Horrillo, J. Numerical Generation and Absorption of Fully Nonlinear Periodic Waves. J. Eng. Mech. 1997, 123, 1060–1069. [Google Scholar] [CrossRef]
- Liu, S.-X.; Teng, B.; Yu, Y.-X. Wave generation in a computation domain. Appl. Math. Mod. 2005, 29, 1–17. [Google Scholar] [CrossRef]
- Liu, X.; Lin, P.; Shao, S. ISPH wave simulation by using an internal wave maker. Coast. Eng. 2015, 95, 160–170. [Google Scholar] [CrossRef]
- Multer, R.H. Exact nonlinear model of wave generator. J. Hydr. Res. 1973, 99, 31–46. [Google Scholar]
- Zhang, X.T.; Khoo, B.C.; Lou, J. Wave propagation in a fully nonlinear numerical wave tank: A desingularized method. Ocean Eng. 2006, 33, 2310–2331. [Google Scholar] [CrossRef]
- Zheng, J.; Soe, M.M.; Zhang, C.; Hsu, T.-W. Numerical wave flume with improved smoothed particle hydrodynamics. J. Hydr. 2010, 22, 773–781. [Google Scholar] [CrossRef]
- Wang, W.; Kamath, A.; Pakozdi, C.; Bihs, H. Investigation of Focusing Wave Properties in a Numerical Wave Tank with a Fully Nonlinear Potential Flow Model. J. Mar. Sci. Eng. 2019, 7, 375. [Google Scholar] [CrossRef]
- Windt, C.; Davidson, J.; Schmitt, P.; Ringwood, J.V. On the Assessment of Numerical Wave Makers in CFD Simulations. J. Mar. Sci. Eng. 2019, 7, 47. [Google Scholar] [CrossRef]
- Schmitt, P.; Windt, C.; Davidson, J.; Ringwood, J.V.; Whittaker, T. The Efficient Application of an Impulse Source Wavemaker to CFD Simulations. J. Mar. Sci. Eng. 2019, 7, 71. [Google Scholar] [CrossRef]
- Lee, S.; Hong, J.-W. A Semi-Infinite Numerical Wave Tank Using Discrete Particle Simulations. J. Mar. Sci. Eng. 2020, 8, 159. [Google Scholar] [CrossRef]
- Jia, W.; Liu, S.; Li, J.; Fan, Y. A Three-Dimensional Numerical Model with an L-Type Wave-Maker System for Water Wave Simulations by the Moving Boundary Method. Water 2020, 12, 161. [Google Scholar] [CrossRef]
- Drzewiecki, M.; Sulisz, W. Generation and Propagation of Nonlinear Waves in a Towing Tank. PMR 2019, 1, 125–133. [Google Scholar] [CrossRef]
- Xu, G.; Hao, H.; Ma, Q.; Gui, Q. An Experimental Study of Focusing Wave Generation with Improved Wave Amplitude Spectra. Water 2019, 11, 2521. [Google Scholar] [CrossRef]
- Eldrup, M.R.; Lykke Andersen, T. Applicability of Nonlinear Wavemaker Theory. J. Mar. Sci. Eng. 2019, 7, 14. [Google Scholar] [CrossRef]
- Iafrati, A.; Drazen, D.; Kent, C.; Fujiwara, T.; Zong, Z.; Ma, Y.; Kim, H.J.; Xiao, L.; Hennig, J.; Sharnke, J. Report of the Specialist Committee on Modelling of Environmental Conditions. In Proceedings of the 28th ITTC Specialist Committee on Modeling of Environmental Conditions, Wuxi, China, 17−22 Septemper 2017; pp. 757–778. [Google Scholar]
- Lechevallier, F. 12 metre wave generator operator’s manual. In Maritime Advanced Research Centre (CTO S.A.) Archives; ALSTHOM techniques des fluids: Gdańsk, Poland, 1974. [Google Scholar]
- Drzewiecki, M. The modernizing of cascade control system of the wave generator for towing tank. ZN WEiA PG 2015, 47, 39–42. [Google Scholar]
- Drzewiecki, M. Digital control system of the wave maker in the towing tank. AEZ 2016, 7, 138–146. [Google Scholar] [CrossRef]
- Drzewiecki, M. Modelling, Simulation and Optimization of the Wavemaker in a Towing Tank. In Advances in Intelligent Systems and Computing—Volume 577; Mitkowski, W., Kacprzyk, J., Oprzędkiewicz, K., Skruch, P., Eds.; Springer International Publishing AG: Cham, Switzerland, 2017; pp. 570–579. [Google Scholar]
- Sinthipsomboon, K.; Hunsacharoonroj, I.; Khedari, J.; Pongaen, W.; Pratumsuwan, P. A Hybrid of Fuzzy and Fuzzy Self-Tuning PID Controller for Servo Electro-Hydraulic System. In Recent Advances in Theory and Applications; INTECH: London, UK, 2012; pp. 299–314. [Google Scholar]
- Jianxin, L.; Ping, T. Fuzzy Logic Control of Integrated Hydraulic Actuator Unit Using High Speed Switch Valves. In Proceedings of the 2009 International Conference on Computational Intelligence and Natural Computing—Volume 01, Wuhan, China, 6–7 June 2009; pp. 370–373. [Google Scholar]
- Wonohadidjojo, D.M.; Kothapalli, G.; Hassan, M.Y. Position Control of Electro-Hydraulic Actuator using Fuzzy Logic Controller Optimized by Particle Swarm Optimization. IJAC 2013, 10, 181–193. [Google Scholar] [CrossRef]
- Stansberg, C.T.; Contento, G.; Hong, S.W.; Irani, M.; Ishida, S.; Mercier, R.; Wang, Y.; Wolfram, J.; Chaplin, J.; Kriebel, D. Final Report and Recommendations to the 23rd ITTC. In Proceedings of the 23rd ITTC—Volume II, Specialist Committee on Waves, Venice, Italy, 8–14 September 2002; pp. 517, 544–551. [Google Scholar]
- Cox, G.G.; Andrew, R.N.; Dern, J.C.; Faltinsen, O.; Journée, J.M.J.; Lau, K.; Loukakis, T.; Takaishi, Y.; Takezawa, S. Report of the Seakeeping Committee. In Proceedings of the 17th ITTC—Volume I, Seakeeping Committee, Goteborg, Sweden, 8–15 September 1984; p. 482. [Google Scholar]
- Maria-Arenas, A.; Garrido, A.J.; Rusu, E.; Garrido, I. Control Strategies Applied to Wave Energy Converters: State of the Art. Energies 2019, 12, 3115. [Google Scholar] [CrossRef]
- Jusoh, M.A.; Ibrahim, M.Z.; Daud, M.Z.; Albani, A.; Mohd Yusop, Z. Hydraulic Power Take-Off Concepts for Wave Energy Conversion System: A Review. Energies 2019, 12, 4510. [Google Scholar] [CrossRef]
- Giannini, G.; Rosa-Santos, P.; Ramos, V.; Taveira-Pinto, F. On the Development of an Offshore Version of the CECO Wave Energy Converter. Energies 2020, 13, 1036. [Google Scholar] [CrossRef]
- Rajapakse, G.; Jayasinghe, S.; Fleming, A. Power Smoothing and Energy Storage Sizing of Vented Oscillating Water Column Wave Energy Converter Arrays. Energies 2020, 13, 1278. [Google Scholar] [CrossRef]
- Zadeh, L.A. Fuzzy sets. IC 1965, 8, 338–353. [Google Scholar] [CrossRef]
- Driankov, D.; Hellendoorn, H.; Reinfrank, M. Stability of Fuzzy Control Systems. In An Introduction to Fuzzy Control; Springer: Berlin/Heidelberg, Germany, 1993; pp. 245–292. [Google Scholar]
- Jama, M.; Wahyudie, A.; Assi, A.; Noura, H. An Intelligent Fuzzy Logic Controller for Maximum Power Capture of Point Absorbers. Energies 2014, 7, 4033–4053. [Google Scholar] [CrossRef]
- Lin, Z.; Wei, Q.; Ji, R.; Huang, X.; Yuan, Y.; Zhao, Z. An Electro-Pneumatic Force Tracking System using Fuzzy Logic Based Volume Flow Control. Energies 2019, 12, 4011. [Google Scholar] [CrossRef]
- Liu, D.; Xiao, Z.; Li, H.; Liu, D.; Hu, X.; Malik, O. Accurate Parameter Estimation of a Hydro-Turbine Regulation System Using Adaptive Fuzzy Particle Swarm Optimization. Energies 2019, 12, 3903. [Google Scholar] [CrossRef]
- ESI Group. Scilab 5.5.2 release. In Scilab 5.5.2; ESI Group: Rungis, France, 2015. [Google Scholar]
- Nahrstaedt, H.; Grez, J.U. Fuzzy Logic Toolbox—version 0.4.7. In Automatic Modules Management for Scilab; Technical University of Berlin: Berlin, Germany, 2014. [Google Scholar]
- Michels, K.; Kruse, R. Numerical Stability Analysis for Fuzzy Control. IJAR 1997, 16, 3–24. [Google Scholar] [CrossRef][Green Version]
- Microsoft Corporation. Microsoft Corporation. Microsoft Visual Studio Express 2012 for Windows Desktop. In Older Downloads; Microsoft Corporation: Redmond, WA, USA, 2012. [Google Scholar]
- Kühner, J. Introducing the .NET Micro Framework. In Expert .NET Micro Framework; Apress: New York, NY, USA, 2009; pp. 1–14. [Google Scholar] [CrossRef]
- Drzewiecki, M. A Method and an Ultra-Sound Device for a Wave Profile Measurement in Real Time on the Surface of Liquid, Particularly in a Model Basin; European Patent Application No. EP19460026.8; European Patent Office: Munich, Germany, 2019. [Google Scholar]
- Eaton, J.W. Octave 5.1.0 Release. Available online: https://www.gnu.org/software/octave/news/release/2019/03/01/octave-5.1-released.html (accessed on 13 April 2020).
- Miller, M. Signal Processing Package—Version 1.4.1. Available online: https://octave.sourceforge.io/signal/index.html (accessed on 13 April 2020).

















| NL(FPE) | NM(FPE) | ZO(FPE) | PM(FPE) | PL(FPE) | |
|---|---|---|---|---|---|
| PF(FVE) | PM(S) | PM(S) | PM(S) | PL(S) | PL(S) |
| PM(FVE) | PM(S) | PM(S) | PM(S) | PM(S) | PL(S) |
| ZO(FVE) | NM(S) | NM(S) | ZO(S) | PM(S) | PM(S) |
| NM(FVE) | NL(S) | NM(S) | NM(S) | NM(S) | NM(S) |
| NF(FVE) | NL(S) | NL(S) | NM(S) | NM(S) | NM(S) |
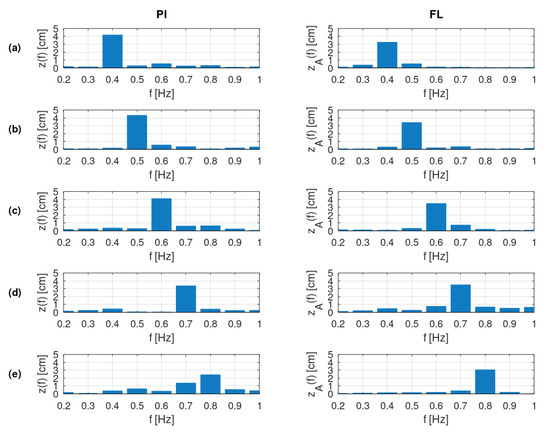
| No. | f | (PI) | (FL) | |
|---|---|---|---|---|
| - | Hz | cm | cm | cm |
| 1 | 0.4 | 4.18 | 3.25 | 3.5 |
| 2 | 0.5 | 4.32 | 3.41 | 3.5 |
| 3 | 0.6 | 4.09 | 3.47 | 3.5 |
| 4 | 0.7 | 3.37 | 3.49 | 3.5 |
| 5 | 0.8 | 2.42 | 3.06 | 3.5 |
| No. | f | L(PI) | L(FL) |
|---|---|---|---|
| - | Hz | dB | dB |
| 1 | 0.4 | 1.54 | −0.63 |
| 2 | 0.5 | 1.83 | −0.23 |
| 3 | 0.6 | 1.36 | −0.08 |
| 4 | 0.7 | −0.34 | −0.02 |
| 5 | 0.8 | −3.21 | −1.18 |
© 2020 by the authors. Licensee MDPI, Basel, Switzerland. This article is an open access article distributed under the terms and conditions of the Creative Commons Attribution (CC BY) license (http://creativecommons.org/licenses/by/4.0/).
Share and Cite
Drzewiecki, M.; Guziński, J. Fuzzy Control of Waves Generation in a Towing Tank. Energies 2020, 13, 2049. https://doi.org/10.3390/en13082049
Drzewiecki M, Guziński J. Fuzzy Control of Waves Generation in a Towing Tank. Energies. 2020; 13(8):2049. https://doi.org/10.3390/en13082049
Chicago/Turabian StyleDrzewiecki, Marcin, and Jarosław Guziński. 2020. "Fuzzy Control of Waves Generation in a Towing Tank" Energies 13, no. 8: 2049. https://doi.org/10.3390/en13082049
APA StyleDrzewiecki, M., & Guziński, J. (2020). Fuzzy Control of Waves Generation in a Towing Tank. Energies, 13(8), 2049. https://doi.org/10.3390/en13082049

