Optimal Location of Fast Charging Stations for Mixed Traffic of Electric Vehicles and Gasoline Vehicles Subject to Elastic Demands
Abstract
1. Introduction
2. Literature Review
3. Problem Assumptions and EV Paths Analysis
3.1. Notations
3.2. Propose Assumptions
- (a)
- There are two types of users in the mixed network: GVs and EVs, where EVs have an identical range limit;
- (b)
- The travel demand of GVs and EVs between each OD pair is elastic. And two types of vehicles have incomplete information about the travel cost;
- (c)
- Each EV is fully charged at its origin;
- (d)
- The level of anxiety and risk-taking behaviors of EV drivers are not considered in this model;
- (e)
- The charging time of electric vehicles is linearly related to mileage;
- (f)
- The charging facilities will be placed in the middle of links whose EV flow ranks p;
- (g)
- Deploying the charging facility on the road/path will increase the attractiveness of the route, which is called the utility of the charging facilities U, reducing the path travel cost;
- (h)
- Charging facilities have a fixed charging capacity. It is assumed that the waiting cost is proportional to the attraction value, expressed by .
3.3. Analysis of EV Paths
4. Establish a Double-Layer Model
4.1. Upper Level Problem
4.2. Lower Level Problem
5. Solution Method
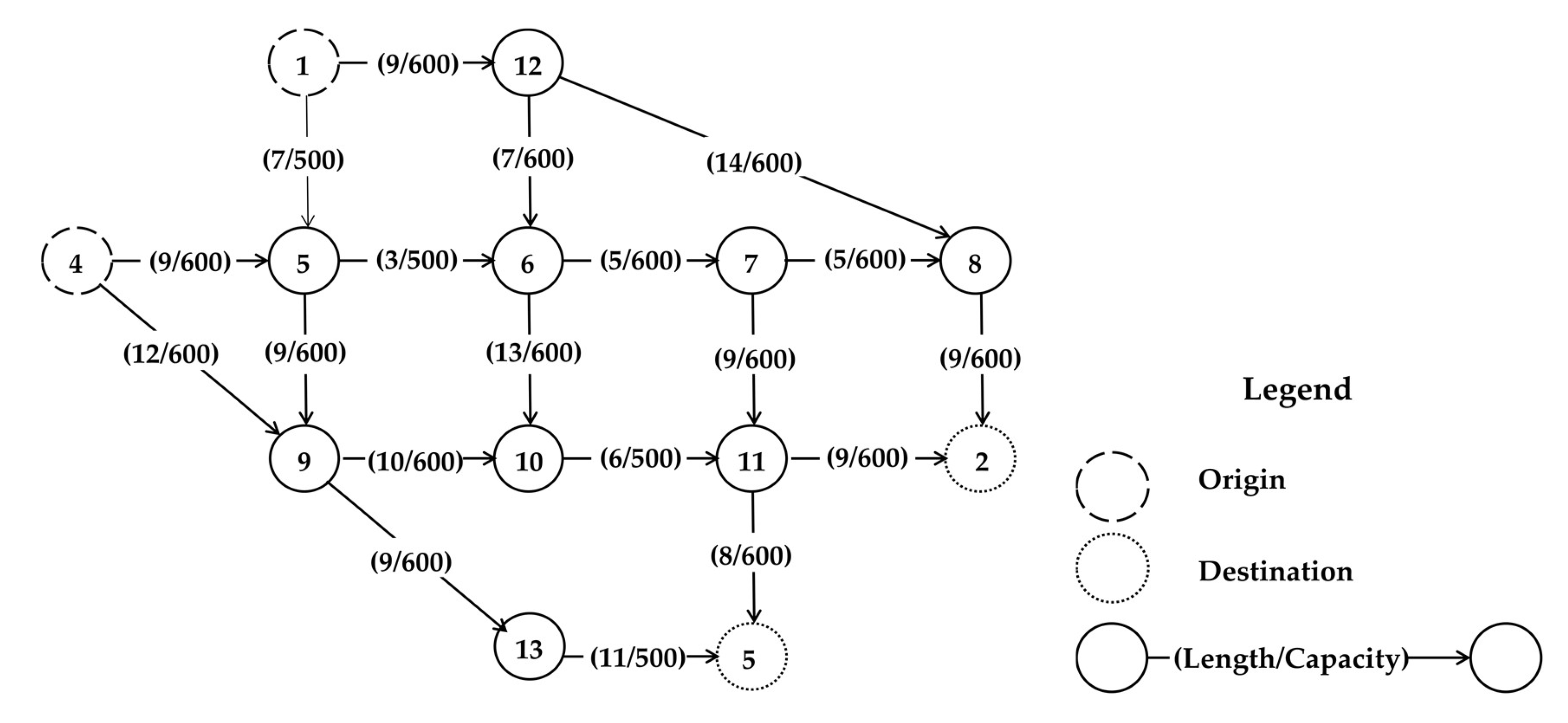
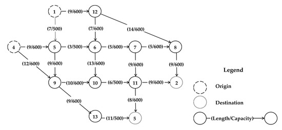
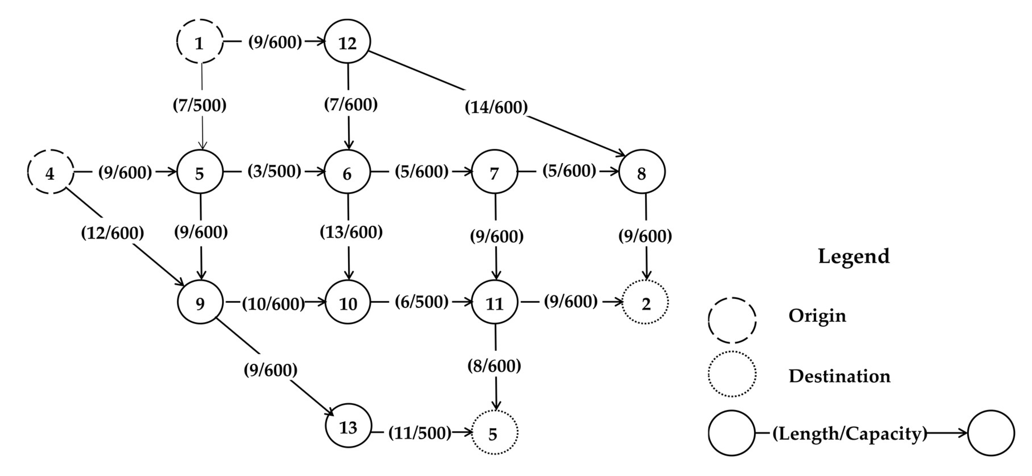
6. Numerical Analysis
7. Conclusions
Author Contributions
Funding
Acknowledgments
Conflicts of Interest
References
- Pan, L.; Yao, E.; MacKenzie, D.; Zhang, R. Environmental Effects of BEV Penetration Considering Traffic Status. J. Transp. Eng. Part A Syst. 2019, 145, 04019048. [Google Scholar] [CrossRef]
- Bapna, R.; Thakur, L.S.; Nair, S.K. Infrastructure development for conversion to environmentally friendly fuel. Eur. J. Oper. Res. 2002, 142, 480–496. [Google Scholar] [CrossRef]
- Wang, Y.; Liu, Z.; Shi, J.; Wu, G.; Wang, R. Joint Optimal Policy for Subsidy on Electric Vehicles and Infrastructure Construction in Highway Network. Energies 2018, 11, 2479. [Google Scholar] [CrossRef]
- Dong, J.; Liu, C.; Lin, Z. Charging infrastructure planning for promoting battery electric vehicles: An activity-based approach using multiday travel data. Transp. Res. Part C Emerg. Technol. 2014, 38, 44–55. [Google Scholar] [CrossRef]
- Wang, J.; Liu, K.; Yamamoto, T. Improving Electricity Consumption Estimation for Electric Vehicles Based on Sparse GPS Observations. Energies 2017, 10, 129. [Google Scholar] [CrossRef]
- Xu, M.; Meng, Q.; Liu, K.; Yamamoto, T. Joint charging mode and location choice model for battery electric vehicle users. Transp. Res. Part B Methodol. 2017, 103, 68–86. [Google Scholar] [CrossRef]
- Wang, H.; Zhao, D.; Meng, Q.; Ong, G.P.; Lee, D.-H. Network-level energy consumption estimation for electric vehicles considering vehicle and user heterogeneity. Transp. Res. Part A Policy Pr. 2020, 132, 30–46. [Google Scholar] [CrossRef]
- Jin, F.; Yao, E.; An, K. Analysis of the potential demand for battery electric vehicle sharing: Mode share and spatiotemporal distribution. J. Transp. Geogr. 2020, 82, 102630. [Google Scholar] [CrossRef]
- Liu, K.; Wang, J.; Yamamoto, T.; Morikawa, T. Modelling the multilevel structure and mixed effects of the factors influencing the energy consumption of electric vehicles. Appl. Energy 2016, 183, 1351–1360. [Google Scholar] [CrossRef]
- Liu, K.; Yamamoto, T.; Morikawa, T. Impact of road gradient on energy consumption of electric vehicles. Transp. Res. Part D Transp. Environ. 2017, 54, 74–81. [Google Scholar] [CrossRef]
- Liu, K.; Wang, J.; Yamamoto, T.; Morikawa, T. Exploring the interactive effects of ambient temperature and vehicle auxiliary loads on electric vehicle energy consumption. Appl. Energy 2018, 227, 324–331. [Google Scholar] [CrossRef]
- Wu, X.; Freese, D.; Cabrera, A.; Kitch, W.A. Electric vehicles’ energy consumption measurement and estimation. Transp. Res. Part D Transp. Environ. 2015, 34, 52–67. [Google Scholar] [CrossRef]
- Jiang, N.; Xie, C.; Waller, T. Path-Constrained Traffic Assignment. Transp. Res. Rec. J. Transp. Res. Board 2012, 2283, 25–33. [Google Scholar] [CrossRef]
- Tang, T.-Q.; Chen, L.; Yang, S.-C.; Shang, H.-Y. An extended car-following model with consideration of the electric vehicle’s driving range. Phys. A Stat. Mech. Appl. 2015, 430, 148–155. [Google Scholar] [CrossRef]
- Wang, H.; Zhao, D.; Cai, Y.; Meng, Q.; Ong, G.P. A trajectory-based energy consumption estimation method considering battery degradation for an urban electric vehicle network. Transp. Res. Part D Transp. Environ. 2019, 74, 142–153. [Google Scholar] [CrossRef]
- Huan, N.; Yao, E.; Fan, Y.; Wang, Z. Evaluating the Environmental Impact of Bus Signal Priority at Intersections under Hybrid Energy Consumption Conditions. Energies 2019, 12, 4555. [Google Scholar] [CrossRef]
- Guo, C.; Yang, J.; Yang, L. Planning of Electric Vehicle Charging Infrastructure for Urban Areas with Tight Land Supply. Energies 2018, 11, 2314. [Google Scholar] [CrossRef]
- Gartner, N.H. Optimal Traffic Assignment with Elastic Demands: A Review Part I. Analysis Framework. Transp. Sci. 1980, 14, 174–191. [Google Scholar] [CrossRef]
- Hakimi, S.L. Optimum Locations of Switching Centers and the Absolute Centers and Medians of a Graph. Oper. Res. 1964, 12, 450–459. [Google Scholar] [CrossRef]
- Daskin, M. Network and Discrete Location: Models, Algorithms and Applications. J. Oper. Res. Soc. 1997, 48, 763–764. [Google Scholar] [CrossRef]
- Hodgson, M.J.; Rosing, K.E. A network location-allocation model trading off flow capturing and p-median objectives. Ann. Oper. Res. 1992, 40, 247–260. [Google Scholar] [CrossRef]
- Hodgson, M.J. A Flow Capturing Location-allocation Model. Geogr. Anal. 2010, 22, 270–279. [Google Scholar] [CrossRef]
- Wang, Y.-W.; Wang, C.-R. Locating passenger vehicle refueling stations. Transp. Res. Part E Logist. Transp. Rev. 2010, 46, 791–801. [Google Scholar] [CrossRef]
- Yi, T.; Cheng, X.-B.; Zheng, H.; Liu, J.-P. Research on Location and Capacity Optimization Method for Electric Vehicle Charging Stations Considering User’s Comprehensive Satisfaction. Energies 2019, 12, 1915. [Google Scholar] [CrossRef]
- Kong, W.; Luo, Y.; Feng, G.; Li, K.; Peng, H.; Keqiang, L. Optimal location planning method of fast charging station for electric vehicles considering operators, drivers, vehicles, traffic flow and power grid. Energy 2019, 186, 115826. [Google Scholar] [CrossRef]
- Liu, Q.; Liu, J.; Le, W.; Guo, Z.; He, Z. Data-driven intelligent location of public charging stations for electric vehicles. J. Clean. Prod. 2019, 232, 531–541. [Google Scholar] [CrossRef]
- Wang, H.; Zhao, D.; Meng, Q.; Ong, G.P.; Lee, D.-H. A four-step method for electric-vehicle charging facility deployment in a dense city: An empirical study in Singapore. Transp. Res. Part A Policy Pr. 2019, 119, 224–237. [Google Scholar] [CrossRef]
- Kuby, M.; Lim, S. The flow-refueling location problem for alternative-fuel vehicles. Socio-Econ. Plan. Sci. 2005, 39, 125–145. [Google Scholar] [CrossRef]
- Kuby, M.; Lim, S. Location of Alternative-Fuel Stations Using the Flow-Refueling Location Model and Dispersion of Candidate Sites on Arcs. Netw. Spat. Econ. 2006, 7, 129–152. [Google Scholar] [CrossRef]
- Kuby, M.; Lines, L.; Schultz, R.; Xie, Z.; Kim, J.-G.; Lim, S. Optimization of hydrogen stations in Florida using the Flow-Refueling Location Model. Int. J. Hydrog. Energy 2009, 34, 6045–6064. [Google Scholar] [CrossRef]
- Capar, I.; Kuby, M. An efficient formulation of the flow refueling location model for alternative-fuel stations. IIE Trans. 2012, 44, 622–636. [Google Scholar] [CrossRef]
- Liu, K.; Sun, X. Considering the dynamic refueling behavior in locating electric vehicle charging stations. ISPRS Ann. Photogramm. Remote. Sens. Spat. Inf. Sci. 2014, 41–46. [Google Scholar] [CrossRef]
- Xu, M.; Meng, Q.; Liu, K. Network user equilibrium problems for the mixed battery electric vehicles and gasoline vehicles subject to battery swapping stations and road grade constraints. Transp. Res. Part B Methodol. 2017, 99, 138–166. [Google Scholar] [CrossRef]
- Jing, W.; Yan, Y.; Kim, I.; Sarvi, M. Electric vehicles: A review of network modelling and future research needs. Adv. Mech. Eng. 2016, 8. [Google Scholar] [CrossRef]
- Zheng, H.; He, X.; Li, Y.; Peeta, S. Traffic Equilibrium and Charging Facility Locations for Electric Vehicles. Netw. Spat. Econ. 2016, 17, 435–457. [Google Scholar] [CrossRef]
- Tang, T.-Q.; Zhang, J.; Liu, K. A speed guidance model accounting for the driver’s bounded rationality at a signalized intersection. Phys. A Stat. Mech. Appl. 2017, 473, 45–52. [Google Scholar] [CrossRef]
- Liu, K.; Liu, D.; Li, C.; Yamamoto, T. Eco-Speed Guidance for the Mixed Traffic of Electric Vehicles and Internal Combustion Engine Vehicles at an Isolated Signalized Intersection. Sustainability 2019, 11, 5636. [Google Scholar] [CrossRef]
- Ge, S.; Feng, L.; Liu, H. The planning of electric vehicle charging station based on Grid partition method. In Proceedings of the 2011 International Conference on Electrical and Control Engineering, Yichang, China, 16–18 September 2011; pp. 2726–2730. [Google Scholar]
- Huang, Y.; Kockelman, K.M. Electric vehicle charging station locations: Elastic demand, station congestion, and network equilibrium. Transp. Res. Part D Transp. Environ. 2020, 78, 102179. [Google Scholar] [CrossRef]
- Xu, M.; Meng, Q. Optimal deployment of charging stations considering path deviation and nonlinear elastic demand. Transp. Res. Part B 2020, 135, 120–142. [Google Scholar] [CrossRef]
- Xie, C.; Jiang, N. Relay Requirement and Traffic Assignment of Electric Vehicles. Comput. Civ. Infrastruct. Eng. 2016, 31, 580–598. [Google Scholar] [CrossRef]
- He, N.; Zhao, S. Discussion on Influencing Factors of Free-flow Travel Time in Road Traffic Impedance Function. Procedia Soc. Behav. Sci. 2013, 96, 90–97. [Google Scholar] [CrossRef]
- Gale, D.; Nikaidô, H. The Jacobian matrix and global univalence of mappings. Math. Ann. 1965, 159, 81–93. [Google Scholar] [CrossRef]
- Dial, R.B. A probabilistic multipath traffic assignment model which obviates path enumeration. Transp. Res. 1971, 5, 83–111. [Google Scholar] [CrossRef]
- Daganzo, C.F.; Sheffi, Y. On Stochastic Models of Traffic Assignment. Transp. Sci. 1977, 11, 253–274. [Google Scholar] [CrossRef]
- Di Pillo, G.; Grippo, L.; Pillo, G. A new augmented Lagrangian function for inequality constraints in nonlinear programming problems. J. Optim. Theory Appl. 1982, 36, 495–519. [Google Scholar] [CrossRef]
- Guignard, M. Generalized Kuhn–Tucker Conditions for Mathematical Programming Problems in a Banach Space. SIAM J. Control. 1969, 7, 232–241. [Google Scholar] [CrossRef]
- Cheng, L.; Han, F. Optimal Road Toll Design from the Perspective of Sustainable Development. Discret. Dyn. Nat. Soc. 2014, 2014, 1–7. [Google Scholar] [CrossRef]
- Liu, H.X.; He, X.; He, B. Method of Successive Weighted Averages (MSWA) and Self-Regulated Averaging Schemes for Solving Stochastic User Equilibrium Problem. Netw. Spat. Econ. 2007, 9, 485–503. [Google Scholar] [CrossRef]








| Scenarios | Conditions | Travel Cost |
|---|---|---|
| 1. A path that can be completed without charging | ≤ | |
| 2. A path that cannot be completed after charging | ≥ or or | |
| 3. A path that can be completed after charging | and ≤ and ≤ and ≤ | + + (K − 1)U |
| OD Pair | Path Number | Path Composition | Length |
|---|---|---|---|
| (1,2) | 1 | 1-5-6-7-8-2 | 29 |
| 2 | 1-12-8-2 | 32 | |
| 3 | 1-5-6-7-11-12 | 33 | |
| 4 | 1-12-6-7-8-2 | 35 | |
| 5 | 1-5-6-10-11-2 | 38 | |
| 6 | 1-12-6-7-11-2 | 39 | |
| 7 | 1-5-9-10-11-2 | 41 | |
| 8 | 1-12-6-10-11-2 | 44 | |
| (1.3) | 9 | 1-5-6-7-11-3 | 32 |
| 10 | 1-5-9-13-3 | 36 | |
| 11 | 1-5-6-10-11-3 | 37 | |
| 12 | 1-12-6-7-11-3 | 38 | |
| 13 | 1-5-9-10-11-3 | 40 | |
| 14 | 1-12-6-10-11-3 | 43 | |
| (4,2) | 15 | 4-5-6-7-8-2 | 31 |
| 16 | 4-5-6-7-11-2 | 35 | |
| 17 | 4-9-10-11-2 | 37 | |
| 18 | 4-5-6-10-11-2 | 40 | |
| 19 | 4-5-9-10-11-2 | 43 | |
| (4,3) | 20 | 4-9-13-3 | 32 |
| 21 | 4-5-6-7-11-3 | 34 | |
| 22 | 4-9-10-11-3 | 36 | |
| 23 | 4-5-9-13-3 | 38 | |
| 24 | 4-5-6-10-11-3 | 39 | |
| 25 | 4-5-9-10-11-3 | 42 |
| Link Node | 1 | 2 | 3 | 4 | 20 | ||||
|---|---|---|---|---|---|---|---|---|---|
| Location | EV Flow | Location | EV Flow | Location | EV Flow | Location | EV Flow | Location | |
| (1,5) | × | 367.5 | × | 219.3 | √ | 197.4 | × | 172.5 | × |
| (4,5) | × | 364.9 | × | 195.4 | × | 172 | × | 143.7 | × |
| (4,9) | × | 164.5 | × | 54.8 | × | 27.4 | × | 0 | × |
| (5,6) | × | 538.5 | √ | 350.1 | √ | 337.1 | √ | 316.2 | √ |
| (5,9) | × | 193.9 | × | 64.6 | × | 32.3 | × | 0 | × |
| (6,7) | × | 499.7 | √ | 337.3 | √ | 363.7 | √ | 380 | √ |
| (7,8) | × | 196.7 | × | 180.5 | × | 210.3 | × | 233.2 | × |
| (8,2) | × | 248.7 | × | 197.8 | × | 219 | √ | 233.2 | √ |
| (1,12) | × | 196.7 | × | 100.5 | × | 83.2 | × | 63.8 | × |
| (11,3) | × | 380.1 | × | 200.4 | × | 175.2 | × | 146.8 | × |
| (12,6) | × | 144.8 | × | 83.2 | × | 74.6 | × | 63.8 | × |
| (12,8) | × | 51.9 | × | 17.3 | × | 8.7 | × | 0 | × |
| (13,3) | × | 157.1 | × | 52.4 | × | 26.2 | × | 0 | × |
| (6,10) | × | 183.7 | × | 95.9 | × | 48 | × | 0 | × |
| (7,11) | × | 302.9 | × | 156.8 | × | 153.4 | × | 146.8 | × |
| (9,10) | × | 201.4 | × | 67.1 | × | 33.6 | × | 0 | × |
| (9,13) | × | 157.1 | × | 52.4 | × | 26.2 | × | 0 | × |
| (10,11) | × | 385.1 | √ | 163 | × | 81.5 | × | 0 | × |
| (11,2) | × | 308 | × | 119.5 | × | 59.7 | × | 0 | × |
| OD Pair | Location 1 | Location 2 | Location 3 |
|---|---|---|---|
| (5,6); (6,7); (10,11) | (5,6); (6,7); (1,5) | (5,6); (6,7); (8,2) | |
| (1,2) | Three paths, including 1,4,5 | Two paths, including 1,4 | Two paths, including 1,4 |
| (1,3) | Three paths, including 9,11,12 | Two paths, including 9,12 | Two paths, including 9,12 |
| (4,2) | Two paths, including 15,18 | One path, 15 | One path, 15 |
| (4,3) | Two paths, including 21, 24 | One path, 21 | One path, 21 |
© 2020 by the authors. Licensee MDPI, Basel, Switzerland. This article is an open access article distributed under the terms and conditions of the Creative Commons Attribution (CC BY) license (http://creativecommons.org/licenses/by/4.0/).
Share and Cite
Gao, H.; Liu, K.; Peng, X.; Li, C. Optimal Location of Fast Charging Stations for Mixed Traffic of Electric Vehicles and Gasoline Vehicles Subject to Elastic Demands. Energies 2020, 13, 1964. https://doi.org/10.3390/en13081964
Gao H, Liu K, Peng X, Li C. Optimal Location of Fast Charging Stations for Mixed Traffic of Electric Vehicles and Gasoline Vehicles Subject to Elastic Demands. Energies. 2020; 13(8):1964. https://doi.org/10.3390/en13081964
Chicago/Turabian StyleGao, Hong, Kai Liu, Xinchao Peng, and Cheng Li. 2020. "Optimal Location of Fast Charging Stations for Mixed Traffic of Electric Vehicles and Gasoline Vehicles Subject to Elastic Demands" Energies 13, no. 8: 1964. https://doi.org/10.3390/en13081964
APA StyleGao, H., Liu, K., Peng, X., & Li, C. (2020). Optimal Location of Fast Charging Stations for Mixed Traffic of Electric Vehicles and Gasoline Vehicles Subject to Elastic Demands. Energies, 13(8), 1964. https://doi.org/10.3390/en13081964

