Next Article in Journal
The Challenge for Building Integration of Highly Transparent Photovoltaics and Photoelectrochromic Devices
Next Article in Special Issue
Optimal Dimensions of a Semisubmersible Floating Platform for a 10 MW Wind Turbine
Previous Article in Journal
Influence of Chloride/Iodide Ratio in MAPbI3-xClx Perovskite Solar Devices: Case of Low Temperature Processable AZO Sub-Layer
Previous Article in Special Issue
Wave-Turbulence Decomposition Methods Applied to Tidal Energy Site Assessment
 
 
Font Type:
Arial Georgia Verdana
Font Size:
Aa Aa Aa
Line Spacing:
Column Width:
Background:
Article

Parametric Study for an Oscillating Water Column Wave Energy Conversion System Installed on a Breakwater

Department of Marine Environment and Engineering, National Sun Yat-Sen University, Kaohsiung 804, Taiwan
*
Author to whom correspondence should be addressed.
Energies 2020, 13(8), 1926; https://doi.org/10.3390/en13081926
Submission received: 15 March 2020 / Revised: 4 April 2020 / Accepted: 11 April 2020 / Published: 14 April 2020

Abstract

This study focuses on the analysis of the parameters of an oscillating water column (OWC) wave energy conversion system and wave conditions. Interactions between the dimensions of the OWC chambers and wave conditions are all taken into account to design an alternative OWC converter, called caisson-based OWC type wave energy converting system. A numerical method using an unsteady Navier-Stokes equations theorem in conservation form is used to analyze the proposed analytical model. The objective of this study is to try to apply an OWC wave energy converter to a caisson breakwater, which has been constructed in a harbor. The structure proposed in this study is a series of sets of independent systems, in which each set of converters is composed of three chambers to capture the wave energy, while better ensuring the safety of the caisson breakwater. Responses to be analyzed related to the conversion efficiency of the caisson-based OWC wave energy converting system include the airflow velocity from the air-chamber, the pneumatic power and the conversion efficiency in terms of a ratio between the pneumatic power and the energy of the incident waves. Parameters examined in this study include the dimensions of the OWC chamber features such as the orifice of the air-chamber allowing airflow in/output, the chamber length along the direction of incident waves, the size of the opening gate for incident waves and the submersion depth of the air-chamber. As found from the results, a best conversion efficiency from incident waves of 32% can be obtained for the extreme case where the orifice is very small, but for most other cases in the study, the best efficiency is about 15%.

1. Introduction

Due to the intensive development of new high technology products and expanding consumer demand for products such as clothes, shoes and electronic devices industrial power supply demand is greater than ever. Besides the industry requirements, the power supply required for society to sustain a more comfortable lifestyle has also increased massively, particularly in newly developed countries. Taiwan also faces these facts, as the growth in the extension and number of industrial parks producing high technology products has forced the government to build more thermal power plants to fulfill the resulting power demand. As a result, other serious issues arise like massive air pollution and the need to treat combustion wastes. Those environmental problems not only bother the local people, affecting their health, but moreover, can eventually cause dramatic climate changes, as evidenced by many studies [1,2]. Therefore, alternative power sources that do not cause such a severe environmental impact are much sought after, such as power from renewable natural resources like solar energy, wind energy, ocean energy or other forms of non-fossil combustion energy.
Ocean energy has been studied for a long time. Among all kinds of ocean energy, wave energy is the most thoroughly studied form because it is widely distributed in oceans around the world and it is an abundant type of exploitable energy. Diverse wave energy conversion systems have been extensively studied, among which oscillating water column (OWC) wave energy conversion systems are the ones with relatively higher efficiency. Studies on OWC wave energy conversion systems are still very active. Some studies are on how to improve of the energy harvesting mechanism, for example by changing the shape of the traditional OWC system into a U-OWC [3,4] or a so called BBDB-OWC using a backward-bent duct buoy [5] or by applying a double-chamber to improve the energy harvesting ability in deep waters [6] or by bending the front wall of the chamber to study its influence on the energy conversion [7]. Research focused on the efficiency of turbine performance for outflow and inflow motions is also performed [8], while a recently released similar study [9] also included a turbine system, where an axial-flow impulse turbine was installed on an OWC model to replace the traditional one and a model was built and placed in a wave flume for experimental tests under regular wave conditions. Investigations, both experimental and numerical, on the wave-height and power take-off damping effect have also been carried out [10]. Some are focused on the performance of the air-chamber [11], where it was shown that the effect of neglecting the air compressibility in an experimental test model scaled down to 1/50 may result in an overestimation by up to 15% for the air pressure in the OWC chamber. This indicates that attention must be paid to any scaled-down model tested in an experimental laboratory, while a full-scale model test will be more accountable. A recent study goes even more deeply inside the wave theorem in considering the viscosity influence of wave properties on the OWC device [12]. By introducing artificial viscous terms into the dynamic free surface boundary conditions and the Bernoulli equation, the authors built a fully nonlinear numerical model based on a higher-order boundary element method (HOBEM) to model the wave dynamics of an OWC device. Application of an OWC wave energy conversion system to buoys for sensors has also been studied [13].
The parameters of an OWC wave energy conversion system include many aspects, such as the dimensional effects of the OWC structure, including both the size and shape of the structure, the associated turbine system and the environmental conditions of the location of the OWC system that may cover geology and wave conditions. As shown in a contemporary paper [14] describing a parametric study of a wave energy converter designed for the Caspian Sea, where a numerical simulation using the commercial software Flow-3D to model the motion of the energy converter for different wave heights was applied for output flow rates in different seasons, extractable wave power and output power, the parameters of an OWC conversion system are strongly related to location factors. Studies on the interactions for different wave periods, wave heights and pneumatic damping factors of OWCs were also performed lately [10,15]. An approach based on artificial neural networks (ANNs) was utilized to develop a virtual laboratory to determine the pneumatic efficiency of an OWC under specific conditions of wave height and period, tidal level and turbine damping [16] before a 1/25 scaled-down physical model similar in the geometry of the prototype designed for an OWC plant to be constructed at the port of A Guarda, Spain was tested in the laboratory. Some designs associated with a breakwater structure were proposed, such as the one proposed by Boccotti [17,18], where a new kind of OWC called U-OWC was considered. According to this report a U-OWC has some advantages for the waves of long periods such as swells or storm waves compared to conventional OWCs.
There seems to be a trend where more and more countries have considered building OWC-like wave energy conversions system on their shorelines, especially in local harbors, as mentioned previously [14,16,19], but construction of an OWC wave energy conversion system usually costs a tremendous amount of money. A thorough study to avoid any uncertainty and safety risks prior to the construction is usually required besides any functioning considerations. In order to reduce the construction cost for an OWC wave energy converting system, the combination of an OWC wave energy converting structure with a breakwater is a cost-reduction idea. However, real in-field experimental data for breakwater-combined OWC wave energy converting systems are still very rare. An OWC system combination with a breakwater was firstly studied in Japan [20,21]. In those advanced studies, not only were experimental tests performed, but also an on-site full-scale structure was built and tested. Many valuable data were acquired and some important conclusions were reached, including that the power efficiency that can be obtained from the conversion system, the estimated direct cost for a system of comparable size and scale, a range of dimensional ratios between the air chamber and the wavelength and the most important one, that the combination of a breakwater with a wave-power conversion system would not affect the function of the breakwater but rather reinforce it. Unfortunately, even though the study of Goda et al. [20,21] is invaluable and pioneering, it is too hard and too costly to be repeated for an on-field experiment even though a small field experiment was performed later on [18]. It is also too confined by many local factors to apply it to caisson breakwaters in other different locations.
The objective of this study is on the application of a conventional OWC wave energy conversion system to a caisson breakwater while upgrading the safety and function of the caisson-based system. However, any study trying to cover all of the parameters that may influence an OWC wave energy converting system would be a big task, if not impossible. In this study, by following the findings of Goda et al. and other contemporary studies, a series of studies were performed by adopting and upgrading a similar system, and thus constituting a caisson-based OWC type wave energy converter for green energy development. This study as a part of a series of studies that will focus on the energy conversion performance and where parameters related to OWC device dimensions and parameters for local wave conditions are both taken into consideration, while a previous study was focused on the structural safety when combined with additional OWC devices. A numerical method using an unsteady Navier-Stokes equations theorem in conservation form is used to analyze the proposed structural model, which has been verified [22] with the on-field experimental data presented by Goda [20,21].
The OWC wave energy converter proposed in this study is a series of sets of independent systems, in which each set of converters is composed of three chambers to capture the wave energy. This is because of the safety considerations for the caisson breakwater since a larger chamber will suffer a larger impact from wave forces. The vertical walls installed between chambers may provide additional support for the chamber and also protect the caisson-based structure. The analysis will focus on the conversion efficiency of the caisson-based OWC wave energy conversion system that includes the airflow velocity from the air-chamber, the pneumatic power and the conversion efficiency in terms of a ratio between the pneumatic power and the energy of the incident waves. Parameters to be examined in this study include the dimensions of the OWC chamber such as the orifice of the air-chamber allowing airflow in/output, the chamber length along the direction of incident waves, the size of the opening gate for incident waves and the submersion depth of the air-chamber. All of these parameters are presented in dimensionless form, while a range of wave-height and wave period variations are considered.

2. Analytical Model and Theorem for the Study

2.1. Analytical Model

The typical OWC wave energy conversion system proposed for this study is presented in a schematic drawing (Figure 1), where the air-chamber of the OWC is divided into three chambers by two inner walls, and where the air is allowed to flow through channels connected to each other near the top ceiling-slab while only one orifice is designed for the in/output air. This kind of design is deliberate as the intention is to build the OWC conversion system as part of a caisson breakwater structure and therefore the OWC chamber must be strong enough to sustain not only regular incident wave but waves from extreme 50 year return period storms, otherwise it might jeopardize the function and even the safety of the breakwater structure. The walls installed to separate the chambers will be also act as reinforcements to support the ceiling slab member, which will suffer the air-pressure induced from the heaving wave motion and also help to sustain the impact of surge motion from the incident waves against the front curtain wall above the open gate of the chamber. Therefore, the application of OWC converting system to the traditional caisson breakwater structure will be in a series of sets of three-chamber OWC converters connected to each other along a breakwater structure.
The basic dimensions of the OWC system are also presented in Figure 1, where based on a local environment such as a water depth of 15 m and wave conditions, a basic design is realized for the dimensions of one set of 3-chamber OWCs as follows: 25 m high, 3 × 6 = 18 m wide and 25 m long.

2.2. Theorem of Fluid Mechanics Applied in the Study

The theorem applied in this study includes two parts. The first part is for the calculation of the fluid and wave motions and their influence on the airflow in the OWC chamber such as the velocity of the airflow through the opening orifice. The second part is about the estimation of the efficiency of the wave-energy power conversion by the OWC system to pneumatic power that can drive a turbine generator installed on the OWC system.

2.2.1. Basic Theorems for Fluid

In this study an unsteady Navier-Stokes equations [23,24] theorem in conservation form consisting of continuity equations, momentum equations and turbulence dynamics equations for a fluid with density ρ and velocity U are applied as follows:
Continuity equation:
ρ t + · ( ρ U ) = 0
Equation of momentum:
ρ U t + · ( ρ U × U ) · ( u e f f U ) = · p + · ( u e f f U ) T + B
where B is the sum of body force, μ eff is the effective viscosity, p is the revised pressure. The effective viscosity and the revised pressure can be presented as:
μ e f f = μ t + μ
p = p + 2 3 ρ k
It is also noticed that μ t is the viscosity of the turbulence, which according to the assumption of k-ε model, is related to the dynamic energy and the dissipation of the dynamic energy as presented as:
μ t = C μ ρ k 2 ε
where k, are obtained directly from the equation of dynamic energy and equation of energy dissipation presented as follows:
( ρ k ) t + · ( ρ U k ) = · [ ( μ + μ t σ k ) k ] + P k ρ ε
( ρ ε ) t + · ( ρ U ε ) = · [ ( μ + μ t σ ε ) ε ] + ε k ( C ε 1 P k C ε 2 ρ ε )
where C ε 1 , C ε 2 , σ k , σ ε are constant parameters while P k is related to viscosity and floating force and can be presented as:
P k = μ t U · ( U + U T ) 2 3 · U ( 3 μ t · U + ρ k ) + P k b

2.2.2. Conversion Efficiency Estimation

The estimation of conversion efficiency is based on the ratio of the power generated by the airflow from the orifice of the OWC chamber and the power induced from the incident waves. The power of the incident waves will include both the potential and the kinetic energy. The gradient of potential for a differential wavelength dx can be presented as follows [25] and shown in Figure 2, where all coefficients for a propagating wave are also presented such as wave-height H, elevation of water surface η, water depth h and wavelength L:
d Φ = ρ g ( h + η ) 2 2 d x
Then the potential of one wavelength for a unit area Aw of water surface can be obtained [26] as
Φ = 1 L x x + L d Φ = ρ g 2 L x x + L ( h + η ) 2 d x = ρ g 2 h 2 + ρ g 16   H 2  
When the potential of waves up to still water level is reduced the potential for a unit wavelength of wave propagating with H wave-height is
Φ H = Φ Φ H = 0 = ρ g 16 H 2
The kinetic work K from a unit horizontal area of propagating wave can be obtained from a wave with velocity of horizontal component u and vertical component w as:
K = x x + L h η ρ 2 ( u 2 + w 2 ) d x d z = ρ g 16 H 2
The total energy E from a unit horizontal area of an incident wave including both the potential and kinetic work will be as:
E = K + Φ = ρ g 8 H 2
The kinetic work from the airflow with density ρ a and velocity v a through a cross-section area A a with a wave-period T can be presented as:
E a = 1 2 m v a 2 = 1 2 ρ a A a v a 3 · T
Then the efficiency of the power converted from a wavelength of incident wave into power of an OWC in a form of airflow velocity can be presented as:
E a E = 1 2 ρ a A a v a 3 · T ρ g 8 H 2 A w

3. Dimensional Parameters Applied to the Study and Response Analysis

The parameters chosen in the analysis basically are related to the dimensions of the air-chamber for the OWC converter such as the area ratio between the opening of orifice (A) and the water surface (Aw) in the chamber presented as RA = A/Aw, the ratio of length of air-chamber (B) in the direction of incident waves to the wave-length (L) presented as RB = B/L, the ratio of the open-gate (O) in the front side facing the incident wave to the water depth (h) presented as RO = O/h and the ratio of submerged depth (Z) of the gate of OWC converter to the water depth (h) presented as RZ = Z/h under a condition that during the operation the whole device is submerged in the water. Figure 3 shows a schematic drawing of the side view of the caisson-based OWC converter. The dimensions of the device related to the parameters to be examined are all marked in the figure and shown in variables as A, B, O and Z. A listing of the variations of these parameters is presented in Table 1. It is noted that because too many parameters are to be analyzed when one parameter is a variable the other parameters will be set as constant. Such a referenced model is set as: RA = 0.02 (A = 2.16 m2), RO = 25%, RZ = 33% and RB = a ratio of 6-m divided by wavelength applied for each case of analysis, which are highlighted in Table 1.
Except for the variable dimensional parameters, some other variables are the input wave conditions including various wave heights and periods. The wave heights applied in this study are 1.0, 2.0 and 3.0 m while the wave periods are 6.0, 8.0 and 10.0 s. During the analysis, the responses of the OWC system for the converting efficiency to be discussed include the velocity of the airflow through the orifice, the power produced by the airflow and the conversion efficiency in terms of the ratio of pneumatic power and power of incident waves. Comparisons of these responses corresponding to the given wave conditions are presented and discussed in the following sections in terms of parameters like the area-ratio of orifice opening RA, ratio of chamber-length to the wavelength RB, opening ratio of OWC gate to the water depth Ro and submersion depth of the chamber gate to the water depth RZ.

3.1. Responses Corresponding to Area-Ratio RA of Orifice-Opening

The area-ratio of the orifice cross-section of OWC may have an influence on the performance of an OWC conversion system. Therefore, taken into consideration in this section is a dimensionless ratio of area of the OWC orifice cross-section to the area of water surface in the chamber as was indicated as RA and listed in Table 1 for which the area of water surface is a constant while the orifice is variable and the ratio RA is varied from 0.002 to 0.1.
  • Velocity of airflow from the OWC
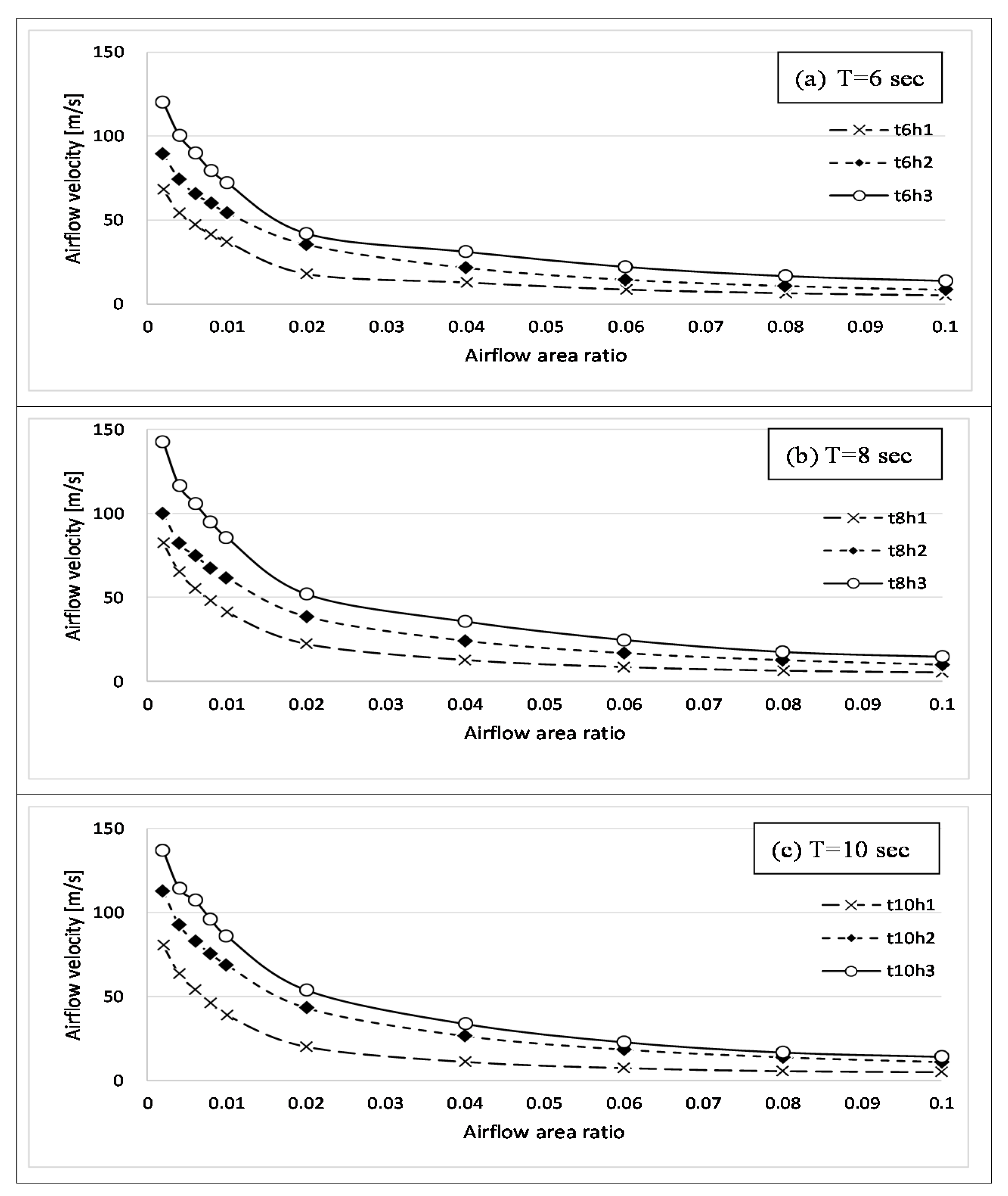
For the examination of the airflow velocity, three periods of the propagating wave corresponding to various wave-heights were applied. Presented in Figure 4 is the average of the first 1/3 maximum (or significant) airflow velocity for various area ratios of orifice-opening of the OWC converter to the area of water surface in the chamber, where Figure 4a–c show the responses for various input waves with periods of 6.0, 8.0 and 10.0 s, respectively. In each figure, three curves are shown representing the responses corresponding to wave heights of 1.0, 2.0 and 3.0 m as indicated in the curve descriptions.
The velocity presented in the figures is the average of the first 1/3 maximum velocity of each time-history analysis. It is observed that corresponding to the increase of the opening ratio RA, the airflow velocity decreases nonlinearly. The airflow velocity drops very fast during the early stage corresponding to the area-increment of orifice opening. Basically after the opening ratio increases to 0.02, the airflow velocity is reduced to 50 m/s for almost all cases and it becomes smaller and smaller till the last case of RA = 0.1.
A trend that a larger wave-height induces a larger velocity is found and this trend is more significant for an OWC converter with a smaller opening area-ratio. For 3 m wave height during the range where the opening area ratio is smaller than 0.01, the velocity is at a high level of more than 80 m/s and gets higher when the opening area ratio is smaller.
Generally, the OWC converter also has larger velocity when the period of the exerting wave is larger, but the variation becomes less and less significant when the opening area ratio increases. The average of the first 1/3 maximum velocity can reach as high as 143.0 m/s for the case with smallest area ratio as shown in Figure 4b, where the area ratio of the cross-section for the opening is 0.002 when subjected to a wave of 3.0 m wave height and 8.0 s period.
  • Pneumatic Power from the OWC
For the examination of pneumatic power, three periods of the propagating wave corresponding to various wave-heights were applied. Presented in Figure 5 is the average of 1/3 maximum (or significant) pneumatic power for various OWC converter orifice area ratios, where Figure 5a–c show the responses for various input waves with periods of 6.0, 8.0 and 10.0 s, respectively. Similarly, in each figure, three curves are shown representing the response corresponding to wave heights of 1.0, 2.0 and 3.0 m as indicated in the curve descriptions.
It is observed that corresponding to the increase of ratio of the orifice opening the pneumatic power will increase till it reaches a peak value and then drops rapidly. The peak value occurs at a ratio of RA = 0.006 for the cross-sectional area of the orifice to the area of water surface in the OWC chamber. Similar to the velocity response, the pneumatic power will decrease at a lower rate corresponding to the area-increment of orifice opening when the opening-ratio is larger than 0.02. Moreover, the pneumatic power is reduced to less than 200 kW for most cases subjected to waves of 3 m height and periods of T = 8 and 10 s, as presented in Figure 5b,c.
A trend whereby a larger wave-height induces a larger power is found and this trend is more significant for OWC converters with smaller opening ratios. The variation of pneumatic power between cases subjected to various wave heights is very significant, especially during the sensitive range of the opening ratio of the cross sectional area, which is between a value of 0.002 and 0.01 when the wave period is larger and the phenomenon is more significant for cases such as for T= 8.0 and T = 10 s as shown in Figure 5b,c.
Generally, the OWC converter also produces larger pneumatic power when the period of the waves is larger, such as for the case of 10.0 s of wave period, but the variation is not very significant between the case of 8.0 s and 10.0 s of wave period while the difference is more significant between 6.0 s and 8.0 s of wave period.
The maximum average pneumatic power is 480.8 kW, which occurs at the case where the OWC is subjected to an incident wave with 3 m wave-height and 10.0 s of wave period as shown in Figure 5c.
  • Efficiency of power converted from the OWC
For the examination of efficiency of the power conversion from wave energy to pneumatic power that can drive a turbine generator of an OWC system, an estimation for the ratio between the energy induced by airflow and produced from incident waves is applied as shown in Equations (9)~(15). In this sub-section, similarly three periods of the propagating wave corresponding to three wave heights were applied. Presented in Figure 6 is the conversion efficiency based on the average of the 1/3 maximum airflow velocity for various area ratios of area ratio of the OWC converter, where Figure 6a–c show the responses for various incident waves with periods of 6.0, 8.0 and 10.0 s, respectively. In each figure, three curves are shown, representing the response corresponding to wave heights of 1.0, 2.0 and 3.0 m as indicated in the curve descriptions.
It is observed that corresponding to the increase of the opening ratio, the conversion efficiency of the OWC decreases. The conversion efficiency stays at a high level first and then drops fast at the area ratio approaches 0.006. Basically, after the opening-ratio increases to 0.02, the airflow velocity is reduced to 10% and the dropping rate becomes less dramatic till the last case of 0.1 opening ratio. However, when the opening ratio is smaller than 0.01, the conversion efficiency is larger than 12% for most cases. When the opening-ratio is larger than 0.04 the conversion efficiency will be less than 5%.
It is also interesting to find that the trend that larger wave-height induces larger velocity or pneumatic power is not found in the conversion efficiency case. In the range of orifice area ratios of less than 0.01, the OWC subjected to a smaller wave height has a larger conversion efficiency for the power conversion. The power conversion efficiency is not positively related to the wave period either.
In some cases the conversion efficiency performance of the OWC system subjected to waves of 8.0 s, as shown in Figure 6b, performs better than the case subjected to 10.0 s of wave period, as shown in Figure 6c. The conversion efficiency can reach as high as 32% for the extreme case with the smallest area ratio, as shown in Figure 6b, where the cross section area ratio for the opening is 0.002 subjected to a wave of 1.0 m wave height and 8.0 s period.

3.2. Responses Corresponding to the Ratio of Chamber-Length RB

During the response analysis of the parameter indicated by the ratio between the length of the air-chamber and the wavelength, represented by RB, only the chamber-length is varied while the other dimensions of the air-chamber and the water depth (15 m) are set to be constant. Since the periods and wave heights are various during each case of the analysis and the wavelength will vary correspondingly, the chamber-length ratio will also change accordingly for each combination of wave period and wave height.
  • Velocity of airflow from the OWC
Presented in Figure 7 is the average of first 1/3 maximum (or significant) airflow velocity for various ratios of the chamber length of the OWC converter to the wavelength, where Figure 7 shows the responses for various incident waves with wave heights of 1.0, 2.0 and 3.0 m, respectively as indicated in the curve descriptions, when waves with periods of 6.0, 8.0 and 10.0 s are applied. It is observed that corresponding to the increase of the length ratio of the air chamber, the airflow velocity decreases with a linear variation trend. The airflow velocity also has a positive relationship with the wave height, when the applied wave height is larger the velocity of airflow also has a larger value.
A trend that a larger wave height induces s larger velocity is found and this trend is more significant for the OWC converter with a smaller chamber-length ratio. Since the wave length of regular waves is quite large, that a smaller ratio of the chamber-length can produce a larger velocity of the airflow will imply that a small OWC converter may also display an effective performance. However, the influence of the wave period on the velocity of the airflow is not significant for the analysis of the length ratio of the air chamber.
The largest average velocity of the airflow from the OWC chamber in the study for the variation of the chamber-length is 75 m/sec for the case where the chamber-length ratio is 0.02 subjected to a wave of 3 m wave height and 10 s of wave period.
  • Pneumatic power from the OWC
Presented in Figure 8 is the average power of airflow at 1/3 maximum velocity for various air chamber length ratios of the OWC converter, where Figure 8a,b show the responses for various incident waves with periods of 8.0 and 10.0 s, respectively. In each figure, similarly three curves are, representing the responses corresponding to wave heights of 1.0, 2.0 and 3.0 m as indicated in the curve descriptions.
It is observed that corresponding to the increase of length ratios of the air chamber the pneumatic power will increase till it reaches a peak value and then it decreases again. The peak value occurs at a length ratio of 0.1 for the OWC converter subjected to waves of 8.0 s of wave period while in the case of 10.0 s of period, the peak occurs at a ratio of 0.075. In these two cases the applied wave height is 3 m and the power values are similar to each other. The largest power obtained in this case is 294 kW that occurs at a length ratio of 0.075 for the OWC converter subjected to a wave of 3 m height and 10.0 s of period.
Therefore, in the analysis of the parameter effect of length ratio to the power produced by the airflow of the OWC converter, the best length ratio will be located in a range of 0.05 to 0.1, where the power can reach a value over 200 kW.
  • Efficiency of power conversion by the OWC
Presented in Figure 9 is the efficiency of the pneumatic power conversion by the OWC for various air chamber length ratios, where Figure 9a,b show the responses for incident waves with periods of 8.0 and 10.0 s, respectively. In each figure, similarly three curves are shown, representing the responses corresponding to wave heights of 1.0, 2.0 and 3.0 m as indicated.
It is observed that corresponding to the increase of air chamber length ratio the efficiency of power conversion will increase till it reaches a peak value and then it decreases again. The peak value occurs at a length-ratio of 0.1 for the OWC converter subjected to waves of 8.0 s of wave period while in the case of 10.0 s of period the peak occurs at a ratio of 0.075. For the case subjected to a wave of 10.0 s period, OWC under both 2 m and 3 m wave height conditions has a similar power conversion efficiency performance when the length ratio variation of the OWC converter RB is less than 0.1. The largest power efficiency obtained in this case is 14.0%, which occurs at a length ratio of 0.1 for the OWC converter subjected to a wave of 3 m height and 8 s of period.

3.3. Responses Corresponding to the Opening-Ratio of the OWC Gate RO

The opening of the OWC gate on the front wall where the incident wave approaches may influence the conversion efficiency of the system. The opening of the OWC gate is set as a ratio of the gate opening to the water depth and indicated as RO. The water depth is held at a constant value of 15 m while the opening ratio of the gate is a variable ranging from 10% to 66%, as presented in Table 1.
  • Velocity of airflow from the OWC
For the examination of airflow velocity, three periods of the propagating wave corresponding to various wave heights were applied. Presented in Figure 10 is the average of the first 1/3 maximum airflow velocity for various gate opening ratios of the OWC converter to the water depth, where each curve in Figure 10 shows the responses for incident waves with wave heights of 1.0, 2.0 and 3.0 m, respectively as indicated in the descriptions. It is observed that corresponding to the increase of the opening ratio of the air chamber gate, the airflow velocity responds in various ways such as in the cases of wave heights of 1 and 3m, where the airflow velocity seems to not be very influenced by the opening ratio of the OWC gate, but for the case of 2 m wave height the velocity variation is more observable corresponding to the opening ratio of the OWC gate. However, corresponding to the increase of the wave height the power of the airflow velocity increases while the influence from the wave period is not significant.
  • Power of airflow from the OWC
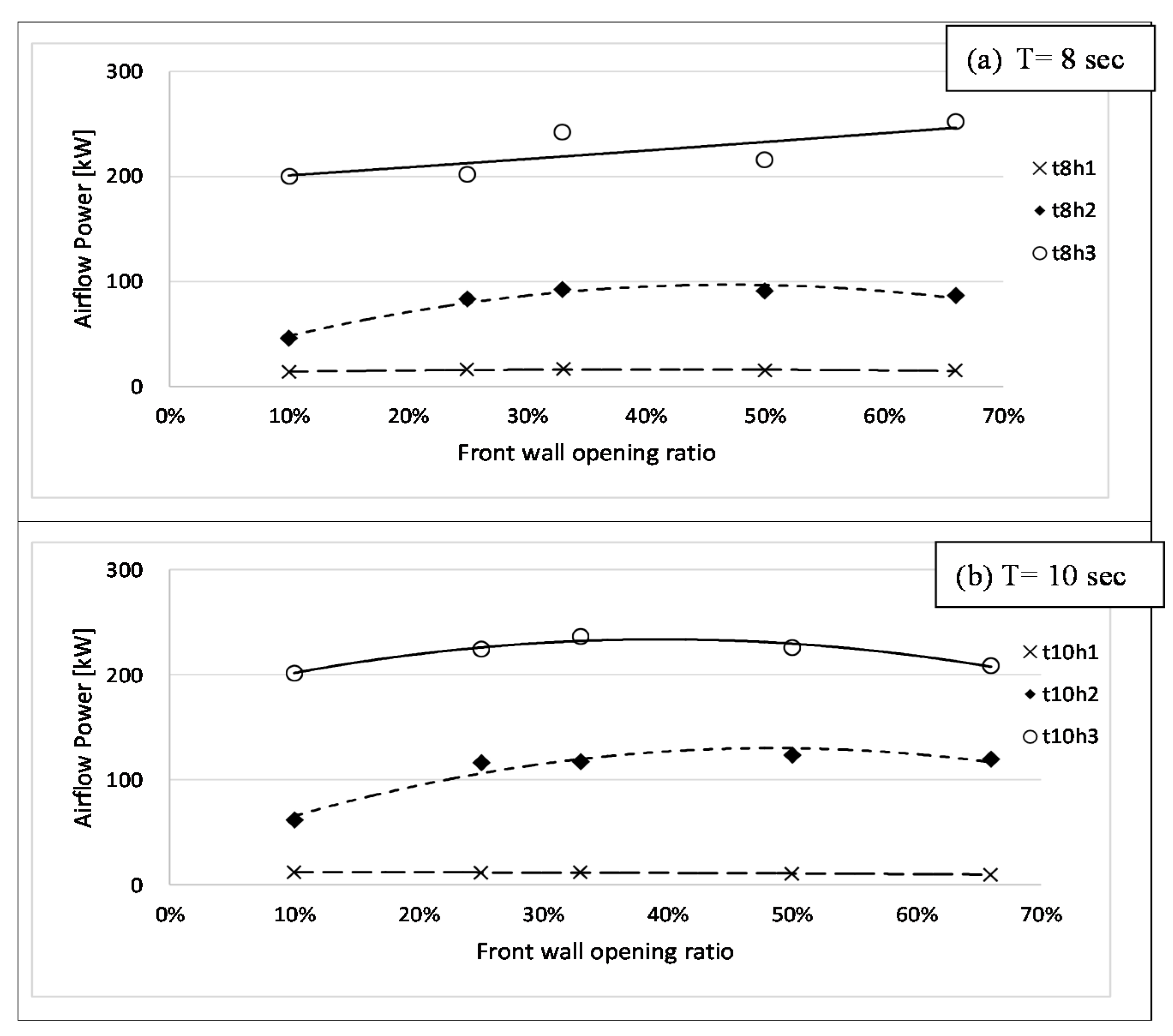
Presented in Figure 11 is the average power of the airflow at 1/3 maximum velocity for various OWC gate opening ratios to the water depth, where Figure 11a,b show the responses for various incident waves with periods of 8.0 s and 10.0 s, respectively. In each figure, three curves are shown, representing the responses corresponding to wave heights of 1.0, 2.0 and 3.0 m, as indicated.
It is observed that corresponding to the variation of OWC gate opening ratios the pneumatic power performance varies. When the wave height is small, like 1 m, it seems that there is no correspondence between the airflow power and the gate opening ratio, but when the wave height is 3 m a variation of velocity power occurs along with the variation of the opening ratio of the gate, but the variation is not consistent, as shown in Figure 11a where in the case of 8.0 s of wave period the pneumatic power has a linear increment corresponding to the opening ratio of the OWC gate while as shown in Figure 11b, for the case of 10 s of wave period, the power shows only a slight increase at a value of 35% for the opening ratio of the OWC gate and then decreases in a nonlinear way. For the case subjected to waves of 2 m wave height, the variation of velocity power will increase nonlinearly corresponding to the opening ratio of the OWC gate and then stay at a constant level or decrease slightly when the opening ratio of the gate becomes larger.
The largest power obtained from this case is 252 kW that occurs at an opening ratio of 66% for the OWC converter subjected to a wave of 3 m height and 8.0 s of period.
  • Efficiency of the power conversion of the OWC
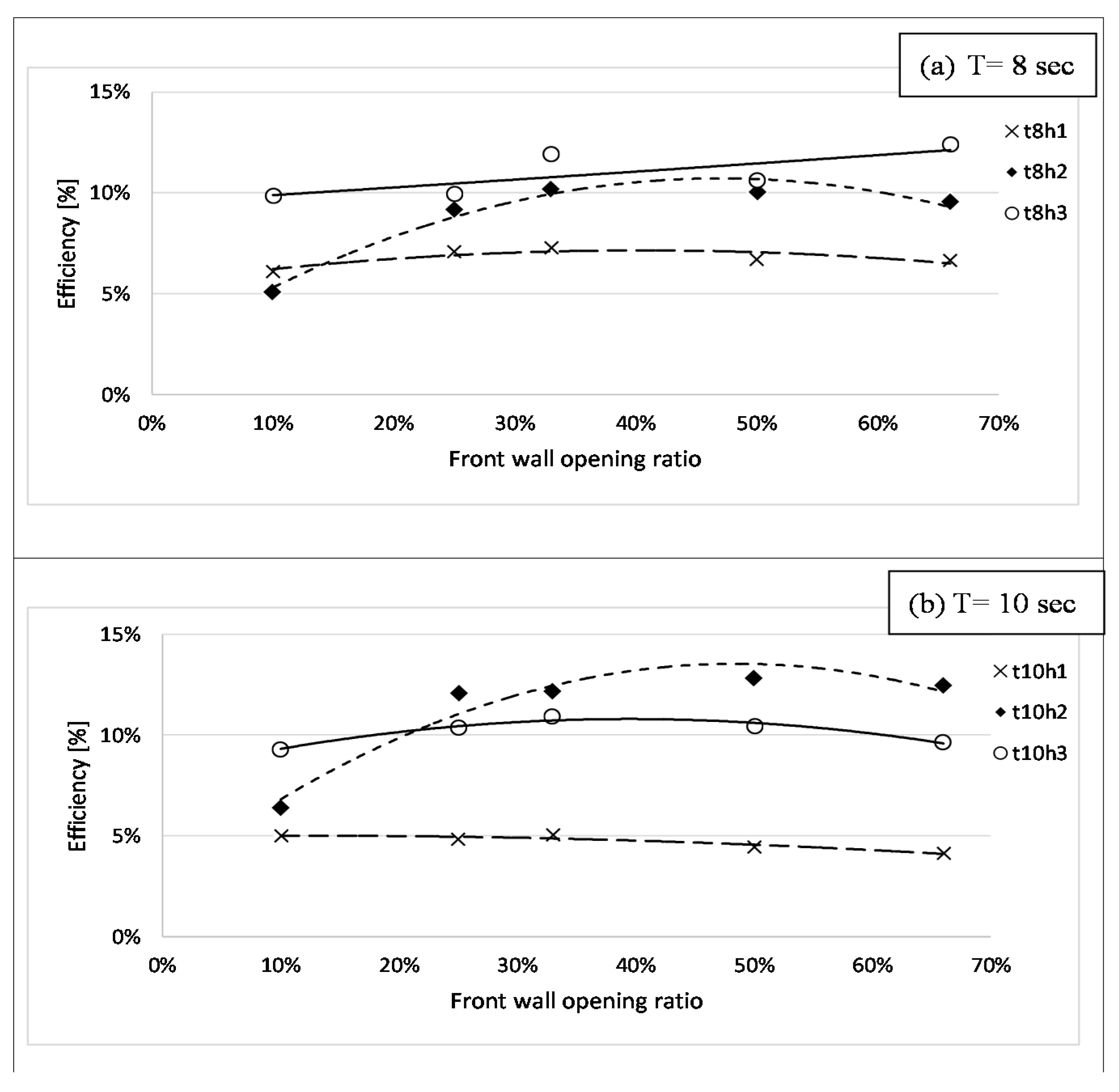
Presented in Figure 12 is the efficiency of power of airflow converted by the OWC for various OWC gate opening ratios, where Figure 12a,b show the responses for various incident waves with periods of 8.0 s and 10.0 s, respectively. In each figure, three curves are shown, representing the responses corresponding to wave heights of 1.0, 2.0 and 3.0 m as indicated.
It seems that there is no obvious trend between the power conversion efficiency and the opening ratio of the OWC gate. When the wave height is small, as in the case where the OWC is subjected to a wave of 1 m wave-height, the conversion efficiency will be more or less than 5% even when the wave has a large period like 10 s. For the cases subjected to waves of 2 m and 3 m wave height, the conversion efficiency will be larger than 10% for most cases for an applied wave of 8.0 s or 10.0 s. In the case of 10.0 s of wave period, the OWC converter subjected to a wave of 2 m wave height has a better conversion efficiency performance as shown in Figure 12b, where the largest efficiency obtained is 13%.

3.4. Responses Corresponding to the Submersion Depth Ratio of the Chamber Gate RZ

The submersion depth of the OWC gate may have an influence on the performance of an OWC conversion system. Therefore, taken into consideration in this section is a dimensionless ratio of submersion depth of the OWC converter to the water depth, indicated as RZ and listed in Table 1.
  • Velocity of airflow from the OWC
Presented in Figure 13 is the average of the 1/3 maximum (or significant) velocity of airflow for various ratios RZ of submersion depth of the OWC converter to the water depth, where Figure 13 shows the responses for various incident waves with wave heights of 1.0, 2.0 and 3.0 mm, respectively, as indicated in the description. It is found that corresponding to the increase of the submersion depth of the OWC converter, the airflow velocity generally increases or remains constant. It is clearly observed that the increase of velocity of airflow also has a positive relationship with the increase of wave height. However for the cases subjected to various wave periods the velocity of the airflow seems to not be affected much, as shown in both Figure 13a,b, where the values of the velocity corresponding to same wave height are almost same except that the curve displays some fluctuations. The maximum average velocity of the airflow is 60 m/s, occurring in cases subjected to waves of 3 m height and periods of 8.0 s and 10.0 s.
  • Power of airflow from the OWC
Presented in Figure 14 is the pneumatic power for various ratios of submersion depth of the OWC gate to the water depth, where Figure 14a,b show the responses for various incident waves with periods of 8.0 s and 10.0 s, respectively. In each figure, three curves are shown, representing the responses corresponding to wave heights of 1.0, 2.0 and 3.0 m, as indicated.
It is observed that corresponding to the increase of submersion depth ratios of the OWC gate the pneumatic power presents a positive correspondence to the wave height. When the wave height is small like 1 m or 2 m it seems that there is no correspondence between the airflow power and the submersion depth ratio. However when the wave height is 3 m a variation of velocity power occurs along with the variation of the submersion depth ratio of the gate, but the variation is not consistent, as shown in Figure 14b in the case of 10.0 s of wave period where the pneumatic power has a linear increment corresponding to the submersion depth ratio of the OWC gate while as shown in Figure 14a. for the case of 8.0 s of wave period the increment is fluctuating more with the variation of the submersion depth ratio. The maximum average power can reach 300 kW for the OWC subjected to waves of 3 m wave height.
  • Efficiency of the OWC power conversion
Presented in Figure 15 is the efficiency of the airflow power conversion by the OWC for various ratios of submersion depth of the OWC gate to the water depth, where Figure 15a,b show the responses for various incident waves with periods of 8.0 s and 10.0 s, respectively. In each figure, three curves are shown, representing the responses corresponding to wave heights of 1.0, 2.0 and 3.0 m, as indicated.
It is found that when the wave period is 8.0 s and the applied wave height is 3 m, the efficiency of the power conversion increases corresponding to the increase of the submersion ratio of the OWC gate. When the wave heights are 2 m or 1 m, the submersion depth seems to not have any influence on the conversion efficiency. However, when the period of the applied wave is 10.0 s, an obvious incremental trend corresponding to the submersion depth ratio is found for all wave heights. The efficiency performance for the 2 m wave height is similar to the performance for a 3 m wave height, where both increase linearly, and when the wave height is 1 m the correspondence between the conversion and the submersion depth seems to be stronger. The largest conversion efficiency is 15%, obtained in the case of an OWC subjected to a wave of 3 m height and 8.0 s of period when the ratio of submersion depth is 0.47.

4. Discussion of the Analytical Results

During the parameter analysis based on the dimensional parameters and the corresponding responses, phenomena are observed which are discussed in this section.

4.1. On the Effect of Parameters

During the analysis even though the airflow velocity has a positive relationship corresponding to either the wave height or the wave period, the increment of opening ratio of the orifice will reduce the velocity, but for the response of pneumatic power and the conversion efficiency, there does not seem to be a definite positive relationship corresponding to either the wave height or the wave period. There is a near normal distribution of the pneumatic power in the lower area ratio of orifice opening range between 0.001 and 0.02. During the conversion efficiency analysis when the opening ratio RA is less than 0.01, the analytical case with a small wave height of 1.0 m has a larger conversion efficiency. This is due to the fact a relatively small wave power is obtained from waves with small wave heights and this leads to a larger conversion efficiency.
For the study on the parameter of the ratio of chamber length RB, the role of the wave period is not significant. This is also the reason why the responses for a period of 6 s are not shown here. As was shown in the airflow velocity analysis, no matter what the wave period was a linear relationship corresponding to the variation of the ratio of chamber length is presented. As for the pneumatic power and the conversion efficiency a near normal distribution was found corresponding the variation of the ratio of chamber length when the wave height is 3.0 m, but the distribution becomes insignificant when the wave height is 1.0 m. It is also noticed that when the period or height of the wave is small the chamber length ratio parameter does not play an important role in the wave energy conversion. It is because the parameters applied are rather small, about 1/3 compared to the other study [7].
For the study of the opening ratio of the chamber gate, it is clearly shown that when the wave height is small such as 1.0 m, the airflow velocity or pneumatic power or the conversion efficiency are not influenced by the parameter RO. However, the performances of both the airflow velocity and the pneumatic power are significantly influenced by the wave height while they are not significantly affected by the wave period. The influence from the parameter RO on the conversion efficiency will happen at a certain wave height such as H = 2.0 m while at other wave heights the influence is not significant.
The influence of the submersion depth of the chamber gate parameter seems to not be significant for the airflow velocity but it shows a positive correspondence for the pneumatic power response when the applied wave height is high, such as 3.0 m. For the power conversion efficiency, when the wave period is large like 10.0 s a positive correspondence is also found for the responses in at all wave heights. When the wave period is 8.0 s, the correspondence is variable for various wave heights and a quadratic nonlinear variation is found for H=1.0 m and 3.0 m while it is almost a constant for a wave height H = 2.0 m.

4.2. A Wave-Power-Based Recommendation for OWC Design

Shown in Figure 16, Figure 17 and Figure 18 are the responses of air-flow velocity, pneumatic power and conversion efficiency of the OWC wave energy conversion system with specific dimension such as the ones listed in Table 1, referred to as the reference model corresponding to wave power. This is because neither thw wave height nor the wave period may totally represent the nature of a wave and the main objective of the conversion system is the energy that can be obtained. Therefore a design based on wave energy instead of the wave height or wave period might be more suitable for the design of an OWC wave energy conversion system. It is found that the air-flow velocity of the model shows a nonlinear increment trend corresponding to the increase of the wave power as shown in Figure 16, while the relationship between the generated pneumatic power and the wave power is linear as shown in Figure 17. Presented in Figure 18 is a quadratic nonlinear trend for the conversion efficiency corresponding to the wave power, where strong randomness also appears even though the trend of the correspondence to each other is generally positive.
This is only for a model case of which every dimension is set and subjected to a combination of waves with three different wave heights and three different periods. It shows that a large amount of transferred pneumatic power does not necessarily represent a good conversion efficiency for the conversion system. Secondly, a strong randomness is still observed in the analysis for the conversion efficiency even though the applied waves are regular and some care was taken with the data such as the first 1/3 maximum responses were averaged as applied in conventional engineering application. This means that a case by case variation exists and analysis will be needed for any design, especially given the variety of available OWC wave energy conversion systems which have evolved tremendously lately.
If a cross examination is to be performed in this study then more than 1500 cases will be analyzed and compared (4500 figures similar to Figure 16 and Figure 18 can be obtained). That will be a tremendous amount of work while the parameters taken into account in this study are only ones based on the local environmental conditions considered to be influential to the design of this specific OWC system. Therefore, what people always want to have, a universal formula for every kind of OWC will be very difficult if not impossible to obtain. Similar types of OWC wave energy conversion systems may have some guidelines for design purposes based on their geometrical dimensions and local wave conditions but some other uncertainties such as the sea bottom conditions, slopes in the way of incident waves and other environmental variables must be also considered during the design process.

5. Conclusions

In this study, a series of investigations of the dimension-related parameters were executed to examine the relationships between the investigated parameters and the wave energy conversion efficiency for an OWC wave energy conversion system. The OWC wave energy converter proposed in this study is a series of sets of independent systems, in which each set of converters is composed of three chambers to capture the wave energy. According to the theoretical and numerical study results some conclusions can be drawn based on the parameters related to the dimensions of each set of OWC conversion systems and discussed as follows:
  • For the airflow velocity obtained through the orifice of the chamber, a value of 143 m/s can be found for the average of first 1/3 maximum velocities during the analysis of the orifice opening ratio to the water surface area in the chamber, where the opening ratio is 0.002 and the actual diameter of the orifice will be 26.22 cm, quite small and probably not practical to install an an effective turbine system even though the velocity is pretty high. However, for most cases a velocity of more or less than 50 m/s can be obtained, especially when the wave height applied to the OWC is as large as 3 m. The influence of orifice opening ratio and the applied wave height to the airflow velocity is significant. When the orifice opening ratio is larger than 0.02, increasing the airflow velocity by varying other dimensions in the chamber is very difficult. Therefore, it is recommended that for an optimum design of the OWC power conversion system the range of opening area ratios must be located in a range smaller than 0.02.
  • For the pneumatic power study, the highest power that can be generated in this study was 480 kW, also corresponding to an extreme case of a very small orifice while for most cases the pneumatic power will be more or less than 100 kW. For a higher wave height, the pneumatic power will be larger and can reach values as high as 200 kW. The influence of the dimensional parameters on the pneumatic power are generally not significant when the wave height is smaller, but when the applied wave height is larger, such as the case of a 3 m wave height, the increase of the dimensions of the submersion depth of the gate opening has a positive influence on the pneumatic power.
  • For the conversion efficiency, unlike the traditional concept that a larger airflow velocity may have better conversion efficiency, in some cases the conversion efficiency is actually better for the case in which the applied wave is smaller, especially for the case where the orifice is small and the velocity is extreme high. The influence of the dimensional parameters on the efficiency performance of the proposed OWC conversion system is also varied. A best efficiency of 32% conversion power from incident waves can be found for the extreme case, where the orifice is very small but for most cases in the study, where the ratio of the orifice to the water surface is set as 0.02, the best efficiency is about 15%. A value of more or less than 10% is obtained for most cases.
  • Due to the random nature of waves even though a regular wave was applied in the study, the responses for a specifically designed OWC wave energy conversion system still show irregular uncertainties. It seems that to find a universal rule that can fit for every kind of OWC wave energy conversion system is not possible. Therefore, the dimensions of the OWC chamber are critical during the design stage because they are closely related to the environmental conditions such as the wave height and period of the regular waves. The most critical dimension is the ratio of the cross section of the orifice to the area of the water surface in the chamber. A smaller orifice can produce a larger airflow velocity, however, considering the local environmental conditions, especially the wave height and the cost, an OWC device designed for a smaller wave height but with higher conversion efficiency is possible.

Author Contributions

Conceptualization, H.H.L.; methodology, H.H.L.; software, C.-H.C.; validation, H.H.L.; formal analysis, C.-H.C.; investigation, H.H.L. and C.-H.C.; resources, H.H.L.; data curation, H.H.L.; writing—original draft preparation, H.H.L. and C.-H.C.; writing—review and editing, H.H.L.; visualization, H.H.L. and C.-H.C.; supervision, H.H.L.; project administration, H.H.L.; funding acquisition, H.H.L. All authors have read and agreed to the published version of the manuscript.

Funding

This research was funded in part by the Ministry of Science and Technology (MOST Taiwan under grant “MOST 105-221-E-110-047” and “The APC was funded by MOST Taiwan”.

Acknowledgments

This research has been financially supported in part by the Ministry of Science and Technology (MOST Taiwan under grants “MOST 105-221-E-110-047”. It is gratefully appreciated.

Conflicts of Interest

The authors declare no conflict of interest.

References

  1. Ruddiman, W.F. Earth’s Climate: Past and Future; W. H. Freeman and Company: New York, NY, USA, 2008; ISBN 9780716784906. [Google Scholar]
  2. Rohli, R.V.; Vega, A.J. Climatology, 4th ed.; Jones & Bartlett Learning: Burlington, MA, USA, 2018; ISBN 9781284126563. [Google Scholar]
  3. Boccotti, P. Comparison between a U-OWC and a conventional OWC. Ocean Eng. 2007, 34, 799–805. [Google Scholar] [CrossRef]
  4. Spanos, P.D.; Strati, F.M.; Malara, G.; Arena, F. An approach for non-linear stochastic analysis of U-shaped OWC wave energy converters. Probabilistic Eng. Mech. 2018, 54, 44–52. [Google Scholar] [CrossRef]
  5. Sheng, W. Power performance of BBDB OWC wave energy converter. Renew. Energy 2019, 132, 709–722. [Google Scholar] [CrossRef]
  6. Ning, D.; Zhou, Y.; Zhang, C. Hydrodynamic modeling of a novel dual-chamber OWC wave energy converter. Appl. Ocean Res. 2018, 78, 180–191. [Google Scholar] [CrossRef]
  7. Bouali, B.; Larbi, S. Contribution to the Geometry Optimization of an Oscillating Water Column Wave Energy Converter. Energy Procedia 2013, 36, 565–573. [Google Scholar] [CrossRef]
  8. Ansarifard, N.; Fleming, A.; Henderson, A.; Kianejad, S.; Orphin, J. Comparison of inflow and outflow radial air turbines in vented and bidirectional OWC wave energy converters. Energy 2019, 1821, 159–176. [Google Scholar] [CrossRef]
  9. Liu, Z.; Xu, C.; Qu, N.; Cui, Y.; Kim, K. Overall performance evaluation of a model-scale OWC wave energy converter. Renew. Energy 2020, 149, 1325–1338. [Google Scholar] [CrossRef]
  10. Elhanafi, A.; Kim, C.J. Experimental and numerical investigation on wave height and power take–off damping effects on the hydrodynamic performance of an offshore–stationary OWC wave energy converter. Renew. Energy 2018, 125, 518–528. [Google Scholar] [CrossRef]
  11. Simonetti, L.C.; Elsafti, H.; Oumeraci, H. Evaluation of air compressibility effects on the performance of fixed OWC wave energy converters using CFD modelling. Renew. Energy 2018, 119, 741–753. [Google Scholar] [CrossRef]
  12. Wang, R.; Ning, D. Dynamic analysis of wave action on an OWC wave energy converter under the influence of viscosity. Renew. Energy 2020, 150, 578–588. [Google Scholar] [CrossRef]
  13. Henriques, J.C.; Portillo, J.C.C.; Gato, L.M.C.; Gomes, R.P.F.; Ferreira, D.N.; Falcao, A. Design of oscillating-water-column wave energy converters with an application to self-powered sensor buoys. Energy 2016, 112, 852–867. [Google Scholar] [CrossRef]
  14. Babajani, A.; Jafari, M.; Hafezisefat, P.; Mirhosseini, M.; Rosendahl, L. Parametric study of a wave energy converter (Searaser) for Caspian Sea. Energy Procedia 2018, 147, 334–342. [Google Scholar] [CrossRef]
  15. Elhanafi, A. Prediction of regular wave loads on a fixed offshore oscillating water column-wave energy converter using CFD. J. Ocean Eng. Sci. 2016, 1, 268–283. [Google Scholar] [CrossRef]
  16. Lopez, I.; Iglesias, G. Efficiency of OWC wave energy converters: A virtual laboratory. Appl. Ocean Res. 2014, 44, 63–70. [Google Scholar] [CrossRef]
  17. Boccotti, P. Caisson breakwaters embodying an OWC with a small opening. Part I: Theory. Ocean Eng. 2007, 34, 806–820. [Google Scholar] [CrossRef]
  18. Boccotti, P.; Filianoti, P.; Fiamma, V.; Arena, F. Caisson breakwaters embodying an OWC with a small opening. Part II: A small scale field experiment. Ocean Eng. 2007, 34, 820–830. [Google Scholar] [CrossRef]
  19. Lee, H.H.; Chiu, Y.-F.; Lin, C.Y.; Chen, C.-H.; Huang, M.-H. Parametric study on a caisson based OWC wave energy converting system. World J. Eng. Technol. 2016, 4, 213–219. [Google Scholar] [CrossRef]
  20. Goda, Y.; Nakada, H.; Ohneda, H.; Suzuki, M.; Takahashi, S.; Shikamori, M. Results of field experiment of a wave power extracting caisson breakwater. Proc. Ocean Dev. 1991, 7, 143–148. [Google Scholar] [CrossRef]
  21. Goda, Y.; Shinda, T.; Chiyama, S.; Ohneda, H.; Suzuki, M.; Takahashi, S.; Shikamori, M.; Takaki, Y. Experiment of a wave power extracting caisson breakwater. Proc. Ocean Dev. 1989, 5, 1–6. [Google Scholar]
  22. Chiu, Y.-F.; Lee, H.H.; Lin, C.-Y.; Chang, F.-T. Study on a caisson based OWC wave energy converting system. World J. Eng. Technol. 2014. [Google Scholar] [CrossRef]
  23. Milne-Thomson, L.M. Theoretical Hydrodynamics; The MacMillan Co.: New York, NY, USA, 1960. [Google Scholar]
  24. Sarpkaya, T.; Isaacson, M. Mechanics of Wave Forces on Offshore Structures; Van Nostrand Reinhold Company: New York, NY, USA, 1981; ISBN 0-442-25402-2. [Google Scholar]
  25. Schlichting, H. Boundary-Layer Theory; McGraw-Hill: New York, NY, USA, 1968. [Google Scholar]
  26. Longuet-Higgins, M.S. Integral properties of periodic gravity waves of finite amplitude. Proc. R. Soc. Ser. A 1975, 342, 157–174. [Google Scholar]
Figure 1. Schematic drawing for a caisson based OWC system.
Figure 1. Schematic drawing for a caisson based OWC system.
Energies 13 01926 g001
Figure 2. Schematic drawing showing the coefficients of a wave.
Figure 2. Schematic drawing showing the coefficients of a wave.
Energies 13 01926 g002
Figure 3. Parameters to be examined in the study.
Figure 3. Parameters to be examined in the study.
Energies 13 01926 g003
Figure 4. Airflow velocity corresponding to area ratio of orifice cross-section.
Figure 4. Airflow velocity corresponding to area ratio of orifice cross-section.
Energies 13 01926 g004
Figure 5. Pneumatic power corresponding to area ratio of orifice cross-section.
Figure 5. Pneumatic power corresponding to area ratio of orifice cross-section.
Energies 13 01926 g005
Figure 6. Efficiency corresponding to area ratio of the orifice cross-section.
Figure 6. Efficiency corresponding to area ratio of the orifice cross-section.
Energies 13 01926 g006
Figure 7. Airflow velocity corresponding to chamber-length ratio of OWC.
Figure 7. Airflow velocity corresponding to chamber-length ratio of OWC.
Energies 13 01926 g007
Figure 8. Pneumatic power corresponding to chamber-length ratio of OWC.
Figure 8. Pneumatic power corresponding to chamber-length ratio of OWC.
Energies 13 01926 g008
Figure 9. Efficiency corresponding to the chamber length ratio of the OWC.
Figure 9. Efficiency corresponding to the chamber length ratio of the OWC.
Energies 13 01926 g009
Figure 10. Airflow velocity corresponding to the opening ratio of the OWC gate.
Figure 10. Airflow velocity corresponding to the opening ratio of the OWC gate.
Energies 13 01926 g010
Figure 11. Pneumatic power corresponding to opening ratio of OWC gate.
Figure 11. Pneumatic power corresponding to opening ratio of OWC gate.
Energies 13 01926 g011
Figure 12. Efficiency corresponding to the opening ratio of the OWC gate.
Figure 12. Efficiency corresponding to the opening ratio of the OWC gate.
Energies 13 01926 g012
Figure 13. Airflow velocity corresponding to submersion depth ratio RZ of the OWC gate.
Figure 13. Airflow velocity corresponding to submersion depth ratio RZ of the OWC gate.
Energies 13 01926 g013
Figure 14. Pneumatic power corresponding to the submersion depth RZ of the OWC gate.
Figure 14. Pneumatic power corresponding to the submersion depth RZ of the OWC gate.
Energies 13 01926 g014
Figure 15. Efficiency corresponding to submersion depth of the OWC gate.
Figure 15. Efficiency corresponding to submersion depth of the OWC gate.
Energies 13 01926 g015
Figure 16. Airflow velocity corresponding to the energy of incident waves (single case).
Figure 16. Airflow velocity corresponding to the energy of incident waves (single case).
Energies 13 01926 g016
Figure 17. Pneumatic power corresponding to the energy of incident waves (single case).
Figure 17. Pneumatic power corresponding to the energy of incident waves (single case).
Energies 13 01926 g017
Figure 18. Converting Efficiency corresponding to the energy of incident waves (single case).
Figure 18. Converting Efficiency corresponding to the energy of incident waves (single case).
Energies 13 01926 g018
Table 1. Parameters utilized in the analysis.
Table 1. Parameters utilized in the analysis.
ParameterCodeVariables
Area-ratio of orificeRA0.002, 0.004, 0.006, 0.008, 0.01, 0.02, 0.04, 0.06, 0.08, 0.10
Length-ratio of chamberRB2m, 4m, 6m, 8m, 10m, 12m / wavelength
Opening-ratio of gateRO10%, 25%, 33%, 50%, 66%
Submerge-ratio of chamberRZ0.20, 0.33, 0.47, 0.60, 0.73

Share and Cite

MDPI and ACS Style

Lee, H.H.; Chen, C.-H. Parametric Study for an Oscillating Water Column Wave Energy Conversion System Installed on a Breakwater. Energies 2020, 13, 1926. https://doi.org/10.3390/en13081926

AMA Style

Lee HH, Chen C-H. Parametric Study for an Oscillating Water Column Wave Energy Conversion System Installed on a Breakwater. Energies. 2020; 13(8):1926. https://doi.org/10.3390/en13081926

Chicago/Turabian Style

Lee, Hsien Hua, and Cheng-Han Chen. 2020. "Parametric Study for an Oscillating Water Column Wave Energy Conversion System Installed on a Breakwater" Energies 13, no. 8: 1926. https://doi.org/10.3390/en13081926

APA Style

Lee, H. H., & Chen, C.-H. (2020). Parametric Study for an Oscillating Water Column Wave Energy Conversion System Installed on a Breakwater. Energies, 13(8), 1926. https://doi.org/10.3390/en13081926

Note that from the first issue of 2016, this journal uses article numbers instead of page numbers. See further details here.

Article Metrics

Back to TopTop