Comparison of Different Driving Modes for the Wind Turbine Wake in Wind Tunnels
Abstract
1. Introduction
2. Experimental Setup
2.1. UIF Wind Tunnel
2.2. ABL Wind Tunnel
3. Description of the Driving Modes
3.1. Passive Driving Mode
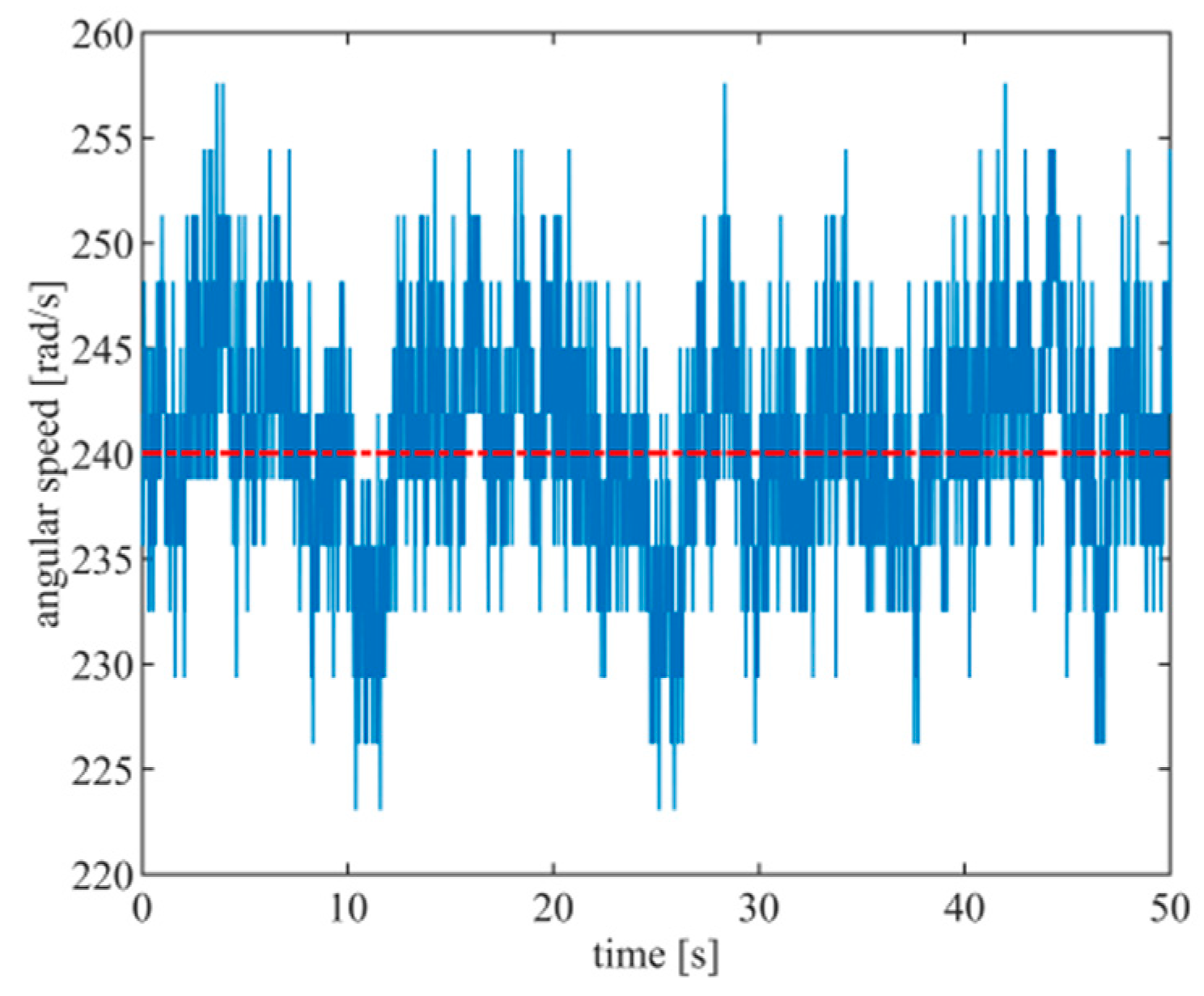
3.2. Active Driving Mode
4. Results and Discussions
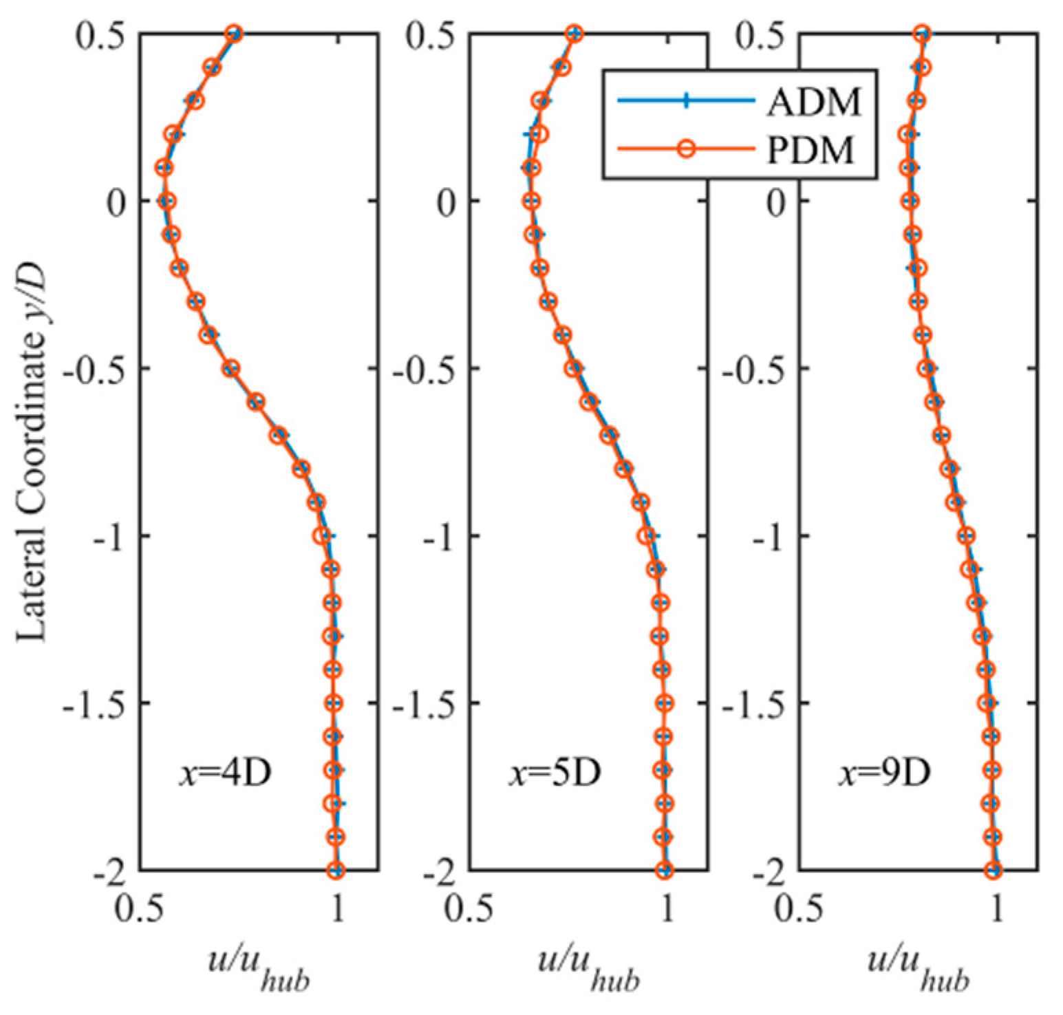
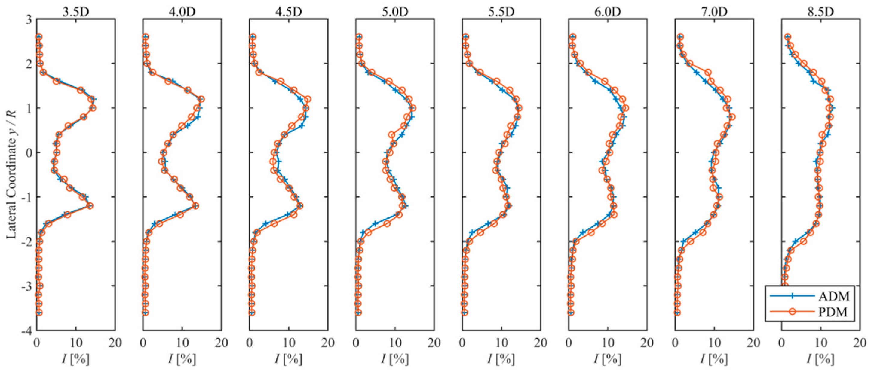
4.1. Basic Characteristics of the Wake Effect
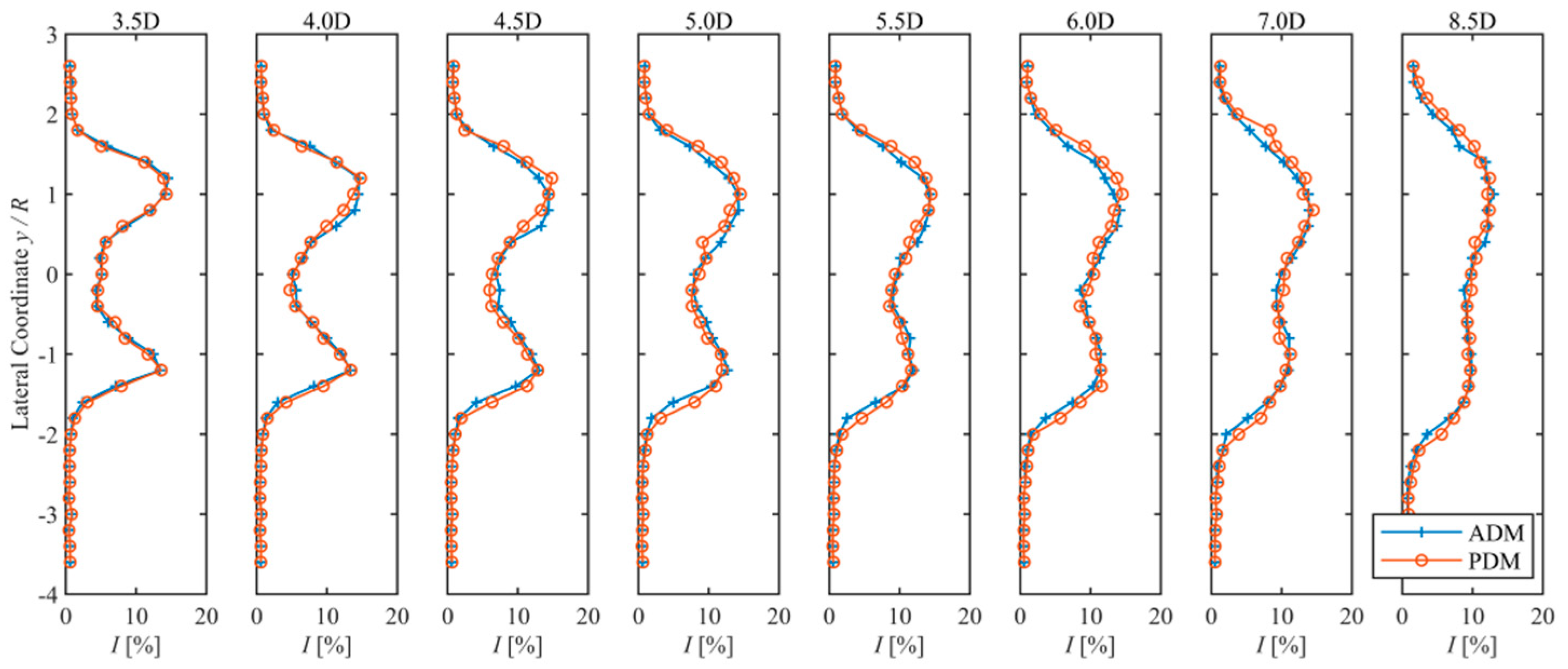
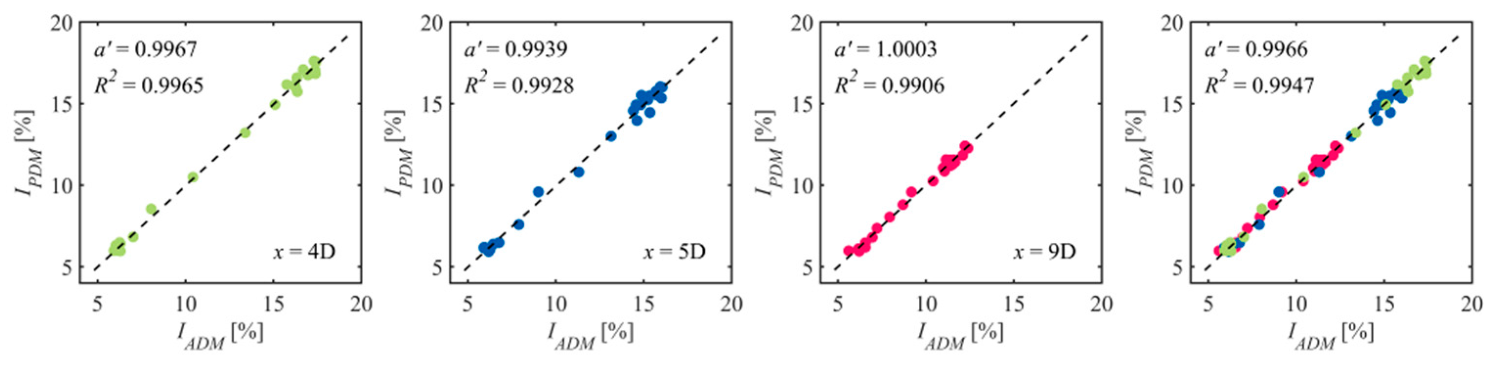
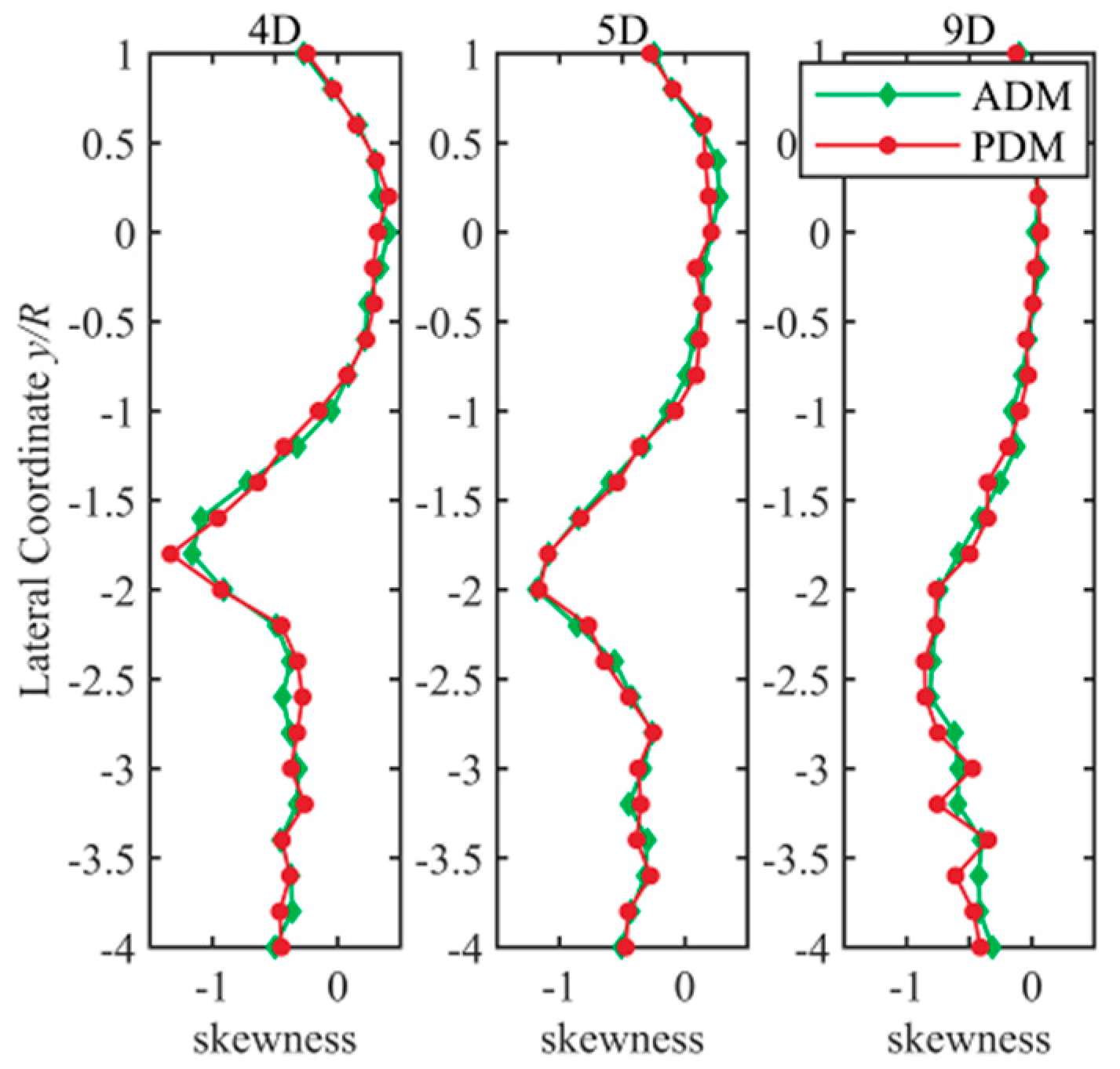
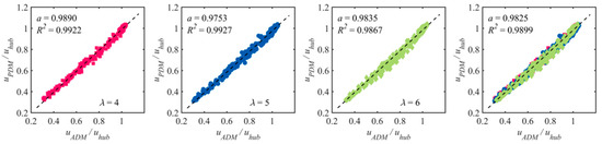
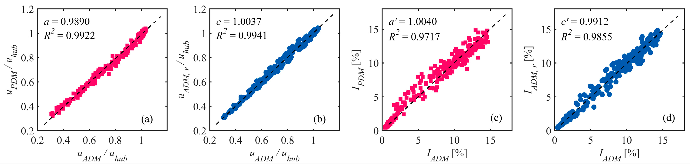
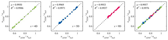
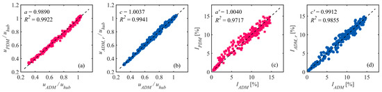
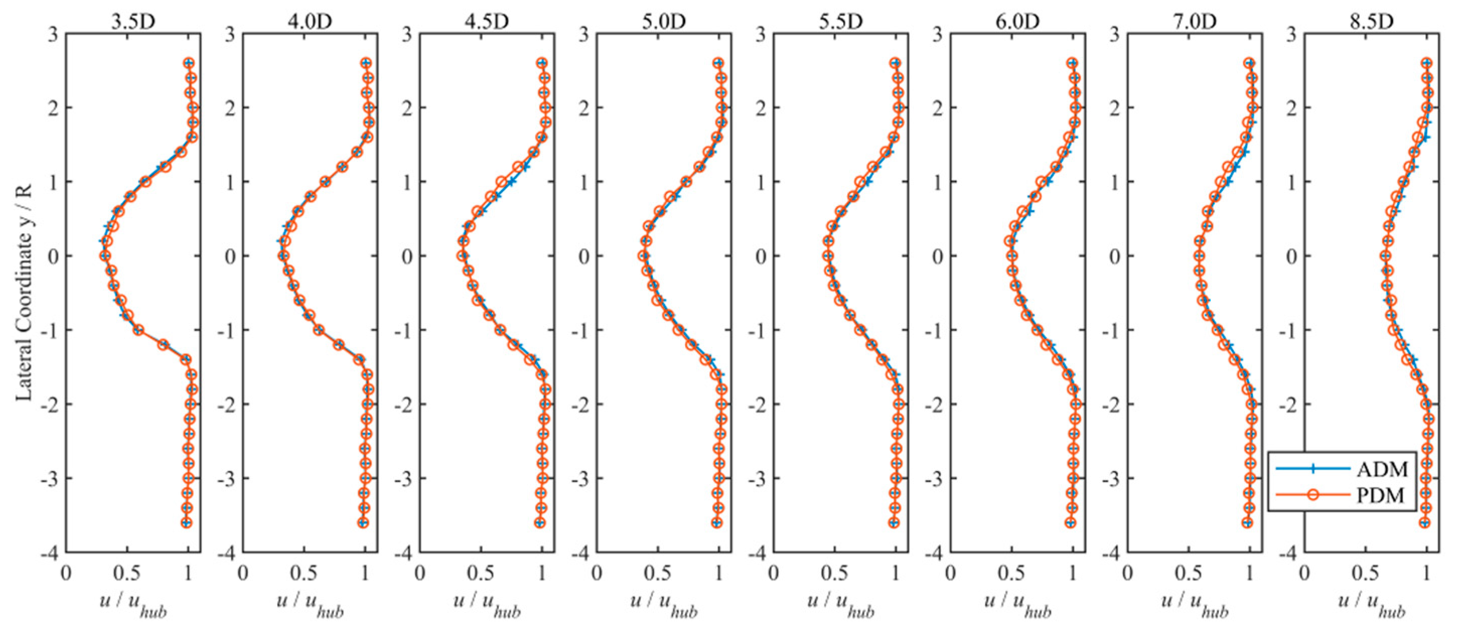
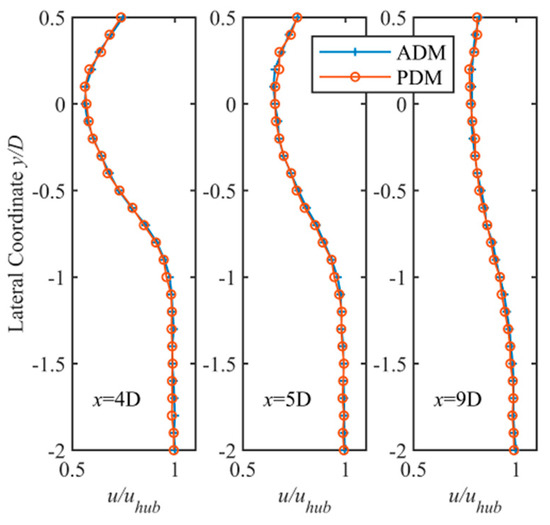
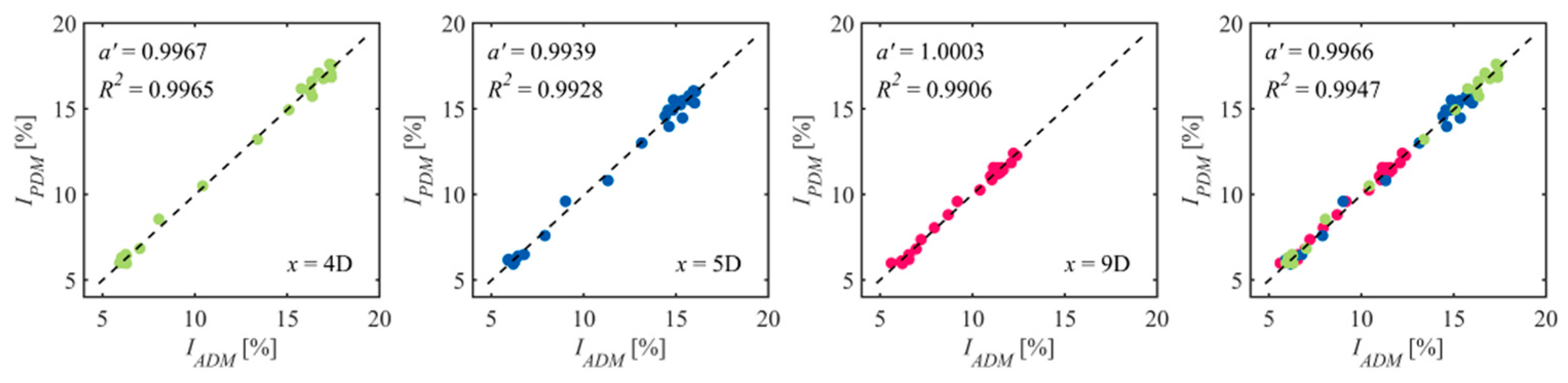
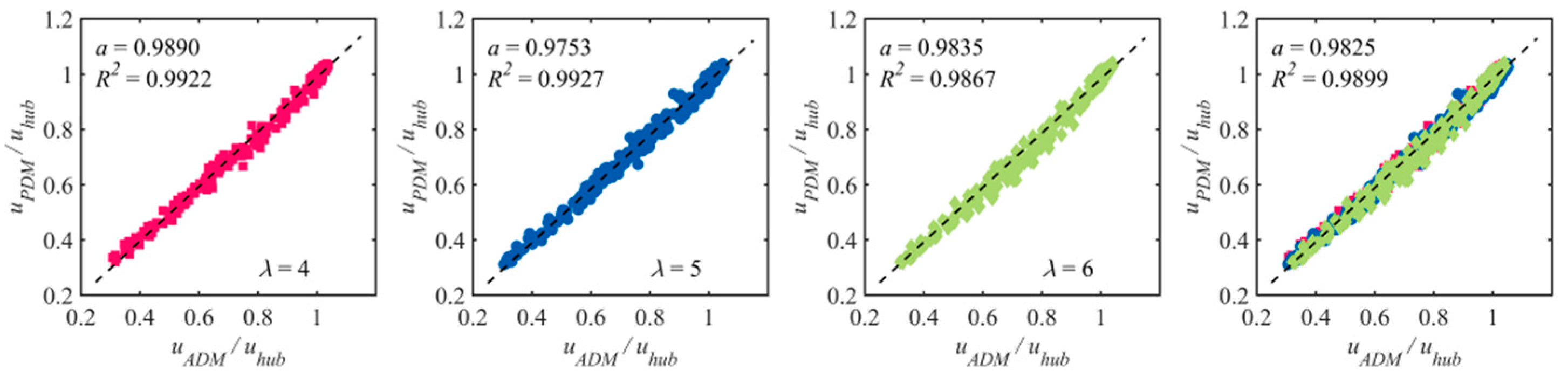
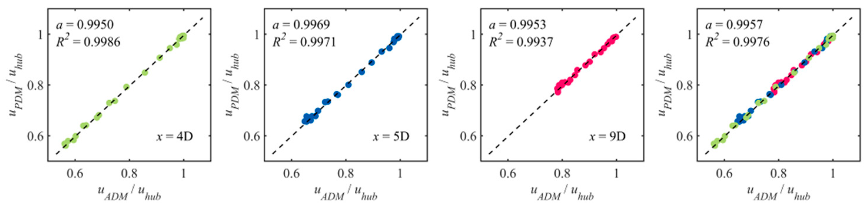
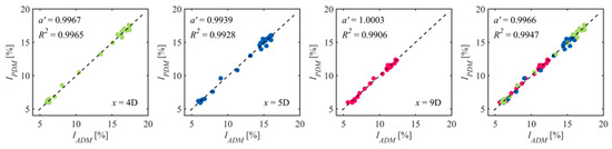
4.2. Linear Comparison
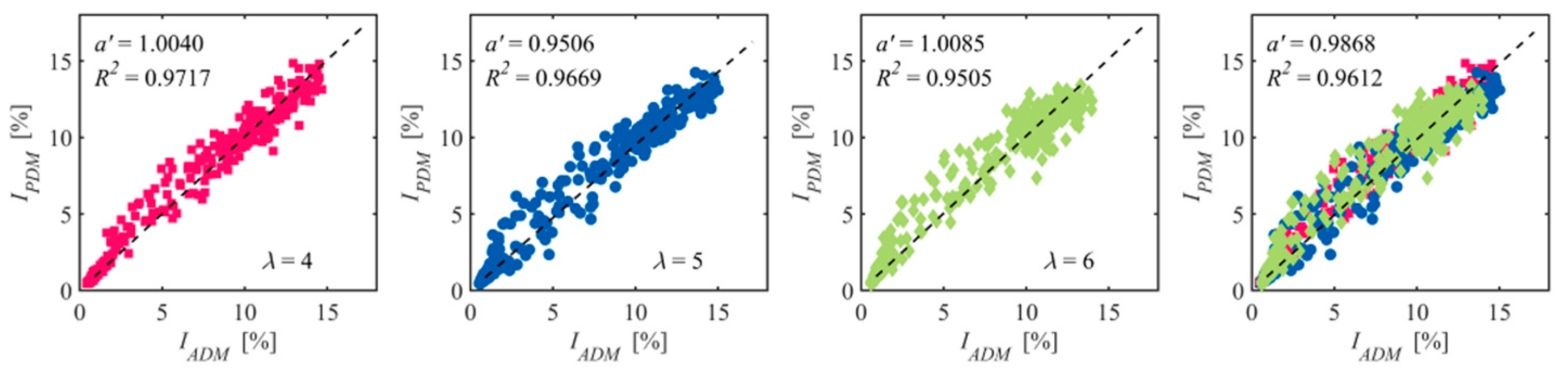
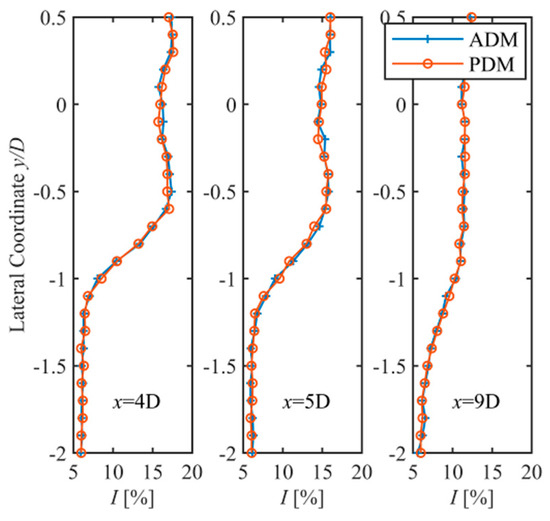
4.3. Effect of the Tip Speed Ratio
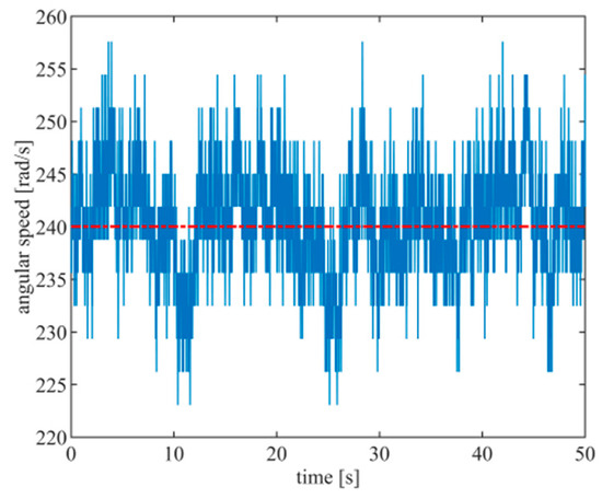
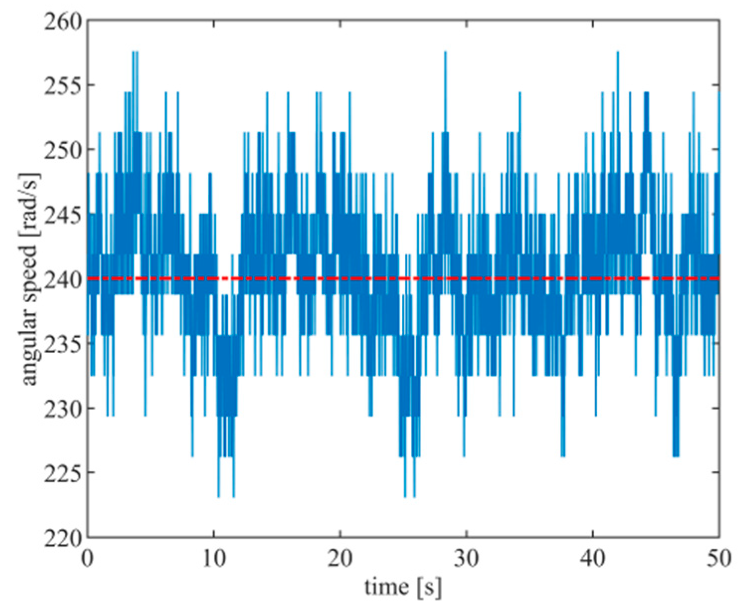
4.4. Experimental Uncertainty under the UIF Condition
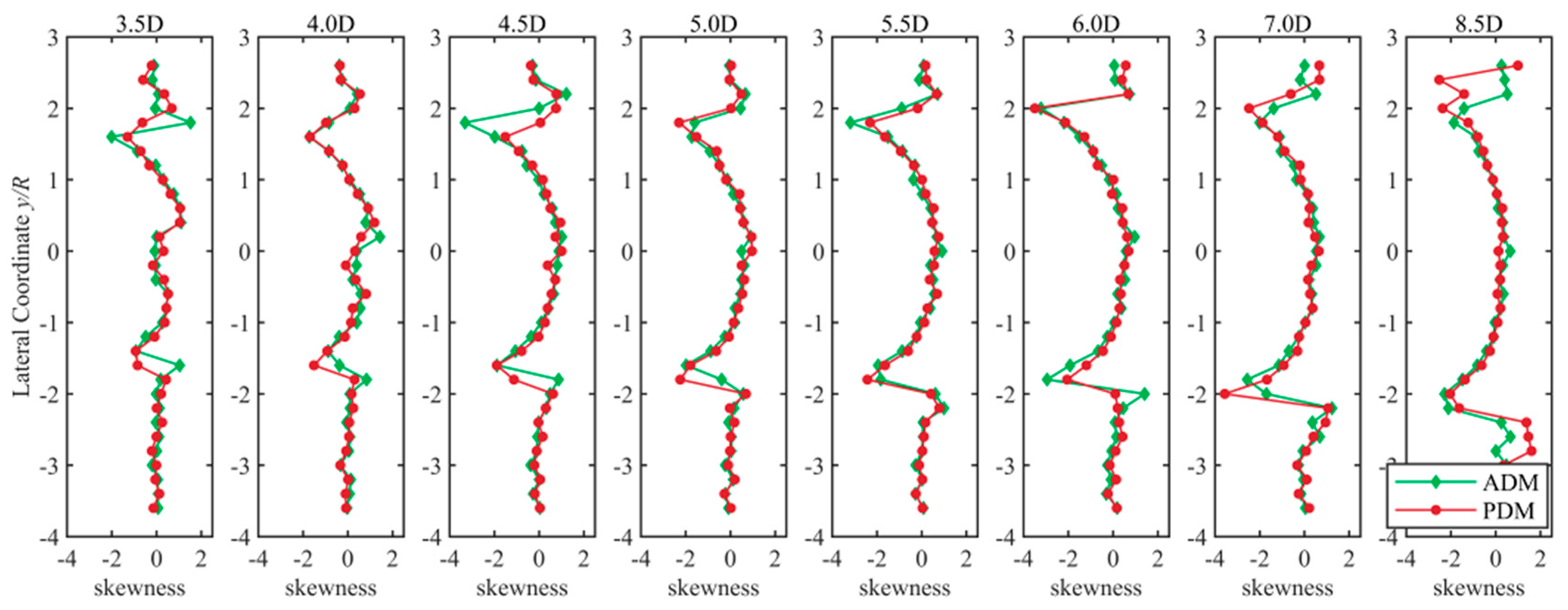
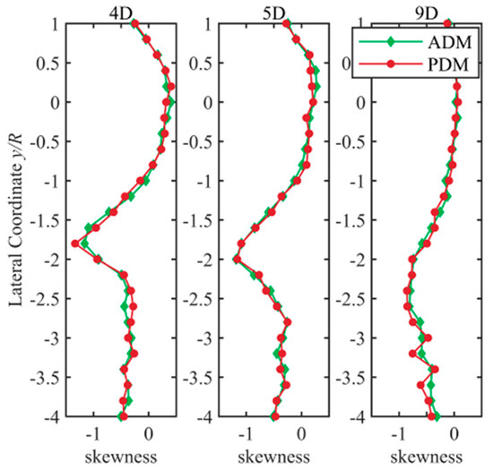
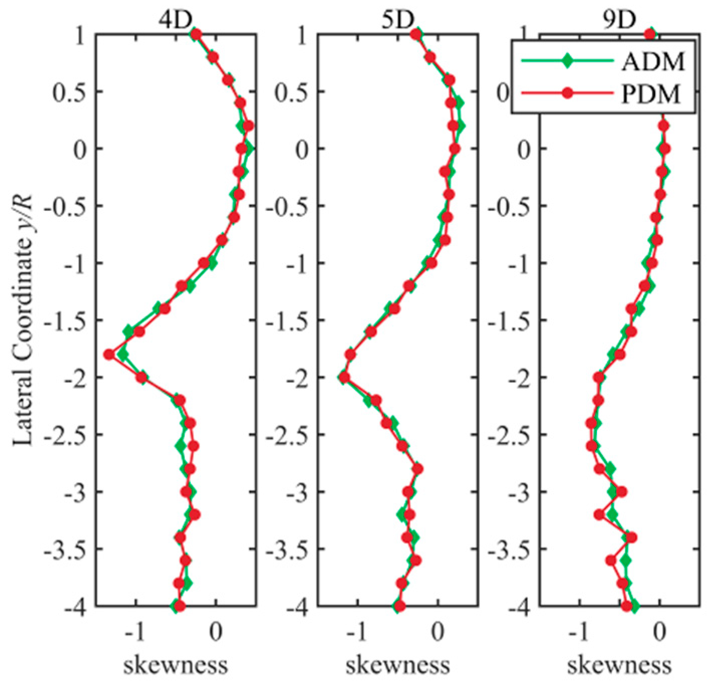
4.5. Statistical Analysis
5. Conclusions
Author Contributions
Funding
Acknowledgments
Conflicts of Interest
References
- Chamorro, L.P.; Porté-Agel, F. A Wind-Tunnel Investigation of Wind-Turbine Wakes: Boundary-Layer Turbulence Effects. Bound. Layer Meteorol. 2009, 132, 129–149. [Google Scholar] [CrossRef]
- Adaramola, M.; Krogstad, P.Å. Experimental investigation of wake effects on wind turbine performance. Renew. Energy 2011, 36, 2078–2086. [Google Scholar] [CrossRef]
- Hansen, K.S.; Barthelmie, R.; Jensen, L.E.; Sommer, A. The impact of turbulence intensity and atmospheric stability on power deficits due to wind turbine wakes at Horns Rev wind farm. Wind Energy 2011, 15, 183–196. [Google Scholar] [CrossRef]
- Bossuyt, J.; Howland, M.F.; Meneveau, C.; Meyers, J. Measurement of unsteady loading and power output variability in a micro wind farm model in a wind tunnel. Exp. Fluids 2016, 58, 1. [Google Scholar] [CrossRef]
- Tian, W.; Ozbay, A.; Hu, H. An experimental investigation on the wake interferences among wind turbines sited in aligned and staggered wind farms. Wind Energy 2017, 21, 100–114. [Google Scholar] [CrossRef]
- Gil, M.D.P.; Gomis-Bellmunt, O.; Sumper, A.; Bergas-Jane, J. Power generation efficiency analysis of offshore wind farms connected to a SLPC (single large power converter) operated with variable frequencies considering wake effects. Energy 2012, 37, 455–468. [Google Scholar]
- Hong, J.; Guala, M.; Chamorro, L.P.; Sotiropoulos, F. Probing wind-turbine/atmosphere interactions at utility scale: Novel insights from the EOLOS wind energy research station. J. Physics: Conf. Ser. 2014, 524, 012001. [Google Scholar] [CrossRef]
- Nemes, A.; Dasari, T.; Hong, J.; Guala, M.; Coletti, F. Snowflakes in the atmospheric surface layer: Observation of particle–turbulence dynamics. J. Fluid Mech. 2017, 814, 592–613. [Google Scholar] [CrossRef]
- Hu, H.; Yang, Z.; Sarkar, P. Dynamic wind loads and wake characteristics of a wind turbine model in an atmospheric boundary layer wind. Exp. Fluids 2011, 52, 1277–1294. [Google Scholar] [CrossRef]
- Howard, K.B.; Singh, A.; Sotiropoulos, F.; Guala, M. On the statistics of wind turbine wake meandering: An experimental investigation. Phys. Fluids 2015, 27, 075103. [Google Scholar] [CrossRef]
- Ali, N.; Kadum, H.F.; Cal, R.B. Focused-based multifractal analysis of the wake in a wind turbine array utilizing proper orthogonal decomposition. J. Renew. Sustain. Energy 2016, 8, 063306. [Google Scholar] [CrossRef]
- Annoni, J.; Howard, K.; Seiler, P.; Guala, M. An experimental investigation on the effect of individual turbine control on wind farm dynamics. Wind Energy 2015, 19, 1453–1467. [Google Scholar] [CrossRef]
- Stevens, R.J.A.M.; Meneveau, C. Flow Structure and Turbulence in Wind Farms. Annu. Rev. Fluid Mech. 2017, 49, 311–339. [Google Scholar] [CrossRef]
- Göçmen, T.; Van Der Laan, P.; Réthoré, P.-E.; Peña, A.; Larsen, G.; Ott, S. Wind turbine wake models developed at the technical university of Denmark: A review. Renew. Sustain. Energy Rev. 2016, 60, 752–769. [Google Scholar] [CrossRef]
- Dou, B.; Guala, M.; Lei, L.; Zeng, P. Wake model for horizontal-axis wind and hydrokinetic turbines in yawed conditions. Appl. Energy 2019, 242, 1383–1395. [Google Scholar] [CrossRef]
- Yang, X.; Kang, S.; Sotiropoulos, F. Computational study and modeling of turbine spacing effects in infinite aligned wind farms. Phys. Fluids 2012, 24, 115107. [Google Scholar] [CrossRef]
- Foti, D.; Yang, X.; Guala, M.; Sotiropoulos, F. Wake meandering statistics of a model wind turbine: Insights gained by large eddy simulations. Phys. Rev. Fluids 2016, 1, 4. [Google Scholar] [CrossRef]
- Medici, D.; Alfredsson, P.H. Measurements on a wind turbine wake: 3D effects and bluff body vortex shedding. Wind Energy 2006, 9, 219–236. [Google Scholar] [CrossRef]
- Cal, R.B.; Lebrón, J.; Castillo, L.; Kang, H.S.; Meneveau, C. Experimental study of the horizontally averaged flow structure in a model wind-turbine array boundary layer. J. Renew. Sustain. Energy 2010, 2, 013106. [Google Scholar] [CrossRef]
- Iungo, G.V. Experimental characterization of wind turbine wakes: Wind tunnel tests and wind LiDAR measurements. J. Wind Eng. Ind. Aerodyn. 2016, 149, 35–39. [Google Scholar] [CrossRef]
- Krogstad, P.Å.; Lund, J.A. An experimental and numerical study of the performance of a model turbine. Wind Energy 2011, 15, 443–457. [Google Scholar] [CrossRef]
- Lignarolo, L.E.; Ragni, D.; Krishnaswami, C.; Chen, Q.; Ferreira, C.S.; Van Bussel, G. Experimental analysis of the wake of a horizontal-axis wind-turbine model. Renew. Energy 2014, 70, 31–46. [Google Scholar] [CrossRef]
- Ryi, J.; Rhee, W.; Hwang, U.C.; Choi, J.-S. Blockage effect correction for a scaled wind turbine rotor by using wind tunnel test data. Renew. Energy 2015, 79, 227–235. [Google Scholar] [CrossRef]
- Schumann, H.; Pierella, F.; Sætran, L. Experimental Investigation of Wind Turbine Wakes in the Wind Tunnel. Energy Procedia 2013, 35, 285–296. [Google Scholar] [CrossRef]
- Pierella, F.; Saetran, L.; Sætran, L. Wind tunnel investigation on the effect of the turbine tower on wind turbines wake symmetry. Wind Energy 2017, 20, 1753–1769. [Google Scholar] [CrossRef]
- Li, Q.; Murata, J.; Endo, M.; Maeda, T.; Kamada, Y. Experimental and numerical investigation of the effect of turbulent inflow on a Horizontal Axis Wind Turbine (part II: Wake characteristics). Energy 2016, 113, 1304–1315. [Google Scholar] [CrossRef]
- Li, Q.; Murata, J.; Endo, M.; Maeda, T.; Kamada, Y. Experimental and numerical investigation of the effect of turbulent inflow on a Horizontal Axis Wind Turbine (Part I: Power performance). Energy 2016, 113, 713–722. [Google Scholar] [CrossRef]
- Li, Q.; Kamada, Y.; Maeda, T.; Murata, J.; Yusuke, N. Effect of turbulence on power performance of a Horizontal Axis Wind Turbine in yawed and no-yawed flow conditions. Energy 2016, 109, 703–711. [Google Scholar] [CrossRef]
- Xie, W.; Zeng, P.; Lei, L. Wind tunnel testing and improved blade element momentum method for umbrella-type rotor of horizontal axis wind turbine. Energy 2017, 119, 334–350. [Google Scholar] [CrossRef]
- Xie, W.; Zeng, P.; Lei, L. Wind tunnel experiments for innovative pitch regulated blade of horizontal axis wind turbine. Energy 2015, 91, 1070–1080. [Google Scholar] [CrossRef]
- Tian, W.; Ozbay, A.; Hu, H. Effects of incoming surface wind conditions on the wake characteristics and dynamic wind loads acting on a wind turbine model. Phys. Fluids 2014, 26, 125108. [Google Scholar] [CrossRef]
- Wang, Z.; Özbay, A.; Tian, W.; Hu, H. An experimental study on the aerodynamic performances and wake characteristics of an innovative dual-rotor wind turbine. Energy 2018, 147, 94–109. [Google Scholar] [CrossRef]
- Bastankhah, M.; Porté-Agel, F. Experimental and theoretical study of wind turbine wakes in yawed conditions. J. Fluid Mech. 2016, 806, 506–541. [Google Scholar] [CrossRef]
- Odemark, Y.; Fransson, J. The stability and development of tip and root vortices behind a model wind turbine. Exp. Fluids 2013, 54, 9. [Google Scholar] [CrossRef]
- Zhang, W.; Markfort, C.D.; Porté-Agel, F. Near-wake flow structure downwind of a wind turbine in a turbulent boundary layer. Exp. Fluids 2011, 52, 1219–1235. [Google Scholar] [CrossRef]
- Talavera, M.; Shu, F. Experimental study of turbulence intensity influence on wind turbine performance and wake recovery in a low-speed wind tunnel. Renew. Energy 2017, 109, 363–371. [Google Scholar] [CrossRef]
- Howard, K.B.; Chamorro, L.P.; Guala, M. A Comparative Analysis on the Response of a Wind-Turbine Model to Atmospheric and Terrain Effects. Bound. Layer Meteorol. 2015, 158, 229–255. [Google Scholar] [CrossRef]
- Monteiro, J.; Silvestre, M.; Piggott, H.; André, J.C. Wind tunnel testing of a horizontal axis wind turbine rotor and comparison with simulations from two Blade Element Momentum codes. J. Wind Eng. Ind. Aerodyn. 2013, 123, 99–106. [Google Scholar] [CrossRef]
- Chamorro, L.P.; Guala, M.; Arndt, R.; Sotiropoulos, F. On the evolution of turbulent scales in the wake of a wind turbine model. J. Turbul. 2012, 13, N27. [Google Scholar] [CrossRef]
- Araya, D.B.; Dabiri, J.O. A comparison of wake measurements in motor-driven and flow-driven turbine experiments. Exp. Fluids 2015, 56, 7. [Google Scholar] [CrossRef]
- Le, T.Q.; Lee, K.-S.; Park, J.-S.; Ko, J.H. Flow-driven rotor simulation of vertical axis tidal turbines: A comparison of helical and straight blades. Int. J. Nav. Arch. Ocean Eng. 2014, 6, 257–268. [Google Scholar] [CrossRef]
- Mehta, D.; Van Zuijlen, A.; Koreň, B.; Holierhoek, J.; Bijl, H. Large Eddy Simulation of wind farm aerodynamics: A review. J. Wind Eng. Ind. Aerodyn. 2014, 133, 1–17. [Google Scholar] [CrossRef]
- Wang, Z.; Tian, W.; Hu, H. A Comparative study on the aeromechanic performances of upwind and downwind horizontal-axis wind turbines. Energy Convers. Manag. 2018, 163, 100–110. [Google Scholar] [CrossRef]
- Iungo, G.V.; Viola, F.; Camarri, S.; Porté-Agel, F.; Gallaire, F. Linear stability analysis of wind turbine wakes performed on wind tunnel measurements. J. Fluid Mech. 2013, 737, 499–526. [Google Scholar] [CrossRef]
- Dou, B.; Guala, M.; Lei, L.; Zeng, P. Experimental investigation of the performance and wake effect of a small-scale wind turbine in a wind tunnel. Energy 2019, 166, 819–833. [Google Scholar] [CrossRef]
- Guo, J.; Zeng, P.; Lei, L. Performance of a straight-bladed vertical axis wind turbine with inclined pitch axes by wind tunnel experiments. Energy 2019, 174, 553–561. [Google Scholar] [CrossRef]
- Dou, B.; Guala, M.; Zeng, P.; Lei, L. Experimental investigation of the power performance of a minimal wind turbine array in an atmospheric boundary layer wind tunnel. Energy Convers. Manag. 2019, 196, 906–919. [Google Scholar] [CrossRef]
- Mikkelsen, K. Effect of Free Stream Turbulence on Wind Turbine Performance. Master’s Thesis, Norwegian University of Science and Technology, Trondheim, Norway, 2013. [Google Scholar]
- She, Z.-S.; Jackson, E.; Orszag, S.A. Scale-dependent intermittency and coherence in turbulence. J. Sci. Comput. 1988, 3, 407–434. [Google Scholar] [CrossRef]
- Aubrun, S.; Loyer, S.; Hancock, P.E.; Hayden, P. Wind turbine wake properties: Comparison between a non-rotating simplified wind turbine model and a rotating model. J. Wind Eng. Ind. Aerodyn. 2013, 120, 1–8. [Google Scholar] [CrossRef]























© 2020 by the authors. Licensee MDPI, Basel, Switzerland. This article is an open access article distributed under the terms and conditions of the Creative Commons Attribution (CC BY) license (http://creativecommons.org/licenses/by/4.0/).
Share and Cite
Dou, B.; Yang, Z.; Guala, M.; Qu, T.; Lei, L.; Zeng, P. Comparison of Different Driving Modes for the Wind Turbine Wake in Wind Tunnels. Energies 2020, 13, 1915. https://doi.org/10.3390/en13081915
Dou B, Yang Z, Guala M, Qu T, Lei L, Zeng P. Comparison of Different Driving Modes for the Wind Turbine Wake in Wind Tunnels. Energies. 2020; 13(8):1915. https://doi.org/10.3390/en13081915
Chicago/Turabian StyleDou, Bingzheng, Zhanpei Yang, Michele Guala, Timing Qu, Liping Lei, and Pan Zeng. 2020. "Comparison of Different Driving Modes for the Wind Turbine Wake in Wind Tunnels" Energies 13, no. 8: 1915. https://doi.org/10.3390/en13081915
APA StyleDou, B., Yang, Z., Guala, M., Qu, T., Lei, L., & Zeng, P. (2020). Comparison of Different Driving Modes for the Wind Turbine Wake in Wind Tunnels. Energies, 13(8), 1915. https://doi.org/10.3390/en13081915

