A New Power Sharing Scheme of Multiple Microgrids and an Iterative Pairing-Based Scheduling Method
Abstract
1. Introduction
2. Power Sharing Scheme and Scheduling Algorithm
2.1. Local Energy Management by the MGEMS
2.2. Power Sharing Scheduling among MGs Coordinated by the MG Aggregator
2.2.1. Power Sharing Scheme Adopted in this Research
2.2.2. MILP-Based Centralized Power Sharing Scheduling Method
2.2.3. New Power Sharing Scheduling by Iterative Optimal Pairing
| Algorithm 1: Proposed power sharing algorithm for multi-microgrids |
| Iter=1; |
| Collect the system information from the local MGEMS. |
| Implement self-ESS scheduling as Equation (1), and record the base operation cost of each MG. |
| Repeat |
| Assume that MG receives power from other MGs as Equations (16) and (17), solve the problem as Equation (1), and record the decreased operation cost. |
| Assume that MG sends power to other MGs as Equations (18) and (19), solve the problem as Equation (1), and record the increased operation cost. |
| Implement one-to-one symmetrical pairing between any two MGs. |
| Select the best pair and update the net demand as Equations (20) and (21). |
| Update the power sharing schedule |
| Iter=Iter+1 |
| Until no power sharing pair can reduce the total operation cost any more. |
| Return Power sharing schedule |
2.3. TOU Price Conditions for Power Sharing for Energy Cost Saving Purposes
3. Simulation Results and Discussions
3.1. Simulation Setup and Scenario
3.2. MG Operation without Power Sharing
3.3. MMG Operation Considering Power Sharing among MGs
3.4. Comparison of Centralized Optimization and the Proposed Power Sharing Scheduling Method
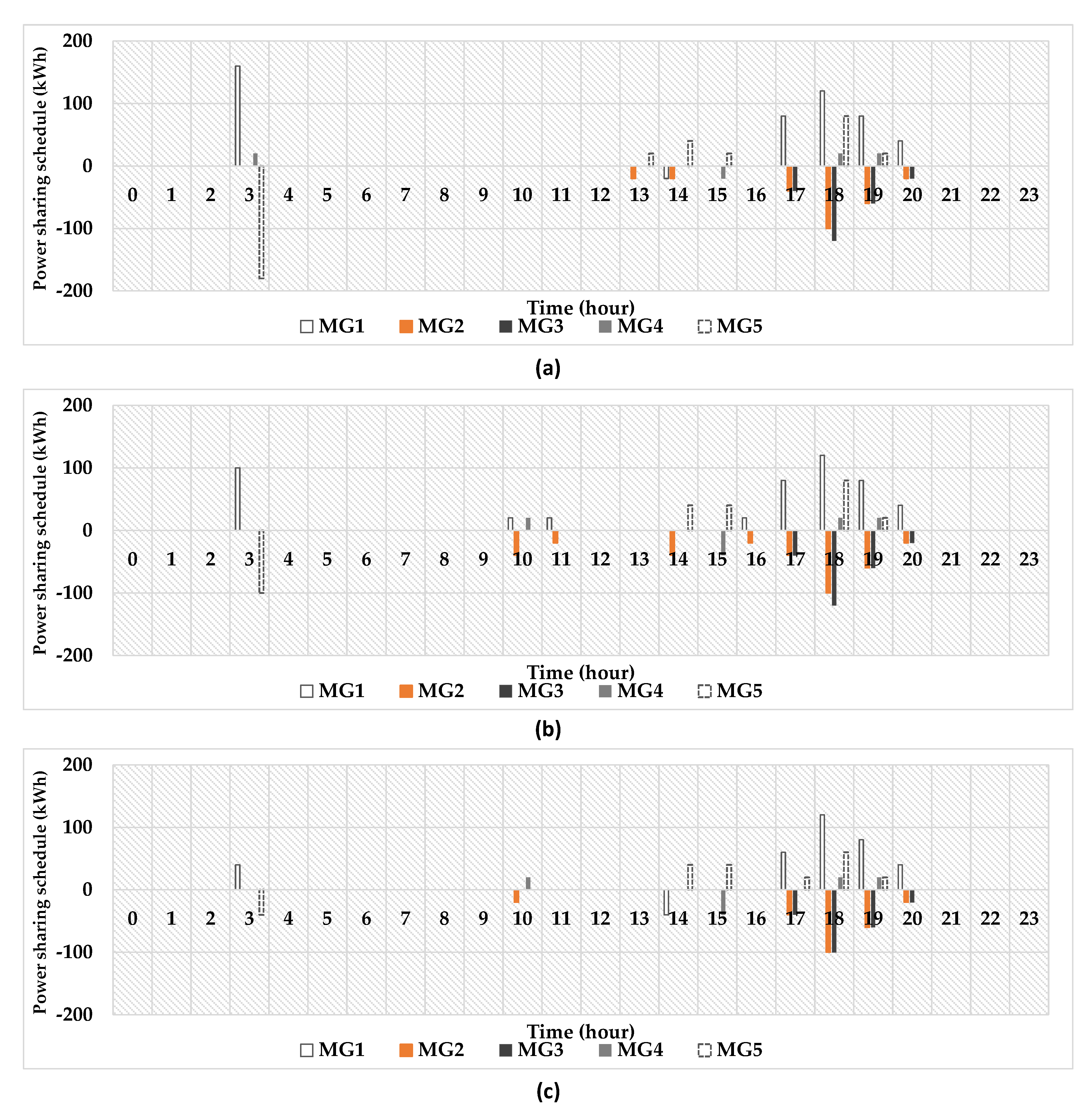
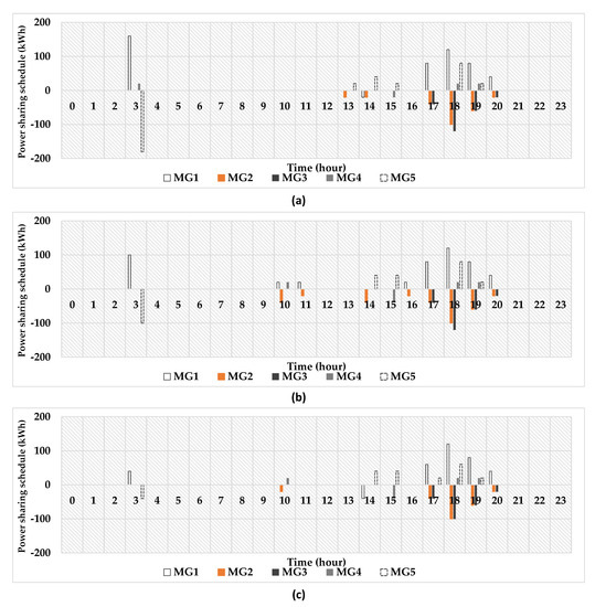
3.5. Effect of Power Sharing on the System Loss
3.6. Effect of System Loss on the Power Sharing Schedule
4. Conclusions
Author Contributions
Funding
Conflicts of Interest
References
- Wang, J.; Wang, Q.; Zhou, N.; Chi, Y. A Novel Electricity Transaction Mode of Microgrids Based on Blockchain and Continuous Double Auction. Energies 2017, 10, 1971. [Google Scholar] [CrossRef]
- Lin, W.M.; Tu, C.S.; Tsai, M.T. Energy Management Strategy for Microgrids by Using Enhanced Bee Colony Optimization. Energies 2016, 9, 5. [Google Scholar] [CrossRef]
- Plewnia, F. The Energy System and the Sharing Economy: Interfaces and Overlaps and What to Learn from Them. Energies 2019, 12, 339. [Google Scholar] [CrossRef]
- Kalathil, D.; Wu, C.; Poola, K.; Varaiya, P. The Sharing Economy for the Electricity Storage. IEEE Trans. Smart Grid 2019, 10, 556–567. [Google Scholar] [CrossRef]
- Zhou, J.; Zhang, J.; Cai, X.; Shi, G.; Wang, J.; Zang, J. Design and Analysis of Flexible Multi-Microgrid Interconnection Scheme for Mitigating Power Fluctuation and Optimizing Storage Capacity. Energies 2019, 12, 2132. [Google Scholar] [CrossRef]
- Han, Y.; Li, H.; Shen, P.; Coelho, A.A.E.; Guerrero, M.J. Review of Active and Reactive Power Sharing Strategies in Hierarchical Controlled Microgrids. IEEE Trans. Power Electron. 2016, 32, 2427–2451. [Google Scholar] [CrossRef]
- Shamsi, P.; Xie, H.Q.; Longe, A.; Joo, J.Y. Economic Dispatch for an Agent-Based Community Microgrid. IEEE Trans. Smart Grid 2016, 7, 2317–2324. [Google Scholar] [CrossRef]
- Kim, B.; Bae, S.H.; Kim, H.S. Optimal Energy Scheduling and Transaction Mechanism for Multiple Microgrids. Energies 2017, 10, 566. [Google Scholar]
- Wang, H.; Huang, J.W. Incentivizing Energy Trading for Interconnected Microgrids. IEEE Trans. Smart Grid 2018, 9, 2647–2657. [Google Scholar] [CrossRef]
- Taniguchi, T.; Kawasaki, K.; Fukui, Y.; Takata, T.; Yano, S. Automated Linear Function Submission-Based Double Auction as Bottom-up Real Time Pricing in a Regional Prosumers’ Electricity Network. Energies 2015, 8, 7381–7406. [Google Scholar] [CrossRef]
- Song, N.O.; Lee, J.H.; Kim, H.M.; Im, T.H.; Lee, J.Y. Optimal Energy Management of Multi-Microgrids with Sequentially Coordinated Operations. Energies 2015, 8, 8371–8390. [Google Scholar] [CrossRef]
- Lee, W.P.; Choi, J.Y.; Won, D.J. Coordination Strategy for Optimal Scheduling of Multiple Microgrids Based on Hierarchical System. Energies 2017, 10, 1336. [Google Scholar] [CrossRef]
- Yang, X.; He, H.; Zhang, Y.; Chen, Y.; Weng, G. Interactive Energy Management for Enhancing Power Balances in Multi-Microgrids. IEEE Trans. Smart Grid 2019, 10, 6055–6069. [Google Scholar] [CrossRef]
- Liu, N.; Wang, J. Energy Sharing for Interconnected Microgrids with a Battery Storage System and Renwable Energy Sources Based on the Alternating Direction Method of Multipliers. Appl. Sci. 2018, 8, 1. [Google Scholar] [CrossRef]
- Gao, H.C.; Choi, J.H.; Yun, S.Y.; Lee, H.J.; Ahn, S.J. Optimal Scheduling and Real Time Control Schemes of Battery Energy Storage System for Microgrids Considering Contract Demand and Forecast Uncertainty. Energies 2018, 11, 1371. [Google Scholar] [CrossRef]
- Gerard, H.; Rivero, E.; Six, D. Basic Schemes for TSO-DSO Coordination and Ancillary Services Provision, SmartNet Projcet Report. Available online: http://smartnet-project.eu/wp-content/uploads/2016/12/D1.3_20161202_V1.0.pdf (accessed on 10 March 2020).
- Website of KEPCO. Available online: http://cyber.kepco.co.kr/ckepco/front/jsp/CY/E/E/CYEEHP00204.jsp (accessed on 20 October 2019).
- Saadat, H. Power System Analysis, 2nd ed.; Mc Graw Hill: New York, NY, USA, 2004. [Google Scholar]














| References [7,8] | References [9,10,11,12,13] | |
|---|---|---|
| Objective | Maximize the benefit for MG owners | Maximize the global profit |
| Advantages | Guarantee of the maximal benefit for the MG owners; less complexity of the clearing or pairing method in the market. | Ensure the maximal global benefit for all participants; realization of better energy utilization in a local region; strong controllability for the operator due to more abundant information collection. |
| Disadvantages | Only feasible for MGs with surplus renewable energy generation; require exact estimation of the bidding price. | Heavy computational burden; high communication cost for information exchange between the aggregator and MGs. |
| Parameter | MG 1 | MG 2 | MG 3 | MG 4 | MG 5 |
|---|---|---|---|---|---|
| (kW) | 400 | 200 | 200 | 500 | 400 |
| (kWh) | 500 | 50 | 50 | 500 | 250 |
| (kW) | 500 | 50 | 50 | 500 | 250 |
| (KRW) | 30,000,000 | 5,000,000 | 5,000,000 | 30,000,000 | 20,000,000 |
| Bcycle | 3250 | 3250 | 3250 | 3250 | 3250 |
| (KRW) | 6090 | 6090 | 6090 | 6090 | 6090 |
| SOCmax (%) | 90 | 80 | 80 | 90 | 90 |
| (%) | 10 | 20 | 20 | 10 | 10 |
| (%) | 50 | 50 | 50 | 50 | 50 |
| (%) | 50 | 50 | 50 | 50 | 50 |
| (p.u.) | 0.95 | 0.95 | 0.95 | 0.95 | 0.95 |
| (p.u.) | 0.95 | 0.95 | 0.95 | 0.95 | 0.95 |
| MG Index | Operating Cost (KRW) | |
|---|---|---|
| Without Power Sharing | With Power Sharing | |
| MG 1 | 261,489.5 | 303,422.3 |
| MG 2 | 723,415.0 | 272,469.2 |
| MG 3 | 788,480.5 | 275,884.3 |
| MG 4 | 319,145.2 | 325,318.0 |
| MG 5 | 301,811.8 | 291,757.4 |
| Total | 2,394,342.0 | 1,468,851.2 |
| Parameter | Centralized Optimization | Proposed Method |
|---|---|---|
| Total operating cost (KRW) | 1,453,907.2 | 1,468,851.2 |
| Computation time (s) | 7180.3 | 205.6 |
| Case No. | |||||
|---|---|---|---|---|---|
| MG1 | MG2 | MG3 | MG4 | MG5 | |
| case 1 | |||||
| case 2 | |||||
| case 3 | |||||
| Average Loss | Operating Cost of MGs (KRW) | |||||
|---|---|---|---|---|---|---|
| Original Schedule | Modified Schedule | |||||
| Except Loss | Loss Cost | Total | Except Loss | Loss Cost | Total | |
| l = 2% | 1,468,851.1 | 31,107.3 | 1,499,958.5 | 1,468,851.1 | 30,545.0 | 1,499,396.2 |
| l = 5% | 1,468,851.1 | 77,768.4 | 1,546,619.5 | 1,469,236.2 | 75,486.6 | 1,544,722.7 |
| l = 15% | 1,468,851.1 | 233,305.1 | 1,702,156.2 | 1,469,672.5 | 226,014.6 | 1,695,687.1 |
© 2020 by the authors. Licensee MDPI, Basel, Switzerland. This article is an open access article distributed under the terms and conditions of the Creative Commons Attribution (CC BY) license (http://creativecommons.org/licenses/by/4.0/).
Share and Cite
Gao, H.-C.; Choi, J.-H.; Yun, S.-Y.; Ahn, S.-J. A New Power Sharing Scheme of Multiple Microgrids and an Iterative Pairing-Based Scheduling Method. Energies 2020, 13, 1605. https://doi.org/10.3390/en13071605
Gao H-C, Choi J-H, Yun S-Y, Ahn S-J. A New Power Sharing Scheme of Multiple Microgrids and an Iterative Pairing-Based Scheduling Method. Energies. 2020; 13(7):1605. https://doi.org/10.3390/en13071605
Chicago/Turabian StyleGao, Hong-Chao, Joon-Ho Choi, Sang-Yun Yun, and Seon-Ju Ahn. 2020. "A New Power Sharing Scheme of Multiple Microgrids and an Iterative Pairing-Based Scheduling Method" Energies 13, no. 7: 1605. https://doi.org/10.3390/en13071605
APA StyleGao, H.-C., Choi, J.-H., Yun, S.-Y., & Ahn, S.-J. (2020). A New Power Sharing Scheme of Multiple Microgrids and an Iterative Pairing-Based Scheduling Method. Energies, 13(7), 1605. https://doi.org/10.3390/en13071605

