An Improved LPTN Method for Determining the Maximum Winding Temperature of a U-Core Motor
Abstract
1. Introduction
2. Improved LPTN Method with Half-Resistance and Localization of Heat Generator
2.1. Lumped Parameter Thermal Network
2.2. Half-Resistance Theory in the Heat Source
2.3. Determination of the Heat Generator Location and Thermal Resistances
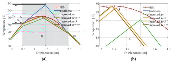
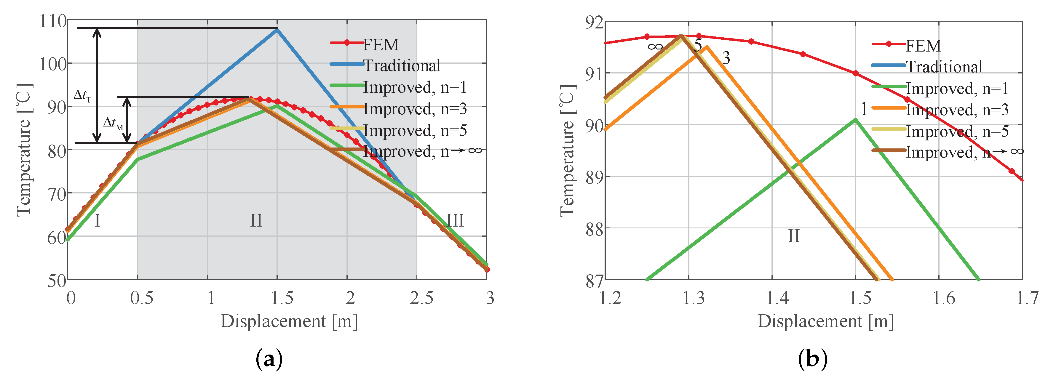
3. Comparison with Traditional LPTN
4. Implementation into U-Core Motor
4.1. Thermal Network Model
4.2. Simulation and Analysis
5. Experimental Validation
5.1. Experimental Platform
5.2. Experimental Results and Discussion
6. Conclusions
Author Contributions
Funding
Acknowledgments
Conflicts of Interest
Abbreviations
| LPTN | Lemped parameter thermal network |
| CFD | computational fluid dynamics |
| FEM | finite element method |
| TEFC | totally enclosed fan cooled |
| Temperature difference (°C) | |
| Thickness of the wall (m) | |
| Heating power () | |
| Thermal conductivity of medium I (W/m·K) | |
| Thermal conductivity of medium II (W/m·K) | |
| Thermal conductivity of medium III (W/m·K) | |
| Equivalent heat flux (s) | |
| Equivalent thermal resistance () | |
| A | Cross section area of heat flow () |
| Constant coefficient (-) | |
| Constant coefficient (-) | |
| Convective heat transfer on the left side of medium I (K) | |
| Convective heat transfer on the right side of medium III (K) | |
| k | Correction factor (-) |
| Boundary position between media I and II (m) | |
| Boundary position between media II and III (m) | |
| Boundary position of medium III (m) | |
| Q | Heat flow (J·s) |
| q | Heat flux (s) |
| Thermal resistance () | |
| t | Temperature (°C) |
| Ambient temperature (°C) |
Appendix A
| Name | Value | Name | Value | Name | Value | Name | Value |
|---|---|---|---|---|---|---|---|
| 52.9629 | 0.0016 | 0.0036 | 1.4233 × 10 | ||||
| 5.6167 × 10 | 1.5556 × 10 | 0.0036 | 5.7212 | ||||
| 408.4491 | 16.6860 | 16.2393 | 0.0841 | ||||
| 0.4861 | 298.6437 | 0.6481 | 8.5556 × 10 | ||||
| 885.7161 | 1.2307 | 0.6481 | 3.5000 × 10 | ||||
| 4.2940 | 1.4768 | 16.2393 | 2.7654 × 10 | ||||
| 4.2940 | 4.6765 | 0.0036 | 0.8711 | ||||
| 386.4556 | 4.6765 | 0.0036 | 0.8711 | ||||
| 0.5833 | 1.4768 | 35.0000 | 0.1628 | ||||
| 6.0602 × 10 | 1.2307 | 0.8711 | 0.7432 | ||||
| 881.3901 | 289.6437 | 0.0841 | 0.1628 | ||||
| 0.9348 | 0.9348 | 0.8711 | 0.7432 | ||||
| 298.6437 | 6.0602 × 10 | 3.5 × 10 | 35.0000 | ||||
| 1.2307 | 0.5833 | 8.5556 × 10 | 0.0036 | ||||
| 1.4768 | 881.3901 | 2.7654 × 10 | 0.0036 | ||||
| 4.6765 | 885.7161 | 0.1628 | 16.2393 | ||||
| 4.6765 | 4.2940 | 0.7432 | 0.6481 | ||||
| 1.4768 | 4.2940 | 0.1628 | 0.6481 | ||||
| 1.2307 | 386.4556 | 0.7432 | 16.2393 | ||||
| 298.6437 | 0.4861 | 5.7212 | 0.0036 | ||||
| 0.9348 | 5.6167 × 10 | 1.4223 × 10 | 0.0036 | ||||
| 0.5833 | 52.9629 | 86.7995 | 35.0000 | ||||
| 5.2790 | 408.4491 | 0.1427 | 0.0841 | ||||
| 0.4861 | 7.5223 | 0.2843 | 15.9856 | ||||
| 5.2790 | 282.7724 | 60.9119 | 750.1786 | ||||
| 1.3751 × 10 | 282.7724 | 1.4204 × 10 | 15.9856 | ||||
| 2.3932 | 7.5523 | 0.3737 | 750.1786 | ||||
| 215.3846 | 1.4204 × 10 | 0.0803 | 1.4211 × 10 | ||||
| 0.4861 | 82.9889 | 0.0803 | 82.9889 | ||||
| 5.2790 | 0.1405 | 41.7196 | 0.1405 | ||||
| 5.2790 | 0.1545 | 436.2265 | 0.1545 | ||||
| 5.2790 | 82.9889 | 436.2265 | 82.9889 | ||||
| 0.5833 | 1.4211 × 10 | 49.0389 | 1.4226 × 10 | ||||
| 0.9848 | 15.9856 | 0.3737 | 7.5523 | ||||
| 1.5556 × 10 | 750.1786 | 1.4204 × 10 | 282.7724 | ||||
| 1.5556 × 10 | 750.1786 | 86.7995 | 7.5523 | ||||
| 16.6860 | 15.9856 | 0.1427 | 282.7724 | ||||
| 1.5556 × 10 | 0.0841 | 0.1523 | 0.4884 | ||||
| 0.0016 | 35.0000 | 60.9119 | 22.0000 |
References
- Boglietti, A.; Cavagnino, A.; Staton, D.; Shanel, M.; Mueller, M.; Mejuto, C. Evolution and modern approaches for thermal analysis of electrical machines. IEEE Trans. Ind. Electron. 2009, 56, 871–882. [Google Scholar] [CrossRef]
- Staton, D.; Boglietti, A.; Cavagnino, A. Solving the more difficult aspects of electric motor thermal analysis in small and medium size industrial induction motors. IEEE Trans. Energy Convers. 2005, 20, 620–628. [Google Scholar] [CrossRef]
- Kefalas, T.D.; Kladas, A.G. Thermal investigation of permanent-magnet synchronous motor for aerospace applications. IEEE Trans. Ind. Electron. 2014, 61, 4404–4411. [Google Scholar] [CrossRef]
- Nategh, S.; Zhang, H.; Wallmark, O.; Boglietti, A.; Nassen, T.; Bazant, M. Transient thermal modeling and analysis of railway traction motors. IEEE Trans. Ind. Electron. 2019, 66, 79–89. [Google Scholar] [CrossRef]
- Arbab, N.; Wang, W.; Lin, C.; Hearron, J.; Fahimi, B. Thermal modeling and analysis of a double-stator switched reluctance motor. IEEE Trans. Energy Convers. 2015, 30, 1209–1217. [Google Scholar] [CrossRef]
- Abebe, R.; Vakil, G.; Calzo, G.L.; Cox, T.; Gerada, C.; Johnson, M. FEA based thermal analysis of various topologies for integrated Motor Drives (IMD). In Proceedings of the IECON 2015—41st Annual Conference of the IEEE Industrial Electronics Society, Yokohama, Japan, 9–12 November 2015. [Google Scholar]
- Craiu, O.; Machedon, A.; Tudorache, T.; Morega, M.; Modreanu, M. 3D finite element thermal analysis of a small power PM DC motor. In Proceedings of the 12th International Conference on Optimization of Electrical and Electronic Equipment, Basov, Romania, 20–22 May 2010; pp. 389–394. [Google Scholar]
- Trigeol, J.F.; Bertin, Y.; Lagonotte, P. Thermal modeling of an induction machine through the association of two numerical approaches. IEEE Trans. Energy Convers. 2006, 21, 314–323. [Google Scholar] [CrossRef]
- Wang, S.W.; Zhang, Y.; Hu, J.M. Thermal analysis of water-cooled permanent magnet synchronous motor for electric vehicles. Appl. Mech. Mater. 2014, 610, 129–135. [Google Scholar] [CrossRef]
- Dong, J.; Huang, Y.; Jin, L.; Lin, H.; Yang, H. Thermal optimization of a high-speed permanent magnet motor. IEEE Trans. Magn. 2014, 50, 749–752. [Google Scholar] [CrossRef]
- Zhang, Y.; Mcloone, S.; Cao, W.; Qiu, F.; Gerada, C. Power loss and thermal analysis of a mw high speed permanent magnet synchronous machine. IEEE Trans. Energy Convers. 2017, 32, 1468–1478. [Google Scholar] [CrossRef]
- Ulbrich, S.; Kopte, J.; Proske, J. Cooling fin optimization on a TEFC electrical machine housing using a 2D conjugate heat transfer model. IEEE Trans. Ind. Electron. 2018, 65, 1711–1718. [Google Scholar] [CrossRef]
- Mellor, P.H.; Roberts, D.; Turner, D.R. Lumped parameter thermal model for electrical machines of TEFC design. IEE Proc. B Electr. Power Appl. 1991, 138, 205–218. [Google Scholar] [CrossRef]
- Yabiku, R.; Fialho, R.; Teran, L.; Ramos, M.E.; Kawasaki, N. Use of thermal network on determining the temperature distribution inside electric motors in steady-state and dynamic conditions. IEEE Trans. Ind. Appl. 2010, 46, 1787–1795. [Google Scholar] [CrossRef]
- Dimolikas, K.; Kefalas, T.D.; Karaisas, P.; Papazacharopoulos, Z.K.; Kladas, A.G. Lumped-parameter network thermal analysis of permanent magnet synchronous motor. Mater. Sci. Forum 2014, 792, 233–238. [Google Scholar] [CrossRef]
- Rostami, N.; Feyzi, M.R.; Pyrhonen, J.; Parviainen, A.; Niemela, M. Lumped-parameter thermal model for axial flux permanent magnet machines. IEEE Trans. Magn. 2013, 49, 1178–1184. [Google Scholar] [CrossRef]
- El-Refaie, A.M.; Harris, N.C.; Jahns, T.M.; Rahman, K.M. Thermal analysis of multibarrier interior PM synchronous machine using lumped parameter model. IEEE Trans. Energy Convers. 2004, 19, 303–309. [Google Scholar] [CrossRef]
- Boglietti, A.; Carpaneto, E.; Cossale, M.; Vaschetto, S. Stator-winding thermal models for short-time thermal transients: Definition and validation. IEEE Trans. Ind. Electron. 2016, 63, 2713–2721. [Google Scholar] [CrossRef]
- Mohamed, A.H.; Hemeida, A.; Rasekh, A.; Vansompel, H.; Arkkio, A.; Sergeant, P. A 3D dynamic lumped-parameter thermal network of air-cooled YASA axial flux permanent magnet synchronous machine. Energies 2018, 11, 774. [Google Scholar] [CrossRef]
- Gerling, D.; Dajaku, G. Novel lumped-parameter thermal model for electrical systems. In Proceedings of the 2005 European Conference on Power Electronics and Applications, Dresden, Germany, 11–14 September 2005; pp. 1–10. [Google Scholar]
- Kuehbacher, D.; Kelleter, A.; Gerling, D. An improved approach for transient thermal modeling using lumped parameter networks. In Proceedings of the 2013 International Electric Machines & Drives Conference, Chicago, IL, USA, 12–15 May 2013; pp. 824–831. [Google Scholar]
- Gerling, D.; Dajaku, G. Thermal calculation of systems with distributed heat generation. In Proceedings of the 10th Intersociety Conference on Phenomena in Electronics Systems, San Diego, CA, USA, 30 May–2 June 2006; pp. 645–652. [Google Scholar]
- Li, K.; Wang, S.; Sullivan, J.P. A novel thermal network for the maximum temperature-rise of hollow cylinder. Appl. Therm. Eng. 2012, 52, 198–208. [Google Scholar] [CrossRef]
- Holman, J.P. Heat Transfer; Higher Education: New York, NY, USA, 2013; p. 5. [Google Scholar]
- Staton, D.A.; Cavagnino, A. Convection heat transfer and flow calculations suitable for electric machines thermal models. IEEE Trans. Ind. Electron. 2008, 55, 3509–3516. [Google Scholar] [CrossRef]
- Phuc, P.N.; Vansompel, H.; Bozalakov, D.; Stockman, K.; Crevecoeur, G. Inverse thermal identification of a thermally instrumented induction machine using a lumped-parameter thermal model. Energies 2019, 13, 37. [Google Scholar] [CrossRef]



















| Symbol | Quantity | Vaule | Unit |
|---|---|---|---|
| Length | 0.5 | m | |
| Length | 2.5 | m | |
| Length | 3 | m | |
| Thermal conductivity of medium I | 1 | W/m·K | |
| Thermal conductivity of medium II | 1.5 | W/m·K | |
| Thermal conductivity of medium III | 2 | W/m·K | |
| Convective heat transfer on left | 1 | W/mK | |
| Convective heat transfer on right | 2 | W/mK | |
| Heating power | 50 | W/m | |
| Ambient temperature | 22 | °C |
| Name | Value | Unit | Name | Value | Unit | Name | Value | Unit |
|---|---|---|---|---|---|---|---|---|
| S1 | 0.8992 | W | S4 | 0.5183 | W | S7 | 0.8992 | W |
| S2 | 0.5183 | W | S5 | 0.8992 | W | S8 | 0.5183 | W |
| S3 | 0.8992 | W | S6 | 0.5183 | W | Total | 5.67 | W |
© 2020 by the authors. Licensee MDPI, Basel, Switzerland. This article is an open access article distributed under the terms and conditions of the Creative Commons Attribution (CC BY) license (http://creativecommons.org/licenses/by/4.0/).
Share and Cite
Li, B.; Yan, L.; Cao, W. An Improved LPTN Method for Determining the Maximum Winding Temperature of a U-Core Motor. Energies 2020, 13, 1566. https://doi.org/10.3390/en13071566
Li B, Yan L, Cao W. An Improved LPTN Method for Determining the Maximum Winding Temperature of a U-Core Motor. Energies. 2020; 13(7):1566. https://doi.org/10.3390/en13071566
Chicago/Turabian StyleLi, Bin, Liang Yan, and Wenping Cao. 2020. "An Improved LPTN Method for Determining the Maximum Winding Temperature of a U-Core Motor" Energies 13, no. 7: 1566. https://doi.org/10.3390/en13071566
APA StyleLi, B., Yan, L., & Cao, W. (2020). An Improved LPTN Method for Determining the Maximum Winding Temperature of a U-Core Motor. Energies, 13(7), 1566. https://doi.org/10.3390/en13071566

