Stochastic Optimization of Microgrid Participating Day-Ahead Market Operation Strategy with Consideration of Energy Storage System and Demand Response
Abstract
1. Introduction
2. Microgrid Model
3. Stochastic Programming
4. Problem Formulation
4.1. Objective Function
4.1.1. The Transaction Cost of the Electrical Market
4.1.2. The Cost of Wind Power Curtailment
4.1.3. The Cost of Energy Storage Operation
4.1.4. The Cost of Micro Gas Turbine Generation
4.1.5. The Cost of Electrical Demand Response
4.2. Constraints
4.2.1. Power Balance
4.2.2. Exchange Line Capacity between the Microgrid and the Main Grid
4.2.3. Wind Farm Constraints
4.2.4. Micro Gas Turbine Constraints
4.2.5. Electrical Storage Constraints
4.2.6. Demand Response Constraints
5. Simulation and Discussion
5.1. Simulation Information
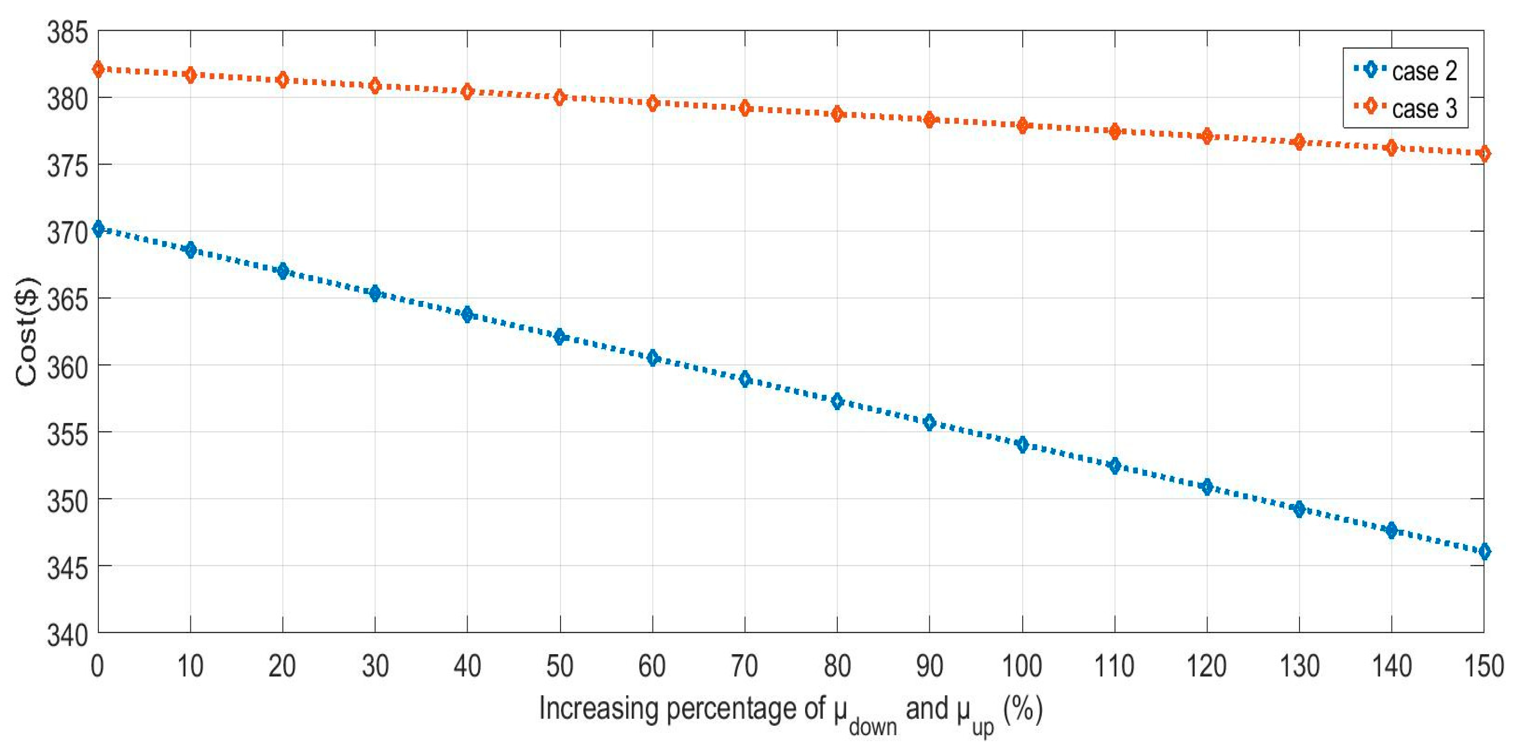
5.2. Simulation Results and Discussion
6. Conclusions
Author Contributions
Funding
Conflicts of Interest
References
- Li, H.; Lu, H.; Li, B. Quantitative research on externalities brought by wind power priority scheduling to power generation enterprises based on probabilistic production simulation. Power Syst. Technol. 2017, 41, 3803–3808. [Google Scholar]
- Ajeigbe, O.A.; Munda, J.L.; Hamam, Y. Optimal allocation of renewable energy hybrid distributed generations for small-signal stability enhancement. Energies 2019, 12, 4777. [Google Scholar] [CrossRef]
- Pu, L.; Wang, X.; Tan, Z.; Wu, J.; Long, C.; Kong, W. Feasible electricity price calculation and environmental benefits analysis of the regional nighttime wind power utilization in electric heating in Beijing. J. Clean. Prod. 2019, 212, 1434–1445. [Google Scholar] [CrossRef]
- Pu, L.; Wang, X.; Tan, Z.; Wang, H.; Yang, J.; Wu, J. Is China’s electricity price cross-subsidy policy reasonable? Comparative analysis of eastern, central, and western regions. Energy Policy 2020, 138, 111250. [Google Scholar] [CrossRef]
- Yu, W.; Li, S.; Zhu, Y.; Yang, C. Management and distribution strategies for dynamic power in a ship’s micro-grid system based on photovoltaic cell, diesel generator, and lithium battery. Energies 2019, 12, 4505. [Google Scholar] [CrossRef]
- Yuan, T.; Sun, Z.; Ma, S. Gearbox fault prediction of wind turbines based on a stacking model and change-point detection. Energies 2019, 12, 4224. [Google Scholar] [CrossRef]
- Sánchez de la Nieta, A.; González, V.; Contreras, J. Portfolio decision of short-term electricity forecasted prices through stochastic programming. Energies 2016, 9, 1069. [Google Scholar] [CrossRef]
- Wang, Y.; Yang, Y.; Tang, L.; Sun, W.; Li, B. A Wasserstein based two-stage distributionally robust optimization model for optimal operation of CCHP micro-grid under uncertainties. Int. J. Electr. Power Energy Syst. 2020, 119, 105941. [Google Scholar] [CrossRef]
- Manzoor, A.; Javaid, N.; Ullah, I.; Abdul, W.; Almogren, A.; Alamri, A. An intelligent hybrid heuristic scheme for smart metering based demand side management in smart homes. Energies 2017, 10, 1258. [Google Scholar] [CrossRef]
- Sharma, S.; Bhattacharjee, S.; Bhattacharya, A. Probabilistic operation cost minimization of Micro-Grid. Energy 2018, 148, 1116–1139. [Google Scholar] [CrossRef]
- Sharma, A.; Kolhe, M.; Konara, K.; Ulltveit-Moe, N.; Muddineni, K.; Mudgal, A.; Garud, S. Performance assessment of institutional photovoltaic based energy system for operating as a micro-grid. Sustain. Energy Technol. Assess. 2020, 37, 100563. [Google Scholar] [CrossRef]
- Sharma, S.; Bhattacharjee, S.; Bhattacharya, A. Operation cost minimization of a micro-grid using quasi-oppositional swine influenza model based optimization with quarantine. Ain Shams Eng. J. 2018, 9, 45–63. [Google Scholar] [CrossRef]
- Pankiraj, J.S.; Yassine, A.; Choudhury, S. An auction mechanism for profit maximization of peer-to-peer energy trading in smart grids. Procedia Comput. Sci. 2019, 151, 361–368. [Google Scholar] [CrossRef]
- Liu, Y.; Zuo, K.; Liu, X.A.; Liu, J.; Kennedy, J. Dynamic pricing for decentralized energy trading in micro-grids. Appl. Energy 2018, 228, 689–699. [Google Scholar] [CrossRef]
- Li, G.; Zhai, X.; Li, Y.; Feng, B.; Wang, Z.; Zhang, M. Multi-objective optimization operation considering environment benefits and economy based on ant colony optimization for isolated micro-grids. Energy Procedia 2016, 104, 21–26. [Google Scholar] [CrossRef]
- Ndwali, K.; Njiri, J.G.; Wanjiru, E.M. Multi-objective optimal sizing of grid connected photovoltaic batteryless system minimizing the total life cycle cost and the grid energy. Renew. Energy 2019, 148, 1256–1265. [Google Scholar] [CrossRef]
- Pisacane, O.; Severini, M.; Fagiani, M.; Squartini, S. Collaborative energy management in a micro-grid by multi-objective mathematical programming. Energy Build. 2019, 203, 109432. [Google Scholar] [CrossRef]
- Colombo, P.; Saeedmanesh, A.; Santarelli, M.; Brouwer, J. Dynamic dispatch of solid oxide electrolysis system for high renewable energy penetration in a microgrid. Energy Convers. Manag. 2020, 204, 112322. [Google Scholar] [CrossRef]
- Obara, S.; Sato, K.; Utsugi, Y. Study on the operation optimization of an isolated island microgrid with renewable energy layout planning. Energy 2018, 161, 1211–1225. [Google Scholar] [CrossRef]
- Wang, D.; Qiu, J.; Reedman, L.; Meng, K.; Lai, L.L. Two-stage energy management for networked microgrids with high renewable penetration. Appl. Energy 2018, 226, 39–48. [Google Scholar] [CrossRef]
- Molavi, A.; Shi, J.; Wu, Y.; Lim, G.J. Enabling smart ports through the integration of microgrids: A two-stage stochastic programming approach. Appl. Energy 2020, 258, 114022. [Google Scholar] [CrossRef]
- Nnaji, E.C.; Adgidzi, D.; Dioha, M.O.; Ewim, D.R.E.; Huang, Z. Modelling and management of smart microgrid for rural electrification in sub-saharan Africa: The case of Nigeria. Electr. J. 2019, 32, 106672. [Google Scholar] [CrossRef]
- Zhang, K.; Li, J.; He, Z.; Yan, W. Microgrid energy dispatching for industrial zones with renewable generations and electric vehicles via stochastic optimization and learning. Phys. A Stat. Mech. Appl. 2018, 501, 356–369. [Google Scholar] [CrossRef]
- Grover-Silva, E.; Heleno, M.; Mashayekh, S.; Cardoso, G.; Girard, R.; Kariniotakis, G. A stochastic optimal power flow for scheduling flexible resources in microgrids operation. Appl. Energy 2018, 229, 201–208. [Google Scholar] [CrossRef]
- Wang, L.; Li, Q.; Cheng, X.; He, G.; Li, G.; Wang, R. A robust optimization approach for risk-averse energy transactions in networked microgrids. Energy Procedia 2019, 158, 6595–6600. [Google Scholar] [CrossRef]
- Wang, L.; Zhang, B.; Li, Q.; Song, W.; Li, G. Robust distributed optimization for energy dispatch of multi-stakeholder multiple microgrids under uncertainty. Appl. Energy 2019, 255, 113845. [Google Scholar] [CrossRef]
- Rodrigues, Y.R.; De Souza, A.C.Z.; Ribeiro, P.F. An inclusive methodology for Plug-in electrical vehicle operation with G2V and V2G in smart microgrid environments. Int. J. Electr. Power Energy Syst. 2018, 102, 312–323. [Google Scholar] [CrossRef]
- Yang, D.; Chong, Q.; Hu, B.; Ma, M. Optimal operation of microgrid based on user power unsatisfactory. Energy Procedia 2018, 145, 76–81. [Google Scholar] [CrossRef]
- Marino, C.; Quddus, M.A.; Marufuzzaman, M.; Cowan, M.; Bednar, A.E. A chance-constrained two-stage stochastic programming model for reliable microgrid operations under power demand uncertainty. Sustain. Energy Grids Netw. 2018, 13, 66–77. [Google Scholar] [CrossRef]
- Saha, S.; Roy, T.K.; Mahmud, M.A.; Haque, M.E.; Islam, S.N. Sensor fault and cyber attack resilient operation of DC microgrids. Int. J. Electr. Power Energy Syst. 2018, 99, 540–554. [Google Scholar] [CrossRef]
- Aluisio, B.; Dicorato, M.; Forte, G.; Litrico, G.; Trovato, M. Integration of heat production and thermal comfort models in microgrid operation planning. Sustain. Energy Grids Netw. 2018, 16, 37–54. [Google Scholar] [CrossRef]
- Mahmoud, T.S.; Ahmed, B.S.; Hassan, M.Y. The role of intelligent generation control algorithms in optimizing battery energy storage systems size in microgrids: A case study from Western Australia. Energy Convers. Manag. 2019, 196, 1335–1352. [Google Scholar] [CrossRef]
- El-Faouri, F.S.; Alzahlan, M.W.; Batarseh, M.G.; Mohammad, A.; Za’ter, M.E. Modeling of a microgrid’s power generation cost function in real-time operation for a highly fluctuating load. Simul. Model. Pract. Theory 2019, 94, 118–133. [Google Scholar] [CrossRef]
- Ge, S.; Sun, H.; Liu, H.; Li, J.; Zhang, X.; Cao, Y. Reliability evaluation of multi-energy microgrids: Energy storage devices effects analysis. Energy Procedia 2019, 158, 4453–4458. [Google Scholar] [CrossRef]
- Neves, D.; Pina, A.; Silva, C.A. Comparison of different demand response optimization goals on an isolated microgrid. Sustain. Energy Technol. Assess. 2018, 30, 209–215. [Google Scholar] [CrossRef]
- Imani, M.H.; Niknejad, P.; Barzegaran, M.R. The impact of customers’ participation level and various incentive values on implementing emergency demand response program in microgrid operation. Int. J. Electr. Power Energy Syst. 2018, 96, 114–125. [Google Scholar] [CrossRef]
- Mohseni-Bonab, S.M.; Rabiee, A.; Mohammadi-Ivatloo, B. Voltage stability constrained multi-objective optimal reactive power dispatch under load and wind power uncertainties: A stochastic approach. Renew. Energy 2016, 85, 598–609. [Google Scholar] [CrossRef]
- Nojavan, S.; Zare, K.; Mohammadi-Ivatloo, B. Optimal stochastic energy management of retailer based on selling price determination under smart grid environment in the presence of demand response program. Appl. Energy 2017, 187, 449–464. [Google Scholar] [CrossRef]
- Soroudi, A.; Aien, M.; Ehsan, M. A probabilistic modeling of photo voltaic modules and wind power generation impact on distribution networks. IEEE Syst. J. 2011, 6, 254–259. [Google Scholar] [CrossRef]
- Imani, M.H.; Ghadi, M.J.; Ghavidel, S.; Li, L. Demand response modeling in microgrid operation: A review and application for incentive-based and time-based programs. Renew. Sustain. Energy Rev. 2018, 94, 486–499. [Google Scholar] [CrossRef]
- Jabari, F.; Nojavan, S.; Ivatloo, B.M.; Bannae Sharifian, M.B. Optimal short-term scheduling of a novel tri-generation system in the presence of demand response programs and battery storage system. Energy Convers. Manag. 2016, 122, 95–108. [Google Scholar] [CrossRef]
- Sedighizadeh, M.; Esmaili, M.; Mohammadkhani, N. Stochastic multi-objective energy management in residential microgrids with combined cooling, heating, and power units considering battery energy storage systems and plug-in hybrid electric vehicles. J. Clean. Prod. 2018, 195, 301–317. [Google Scholar] [CrossRef]










| Symbol | Interpretation | Symbol | Interpretation |
|---|---|---|---|
| time (hour) index | charging power of electrical storage at time and scenario | ||
| scenario index | discharging power of electrical storage at time and scenario | ||
| imported electrical power from main grid at time and scenario | abandoned wind power at time and scenario | ||
| output power of micro gas turbine at time and scenario | output power of wind turbine at time and scenario | ||
| shifted down electrical power by demand response program at time and scenario | shifted up electrical power by demand response program at time and scenario | ||
| residual energy of electrical storage at time and scenario | electrical demand of microgrid at time and scenario |
| Parameter | Unit | Value | Parameter | Unit | Value | Parameter | Unit | Value |
|---|---|---|---|---|---|---|---|---|
| $/kWh | 0.4 | kW | 700 | kWh | 12.5 | |||
| $/kWh | 0 | kW | 280 | kWh | 100 | |||
| $/kWh | 0.03 | kW | 700 | - | 0.9 | |||
| $/kWh | 0.005 | kW/min | 20 | - | 0.9 | |||
| kW | 0 | kW/min | 20 | - | 0.05 | |||
| kW | 2000 | kW | 250 | - | 0.38 | |||
| m/s | 4 | kWh | 225 | - | 0.05 | |||
| m/s | 10 | kW | 400 | - | 0.15 | |||
| m/s | 22 | - | 1 | - | 0.15 |
| Case Number | DR | DR Cost | Cost ($) | Reduction |
|---|---|---|---|---|
| 1 | × | × | 386.29 | 0 |
| 2 | √ | × | 370.19 | 4.17% |
| 3 | √ | √ | 382.08 | 1.09% |
| Case Number | SO Cost ($) | DO Cost ($) | ||
|---|---|---|---|---|
| 1 | 378.33 | 0 | 393.11 | 5.03% |
| 2 | 362.24 | 0 | 368.67 | 2.79% |
| 3 | 274.13 | 0 | 383.65 | 3.24% |
© 2020 by the authors. Licensee MDPI, Basel, Switzerland. This article is an open access article distributed under the terms and conditions of the Creative Commons Attribution (CC BY) license (http://creativecommons.org/licenses/by/4.0/).
Share and Cite
Zhao, H.; Lu, H.; Li, B.; Wang, X.; Zhang, S.; Wang, Y. Stochastic Optimization of Microgrid Participating Day-Ahead Market Operation Strategy with Consideration of Energy Storage System and Demand Response. Energies 2020, 13, 1255. https://doi.org/10.3390/en13051255
Zhao H, Lu H, Li B, Wang X, Zhang S, Wang Y. Stochastic Optimization of Microgrid Participating Day-Ahead Market Operation Strategy with Consideration of Energy Storage System and Demand Response. Energies. 2020; 13(5):1255. https://doi.org/10.3390/en13051255
Chicago/Turabian StyleZhao, Huiru, Hao Lu, Bingkang Li, Xuejie Wang, Shiying Zhang, and Yuwei Wang. 2020. "Stochastic Optimization of Microgrid Participating Day-Ahead Market Operation Strategy with Consideration of Energy Storage System and Demand Response" Energies 13, no. 5: 1255. https://doi.org/10.3390/en13051255
APA StyleZhao, H., Lu, H., Li, B., Wang, X., Zhang, S., & Wang, Y. (2020). Stochastic Optimization of Microgrid Participating Day-Ahead Market Operation Strategy with Consideration of Energy Storage System and Demand Response. Energies, 13(5), 1255. https://doi.org/10.3390/en13051255

