Application of Promising Electrode Materials in Contact with a Thin-Layer ZrO2-Based Supporting Electrolyte for Solid Oxide Fuel Cells
Abstract
1. Introduction
2. Materials and Methods
3. Results and Discussion
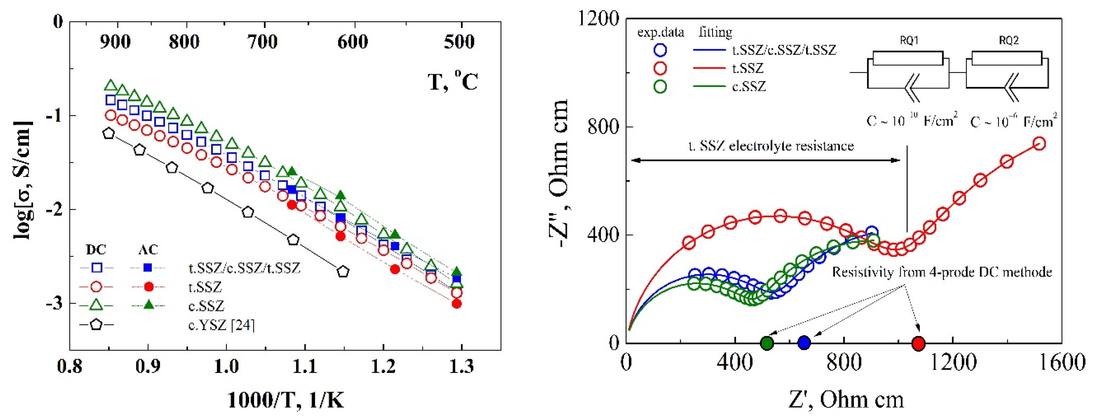
3.1. Electrolyte Properties
3.2. Electrochemical Cells and Performance
4. Conclusions
Author Contributions
Funding
Acknowledgments
Conflicts of Interest
References
- Chen, D.; Hu, B.; Ding, K.; Yan, C.; Lu, L. The geometry effect of cathode/anode areas ratio on electrochemical performance of button fuel cell using mixed conducting materials. Energies 2018, 11, 1875. [Google Scholar] [CrossRef]
- Mantelli, L.; De Campo, M.; Ferrari, M.L.; Magistri, L. Fuel flexibility for a turbocharged SOFC system. Energy Procedia 2019, 158, 1974–1979. [Google Scholar] [CrossRef]
- Nguyen, X.-V.; Chang, C.-T.; Jung, G.-B.; Chan, S.-H.; Huang, W.C.-W.; Hsiao, K.-J.; Lee, W.-T.; Chang, S.-W.; Kao, I.-C. Effect of sintering temperature and applied load on anode-supported electrodes for SOFC application. Energies 2016, 9, 701. [Google Scholar] [CrossRef]
- López-Robledo, M.J.; Laguna-Bercero, M.A.; Larrea, A.; Orera, V.M. Reversible operation of microtubular solid oxide cells using La0.6Sr0.4Co0.2Fe0.8O3-δ-Ce0.9Gd0.1O2-δ oxygen electrodes. J. Power Sources 2018, 378, 184–189. [Google Scholar] [CrossRef]
- Fernandes, M.D.; de Andrade, S.T.P.; Bistritzki, V.N.; Fonseca, R.M.; Zacarias, L.G.; Gonçalves, H.N.C.; de Castro, A.F.; Domingues, R.Z.; Matencio, T. SOFC-APU systems for aircraft: A review. Int. J. Hydrog. Energy 2018, 43, 16311–16333. [Google Scholar] [CrossRef]
- Oskouyi, O.E.; Shahmiri, M.; Maghsoudipour, A.; Hasheminiasari, M. Pulsed constant voltage electrophoretic deposition of YSZ electrolyte coating on conducting porous Ni–YSZ cermet for SOFCs applications. J. Alloys Compd. 2019, 785, 220–227. [Google Scholar] [CrossRef]
- Jafari, M.; Salamati, H.; Zhiani, M.; Shahsavari, E. Enhancement of an IT-SOFC cathode by introducing YSZ: Electrical and electrochemical properties of La0.6Ca0.4Fe0.8Ni0.2O3-δ-YSZ composites. Int. J. Hydrog. Energy 2019, 44, 1953–1966. [Google Scholar] [CrossRef]
- Park, J.M.; Kim, D.Y.; Baek, J.D.; Yoon, Y.-J.; Su, P.-C.; Lee, S.H. Numerical study on electrochemical performance of low-temperature micro-solid oxide fuel cells with submicron platinum electrodes. Energies 2018, 11, 1204. [Google Scholar] [CrossRef]
- Beresnev, S.M.; Bobrenok, O.F.; Kuzin, B.L.; Bogdanovich, N.M.; Kurteeva, A.A.; Osinkin, D.A.; Vdovin, G.K.; Bronin, D.I. Single fuel cell with supported LSM cathode. Rus. J. Electrochem. 2012, 48, 969–997. [Google Scholar] [CrossRef]
- Lin, Q.; Lin, J.; Liu, T.; Xia, C.; Chen, C. Solid oxide fuel cells supported on cathodes with large straight open pores and catalyst-decorated surfaces. Solid State Ion. 2018, 323, 130–135. [Google Scholar] [CrossRef]
- Rehman, S.U.; Song, R.-H.; Lee, J.-W.; Lim, T.-H.; Park, S.-J.; Lee, S.-B. Effect of GDC addition method on the properties of LSM–YSZ composite cathode support for solid oxide fuel cells. Ceram. Int. 2016, 42, 11772–11779. [Google Scholar] [CrossRef]
- Kurteeva, A.A.; Beresnev, S.M.; Osinkin, D.A.; Kuzin, B.L.; Vdovin, G.K.; Zhuravlev, V.D.; Bogdanovich, N.M.; Bronin, D.I.; Pankratov, A.A.; Yaroslavtsev, I.Y. Single solid–oxide fuel cells with supporting Ni-cermet anode. Rus. J. Electrochem. 2011, 47, 1381–1388. [Google Scholar] [CrossRef]
- Osinkin, D.A.; Bogdanovich, N.M.; Beresnev, S.M.; Zhuravlev, V.D. High-performance anode-supported solid oxide fuel cell with impregnated electrodes. J. Power Sources 2015, 288, 20–25. [Google Scholar] [CrossRef]
- Timurkutluk, B.; Celik, S.; Ucar, E. Influence of doctor blade gap on the properties of tape cast NiO/YSZ anode supports for solid oxide fuel cells. Ceram. Int. 2019, 45, 3192–3198. [Google Scholar] [CrossRef]
- Choi, H.-J.; Kim, T.W.; Na, Y.-H.; Seo, D.-W.; Woo, S.-K.; Huh, J.-Y.; Kim, S.-D. Enhanced electrochemical performance of metal-supported solid oxide fuel cells via an inner coating of Gd0.1Ce0.9O2-δ nanosol in the porous NiFe-metal support. J. Power Sources 2018, 406, 81–87. [Google Scholar] [CrossRef]
- Tucker, M.C. Dynamic-temperature operation of metal-supported solid oxide fuel cells. J. Power Sources 2018, 395, 314–317. [Google Scholar] [CrossRef]
- Shah, M.; Das, S.; Nayak, A.K.; Mondal, P.; Bordoloi, A. Smart designing of metal-support interface for imperishable dry reforming catalyst. Appl. Catal. A: Gen. 2018, 556, 137–154. [Google Scholar] [CrossRef]
- Liu, T.; Zhang, X.; Wang, X.; Yu, J.; Li, L. A review of zirconia-based solid electrolytes. Ionics 2016, 22, 2249–2262. [Google Scholar] [CrossRef]
- Omar, S.; Najib, W.B.; Chen, W.; Bonanos, N. Electrical Conductivity of 10 mol% Sc2O3–1 mol% M2O3–ZrO2 Ceramics. J. Am. Ceram. Soc. 2012, 95, 1965–1972. [Google Scholar] [CrossRef]
- Norberg, S.T.; Hull, S.; Ahmed, I.; Eriksson, S.G.; Marrocchelli, D.; Madden, P.A.; Li, P.; Irvine, J.T.S. Structural disorder in doped zirconias, Part I: The Zr0.8Sc0.2-xYxO1.9 (0.0 ≤ x ≥ 0.2) System. Chem. Mater. 2011, 23, 1356–1364. [Google Scholar] [CrossRef]
- Irvine, J.T.S.; Politova, T.; Kruth, A. Yttria co-doping of Scandia-zirconia electrolytes for SOFCs. Proc. Electrochem. Soc. 2005, PV 2005-07, 941–946. [Google Scholar] [CrossRef]
- Vlasov, A.N.; Perfiliev, M.V. Ageing of ZrO2-based solid electrolytes. Solid State Ion. 1987, 25, 245–253. [Google Scholar] [CrossRef]
- Seabaugh, M.M.; Day, M.J.; Sabolsky, K.; Ibanez, S.; Swartz, S.L. Materials and components for solid oxide fuel cells systems. Proc. Electrochem. Soc. 2005, PV 2005-07, 1037–1044. [Google Scholar] [CrossRef]
- Kuzmin, A.V.; Novikova, Y.V.; Stroeva, A.Y.; Gorelov, V.P.; Vylkov, A.I.; Ananiev, M.V.; Ermakov, A.V.; Zaikov, Y.P. Formation and properties of a support made of solid solutions based on zirconium oxide for single tubular solid-oxide fuel cells. Rus. J. Appl. Chem. 2018, 91, 196–201. [Google Scholar] [CrossRef]
- Antonova, E.P.; Osinkin, D.A.; Bogdanovich, N.M.; Gorshkov, M.Y.; Bronin, D.I. Electrochemical performance of Ln2NiO4+δ (Ln–La, Nd, Pr) and Sr2Fe1.5Mo0.5O6−δ oxide electrodes in contact with apatite-type La10(SiO6)4O3 electrolyte. Solid State Ion. 2019, 329, 82–89. [Google Scholar] [CrossRef]
- Benamira, M.; Ringuedé, A.; Cassir, M.; Horwat, D.; Lenormand, P.; Ansart, F.; Bassat, J.M.; Viricelle, J.P. Enhancing oxygen reduction reaction of YSZ/La2NiO4+δ using an ultrathin La2NiO4+δ interfacial layer. J. Alloy. Compd. 2018, 746, 413–420. [Google Scholar] [CrossRef]
- Ananyev, M.V.; Tropin, E.S.; Eremin, V.A.; Farlenkov, A.S.; Smirnov, A.S.; Kolchugin, A.A.; Porotnikova, N.M.; Khodimchuk, A.V.; Berenov, A.V.; Kurumchin, E.K. Oxygen isotope exchange in La2NiO4±δ. Phys. Chem. Chem. Phys. 2016, 18, 9102–9111. [Google Scholar] [CrossRef]
- Xu, J.; Zhou, X.; Dong, X.; Pan, L.; Sun, K. Catalytic activity of infiltrated La0.3Sr0.7Ti0.3Fe0.7O3−δ–CeO2 as a composite SOFC anode material for H2 and CO oxidation. Int. J. Hydrog. Energy 2017, 42, 15632–15640. [Google Scholar] [CrossRef]
- Osinkin, D.A.; Lobachevskaya, N.I.; Suntsov, A.Y. The electrochemical behavior of the promising Sr2Fe1.5Mo0.5 O6-δ + Ce0.8Sm0.2O1.9-δ anode for the intermediate temperature solid oxide fuel cells. J. Alloy. Compd. 2017, 708, 451–455. [Google Scholar] [CrossRef]
- Khaerudini, D.S.; Guan, G.; Zhang, P.; Hao, X.; Wang, Z.; Xue, C.; Kasai, Y.; Abudula, A. Performance assessment of Bi0.3Sr0.7Co0.3Fe0.7O3−δ-LSCF composite as cathode for intermediate-temperature solid oxide fuel cells with La0.8Sr0.2Ga0.8Mg0.2O3−δ electrolyte. J. Power Sources 2015, 298, 269–279. [Google Scholar] [CrossRef]
- Nielsen, J.; Jacobsen, T.; Wandel, M. Impedance of porous IT-SOFC LSCF:CGO composite cathodes. Electrochim. Acta 2011, 56, 7963–7974. [Google Scholar] [CrossRef]
- Dierickx, S.; Mundloch, T.; Weber, A.; Ivers-Tiffée, E. Advanced impedance model for double-layered solid oxide fuel cell cermet anodes. J. Power Sources 2019, 415, 69–82. [Google Scholar] [CrossRef]
- Yin, Y.; Li, S.; Xia, C.; Meng, G. Electrochemical performance of IT-SOFCs with a double-layer anode. J. Power Sources 2007, 167, 90–93. [Google Scholar] [CrossRef]
- Tao, Y.; Nishino, H.; Ashidate, S.; Kokubo, H.; Watanabe, M.; Uchida, H. Polarization properties of La0.6Sr0.4Co0.2Fe0.8O3-based double layer-type oxygen electrodes for reversible SOFCs. Electrochim. Acta 2009, 54, 3309–3315. [Google Scholar] [CrossRef]
- Marinha, D.; Hayd, J.; Dessemond, L.; Ivers-Tiffée, E.; Djurado, E. Performance of (La,Sr)(Co,Fe)O3-x double-layer cathode films for intermediate temperature solid oxide fuel cell. J. Power Sources 2011, 196, 5084–5090. [Google Scholar] [CrossRef]
- Osinkin, D.A.; Kuzin, B.L. Hydrogen oxidation kinetics at Ni–Zr0.9Sc0.1O1.95 anode: Influence of the difference of potential in the dense part of the double electric layer. Electrochim. Acta 2018, 282, 128–136. [Google Scholar] [CrossRef]
- Gavrilyuk, A.L.; Osinkin, D.A.; Bronin, D.I. The use of Tikhonov regularization method for calculating the distribution function of relaxation times in impedance spectroscopy. Rus. J. Electrochem. 2017, 53, 575–588. [Google Scholar] [CrossRef]
- Tikhonov, A.N.; Arsenin, V.Y. Solution of Ill-posed Problems; Winston & Sons: Washington, DC, USA, 1977. [Google Scholar]
- Pikalova, E.Y.; Bogdanovich, N.M.; Kolchugin, A.A.; Ananyev, M.V.; Pankratov, A.A. Influence of the synthesis method on the electrochemical properties of bilayer electrodes based on La2NiO4+δ and LaNi0.6Fe0.4O3-δ. Solid State Ion. 2016, 288, 36–42. [Google Scholar] [CrossRef]
- Pikalova, E.Y.; Bogdanovich, N.M.; Kolchugin, A.A.; Osinkin, D.A.; Bronin, D.I. Electrical and electrochemical properties of La2NiO4+δ—based cathodes in contact with Ce0.8Sm0.2O2-δ electrolyte. Procedia Eng. 2014, 98, 105–110. [Google Scholar] [CrossRef]
- Chen, M.; Kim, B.H.; Xu, Q.; Ahn, B.G. Preparation and electrochemical properties of Ni–SDC thin films for IT-SOFC anode. J. Membr. Sci. 2009, 334, 138–147. [Google Scholar] [CrossRef]
- Boukamp, B.A. Fourier transform distribution function of relaxation times; application and limitations. Electrochim. Acta 2015, 154, 35–46. [Google Scholar] [CrossRef]
- Saccoccio, M.; Wan, T.H.; Chen, C.; Ciucci, F. Optimal regularization in distribution of relaxation times applied to electrochemical impedance spectroscopy: Ridge and lasso regression methods—A theoretical and experimental study. Electrochim. Acta 2014, 147, 470–482. [Google Scholar] [CrossRef]
- Antonova, E.P.; Khodimchuk, A.V.; Usov, G.R.; Tropin, E.S.; Farlenkov, A.S.; Khrustov, A.V.; Ananyev, M.V. EIS analysis of electrode kinetics for La2NiO4 + δ cathode in contact with Ce0.8Sm0.2O1.9 electrolyte: From DRT analysis to physical model of the electrochemical process. J. Solid State Electrochem. 2019, 23, 1279–1287. [Google Scholar] [CrossRef]
- Osinkin, D.A. Complementary effect of ceria on the hydrogen oxidation kinetics on Ni—Ce0.8Sm0.2O2-δ anode. Electrochim. Acta 2020, 330, 135257. [Google Scholar] [CrossRef]
- Timurkutluk, B.; Dokuyucu, S. The role of tape thickness on mechanical properties and performance of electrolyte supports in solid oxide fuel cells. Ceram. Int. 2018, 44, 17399–17406. [Google Scholar] [CrossRef]









| t. SSZ | c. SSZ | ||
|---|---|---|---|
| ZrO2 | 92.93% | ZrO2 | 86.66% |
| Sc2O3 | 6.33% | Sc2O3 | 10.89% |
| HfO2 | 0.56% | HfO2 | 0.93% |
| Y2O3 | 0.12% | Y2O3 | 1.24% |
| Fe2O3 | 0.06% | Fe2O3/Al2O3/Cr2O3 | 0.04%/0.14%/0.08% |
© 2020 by the authors. Licensee MDPI, Basel, Switzerland. This article is an open access article distributed under the terms and conditions of the Creative Commons Attribution (CC BY) license (http://creativecommons.org/licenses/by/4.0/).
Share and Cite
Osinkin, D.A.; Antonova, E.P.; Lesnichyova, A.S.; Tropin, E.S.; Chernov, M.E.; Chernov, E.I.; Farlenkov, A.S.; Khodimchuk, A.V.; Eremin, V.A.; Kovrova, A.I.; et al. Application of Promising Electrode Materials in Contact with a Thin-Layer ZrO2-Based Supporting Electrolyte for Solid Oxide Fuel Cells. Energies 2020, 13, 1190. https://doi.org/10.3390/en13051190
Osinkin DA, Antonova EP, Lesnichyova AS, Tropin ES, Chernov ME, Chernov EI, Farlenkov AS, Khodimchuk AV, Eremin VA, Kovrova AI, et al. Application of Promising Electrode Materials in Contact with a Thin-Layer ZrO2-Based Supporting Electrolyte for Solid Oxide Fuel Cells. Energies. 2020; 13(5):1190. https://doi.org/10.3390/en13051190
Chicago/Turabian StyleOsinkin, Denis A., Ekaterina P. Antonova, Alena S. Lesnichyova, Evgeniy S. Tropin, Mikhail E. Chernov, Efim I. Chernov, Andrey S. Farlenkov, Anna V. Khodimchuk, Vadim A. Eremin, Anastasia I. Kovrova, and et al. 2020. "Application of Promising Electrode Materials in Contact with a Thin-Layer ZrO2-Based Supporting Electrolyte for Solid Oxide Fuel Cells" Energies 13, no. 5: 1190. https://doi.org/10.3390/en13051190
APA StyleOsinkin, D. A., Antonova, E. P., Lesnichyova, A. S., Tropin, E. S., Chernov, M. E., Chernov, E. I., Farlenkov, A. S., Khodimchuk, A. V., Eremin, V. A., Kovrova, A. I., Kuzmin, A. V., & Ananyev, M. V. (2020). Application of Promising Electrode Materials in Contact with a Thin-Layer ZrO2-Based Supporting Electrolyte for Solid Oxide Fuel Cells. Energies, 13(5), 1190. https://doi.org/10.3390/en13051190

